Improved Crystallinity of Annealed 0002 AlN Films on Sapphire Substrate
Abstract
1. Introduction
2. Materials and Methods
3. Results
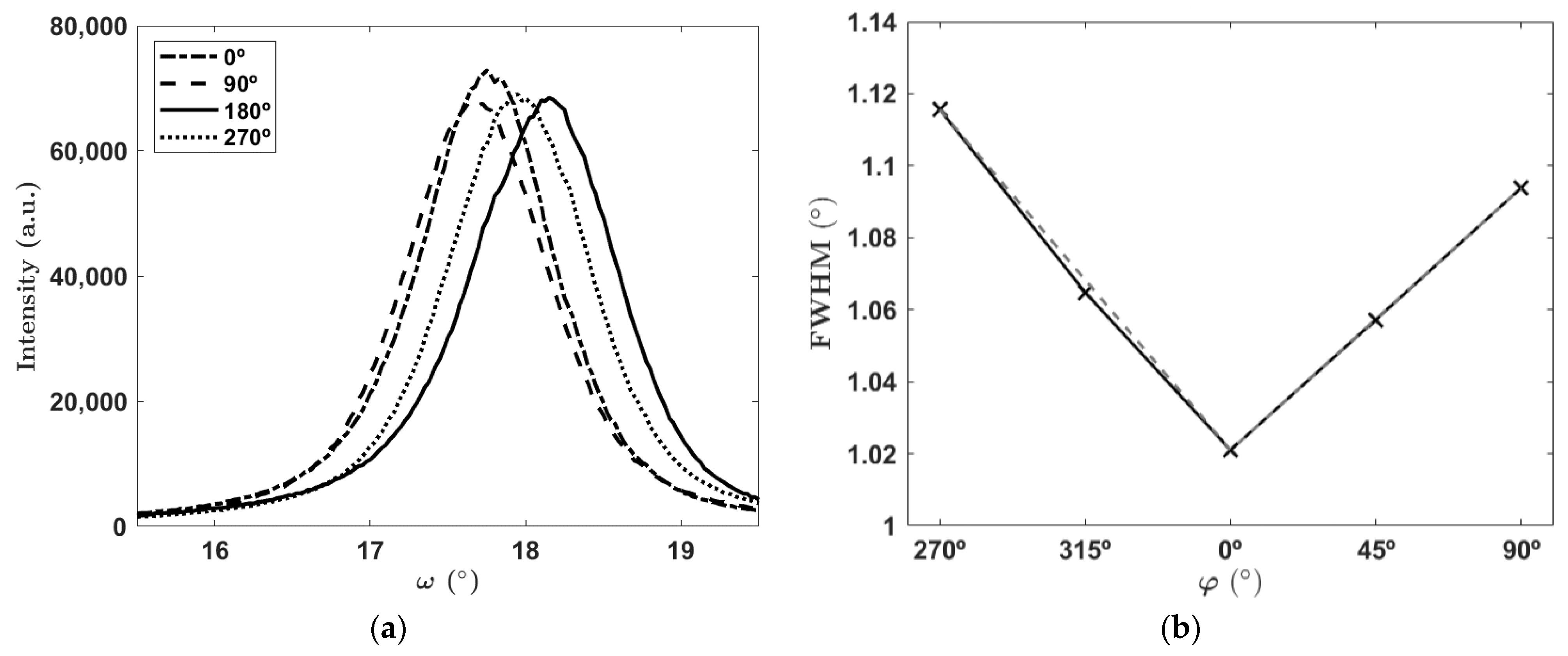
3.1. Characterisation of the As-Deposited Wafer
3.2. Annealling of AlN/Sapphire Substrates
4. Discussion
5. Conclusions
Author Contributions
Funding
Institutional Review Board Statement
Informed Consent Statement
Data Availability Statement
Acknowledgments
Conflicts of Interest
References
- Li, H.; Sadler, T.C.; Parbrook, P.J. AlN Heteroepitaxy on Sapphire by Metalorganic Vapour Phase Epitaxy Using Low Temperature Nucleation Layers. J. Cryst. Growth 2013, 383, 72–78. [Google Scholar] [CrossRef]
- Bu, G.; Ciplys, M.; Shur, L.J.; Schowalter, S. Schujman and R.; Gaska, Surface acoustic wave velocity in single-crystal AlN substrates. IEEE Trans. Ultrason. Ferroelectr. Freq. Control 2006, 53, 251–254. [Google Scholar] [CrossRef]
- Monteagudo-Lerma, L.; Valdueza-Felip, S.; Núñez-Cascajero, A.; González-Herráez, M.; Monroy, E.; Naranjo, F.B. Two-Step Method for the Deposition of AlN by Radio Frequency Sputtering. Thin Solid Film. 2013, 545, 149–153. [Google Scholar] [CrossRef]
- Yu, R.; Liu, G.; Wang, G.; Chen, C.; Xu, M.; Zhou, H.; Wang, T.; Yu, J.; Zhao, G.; Zhang, L. Ultrawide-Bandgap Semiconductor AlN Crystals: Growth and Applications. J. Mater. Chem. C 2021, 9, 1852–1873. [Google Scholar] [CrossRef]
- Aissa, K.A.; Elmazria, O.; Boulet, P.; Aubert, T. Correlation between Structural Properties of AlN/Sapphire and Performances of SAW Devices in Wide Temperature Range. In Proceedings of the 2014 IEEE International Ultrasonics Symposium, Chicago, IL, USA, 3–6 September 2014; IEEE: Chicago, IL, USA, 2014; pp. 385–387. [Google Scholar]
- Chen, F.; Ji, X.; Lau, S.P. Recent Progress in Group III-Nitride Nanostructures: From Materials to Applications. Mater. Sci. Eng. R Rep. 2020, 142, 100578. [Google Scholar] [CrossRef]
- Gao, A.; Liu, K.; Liang, J.; Wu, T. AlN MEMS Filters with Extremely High Bandwidth Widening Capability. Microsyst. Nanoeng. 2020, 6, 74. [Google Scholar] [CrossRef] [PubMed]
- Turner, R.C.; Fuierer, P.A.; Newnham, R.E.; Shrout, T.R. Materials for High Temperature Acoustic and Vibration Sensors: A Review. Appl. Acoust. 1994, 41, 299–324. [Google Scholar] [CrossRef]
- Taurino, A.; Signore, M.A.; Catalano, M.; Kim, M.J. (1 0 1) and (0 0 2) Oriented AlN Thin Films Deposited by Sputtering. Mater. Lett. 2017, 200, 18–20. [Google Scholar] [CrossRef]
- Shen, X.; Gao, H.; Duan, Y.; Sun, Y.; Guo, J.; Yu, Z.; Wu, S.; Ma, X.; Yang, Y. Effect of Crystallinity on the Performance of AlN-Based Resistive Random Access Memory Using Rapid Thermal Annealing. Appl. Phys. Lett. 2021, 118, 183503. [Google Scholar] [CrossRef]
- Zhao, L.; Yang, K.; Ai, Y.; Zhang, L.; Niu, X.; Lv, H.; Zhang, Y. Crystal Quality Improvement of Sputtered AlN Film on Sapphire Substrate by High-Temperature Annealing. J. Mater. Sci. Mater. Electron. 2018, 29, 13766–13773. [Google Scholar] [CrossRef]
- Yoshizawa, R.; Miyake, H.; Hiramatsu, K. Effect of Thermal Annealing on AlN Films Grown on Sputtered AlN Templates by Metalorganic Vapor Phase Epitaxy. Jpn. J. Appl. Phys. 2018, 57, 01AD05. [Google Scholar] [CrossRef]
- Hakamata, J.; Kawase, Y.; Dong, L.; Iwayama, S.; Iwaya, M.; Takeuchi, T.; Kamiyama, S.; Miyake, H.; Akasaki, I. Growth of High-Quality AlN and AlGaN Films on Sputtered AlN/Sapphire Templates via High-Temperature Annealing. Phys. Status Solidi B 2018, 255, 1700506. [Google Scholar] [CrossRef]
- Miyake, H.; Nishio, G.; Suzuki, S.; Hiramatsu, K.; Fukuyama, H.; Kaur, J.; Kuwano, N. Annealing of an AlN Buffer Layer in N 2 –CO for Growth of a High-Quality AlN Film on Sapphire. Appl. Phys. Express 2016, 9, 025501. [Google Scholar] [CrossRef]
- Wu, H.; Zhang, K.; He, C.; He, L.; Wang, Q.; Zhao, W.; Chen, Z. Recent Advances in Fabricating Wurtzite AlN Film on (0001)-Plane Sapphire Substrate. Crystals 2021, 12, 38. [Google Scholar] [CrossRef]
- Ben, J.; Shi, Z.; Zang, H.; Sun, X.; Liu, X.; Lü, W.; Li, D. The Formation Mechanism of Voids in Physical Vapor Deposited AlN Epilayer during High Temperature Annealing. Appl. Phys. Lett. 2020, 116, 251601. [Google Scholar] [CrossRef]
- Zhou, S.; Zhao, X.; Du, P.; Zhang, Z.; Liu, X.; Liu, S.; Guo, L.J. Application of Patterned Sapphire Substrate for III-Nitride Light-Emitting Diodes. Nanoscale 2022, 14, 4887–4907. [Google Scholar] [CrossRef]
- Bai, J.; Wang, T.; Parbrook, P.J.; Lee, K.B.; Cullis, A.G. A Study of Dislocations in AlN and GaN Films Grown on Sapphire Substrates. J. Cryst. Growth 2005, 282, 290–296. [Google Scholar] [CrossRef]
- Gillinger, M.; Schneider, M.; Bittner, A.; Nicolay, P.; Schmid, U. Impact of Annealing Temperature on the Mechanical and Electrical Properties of Sputtered Aluminum Nitride Thin Films. J. Appl. Phys. 2015, 117, 065303. [Google Scholar] [CrossRef]
- Liu, B.; Gao, J.; Wu, K.M.; Liu, C. Preparation and Rapid Thermal Annealing of AlN Thin Films Grown by Molecular Beam Epitaxy. Solid State Commun. 2009, 149, 715–717. [Google Scholar] [CrossRef]
- Chen, C.; Horwitz, J.S. Ferroelectric Thin Films for Microwave Device Applications. In Pulsed Laser Deposition of Thin Films Aplications-Led Growth of Functional Materials, 1st ed.; Eason, R., Ed.; John Wiley & Sons: Hoboken, NJ, USA, 2006; Volume 1, pp. 533–561. [Google Scholar]
- Lin, C.-Y.; Lu, F.-H. Oxidation Behavior of AlN Films at High Temperature under Controlled Atmosphere. J. Eur. Ceram. Soc. 2008, 28, 691–698. [Google Scholar] [CrossRef]
- Aubert, T.; Elmazria, O.; Assouar, B.; Blampain, E.; Hamdan, A.; Genève, D.; Weber, S. Investigations on AlN/Sapphire Piezoelectric Bilayer Structure for High-Temperature SAW Applications. IEEE Trans. Ultrason. Ferroelect. Freq. Control 2012, 59, 999–1005. [Google Scholar] [CrossRef] [PubMed]
- Miyake, H.; Lin, C.-H.; Tokoro, K.; Hiramatsu, K. Preparation of High-Quality AlN on Sapphire by High-Temperature Face-to-Face Annealing. J. Cryst. Growth 2016, 456, 155–159. [Google Scholar] [CrossRef]
- Wang, M.X.; Xu, F.J.; Xie, N.; Sun, Y.H.; Liu, B.Y.; Ge, W.K.; Kang, X.N.; Qin, Z.X.; Yang, X.L.; Wang, X.Q.; et al. High-Temperature Annealing Induced Evolution of Strain in AlN Epitaxial Films Grown on Sapphire Substrates. Appl. Phys. Lett. 2019, 114, 112105. [Google Scholar] [CrossRef]
- Kar, J.P.; Bose, G.; Tuli, S. Influence of rapid thermal annealing on morphological and electrical properties of RF sputtered AlN films. Mater. Sci. Semicond. Process. 2005, 8, 646–651. [Google Scholar] [CrossRef]
- Solonenko, D.; Schmidt, C.; Stoeckel, C.; Hiller, K.; Zahn, D. The Limits of the Post-Growth Optimization of AlN Thin Films Grown on Si(111) via Magnetron Sputtering. Phys. Status Solidi B 2020, 257, 1900400. [Google Scholar] [CrossRef]
- Hagedorn, S.; Walde, S.; Susilo, N.; Netzel, C.; Tillner, N.; Unger, R.-S.; Manley, P.; Ziffer, E.; Wernicke, T.; Becker, C.; et al. Improving AlN Crystal Quality and Strain Management on Nanopatterned Sapphire Substrates by High-Temperature Annealing for UVC Light-Emitting Diodes. Phys. Status Solidi A 2020, 217, 1900796. [Google Scholar] [CrossRef]
- Kai, C.; Zang, H.; Ben, J.; Jiang, K.; Shi, Z.; Jia, Y.; Cao, X.; Lü, W.; Sun, X.; Li, D. Origination and Evolution of Point Defects in AlN Film Annealed at High Temperature. J. Lumin. 2021, 235, 118032. [Google Scholar] [CrossRef]
- Mogilatenko, A.; Knauer, A.; Zeimer, U.; Netzel, C.; Jeschke, J.; Unger, R.-S.; Hartmann, C.; Wollweber, J.; Dittmar, A.; Juda, U.; et al. Crystal Defect Analysis in AlN Layers Grown by MOVPE on Bulk AlN. J. Cryst. Growth 2019, 505, 69–73. [Google Scholar] [CrossRef]
- Jasinski, J.; Liliental-Weber, Z.; Paduano, Q.S.; Weyburne, D.W. Inversion Domains in AlN Grown on (0001) Sapphire. Appl. Phys. Lett. 2003, 83, 2811–2813. [Google Scholar] [CrossRef]
- Ben, J.; Sun, X.; Jia, Y.; Jiang, K.; Shi, Z.; Liu, H.; Wang, Y.; Kai, C.; Wu, Y.; Li, D. Defect evolution in AlN templates on PVD-AlN/sapphire substrates by thermal annealing. CrystEngComm 2018, 20, 4623–4629. [Google Scholar] [CrossRef]
- Chierchia, R.; Böttcher, T.; Heinke, H.; Einfeldt, S.; Figge, S.; Hommel, D. Microstructure of heteroepitaxial GaN revealed by x-ray diffraction. J. Appl. Phys. 2003, 93, 8918–8925. [Google Scholar] [CrossRef]
- Le Vaillant, Y.M.; Bisaro, R.; Olivier, J.; Durand, O.; Duboz, J.Y.; Ruffenach-Clur, S.; Briot, O.; Gil, B.; Aulombard, R.L. Caracterization of AIN Buffer Layers on (0001)-Sapphire Substrates. Mater. Sci. Eng. B 1997, 50, 32–37. [Google Scholar] [CrossRef]
- Fukuyama, H.; Miyake, H.; Nishio, G.; Suzuki, S.; Hiramatsu, K. Impact of High-Temperature Annealing of AlN Layer on Sapphire and Its Thermodynamic Principle. Jpn. J. Appl. Phys. 2016, 55, 05FL02. [Google Scholar] [CrossRef]
- Wang, M.X.; Xu, F.J.; Xie, N.; Sun, Y.H.; Liu, B.Y.; Qin, Z.X.; Wang, X.Q.; Shen, B. Crystal Quality Evolution of AlN Films via High-Temperature Annealing under Ambient N 2 Conditions. CrystEngComm 2018, 20, 6613–6617. [Google Scholar] [CrossRef]







| Arrangement | Furnace Type | Annealing Conditions | FWHM (002), ° | Change in FWHM, | Change in Intensity | ||
|---|---|---|---|---|---|---|---|
| T, °C | t, h | As-Deposited | Annealed | ||||
| FO | TF a | 1100 | 15 | 1.044 | 0.928 | −11.1% | −67.1% |
| FtF | 1100 | 15 | 1.017 | 1.001 | −1.5% | −8.0% | |
| 45 | 1.017 | 0.975 | −4.2% | −14.5% | |||
| FtF | 1150 | 15 | 1.060 | 0.602 | −43.2% | +280.5% | |
| FtF | HTF b | 1100 | 1 | 1.144 | 1.034 | −9.6% | −54.2% |
| FtF | 1450 | 1 | 1.158 | 0.410 | −64.6% | +486.5% | |
| FtS | 1700 | 1 | 1.125 | 0.535 | −52.5% | +250.7% | |
| FtF | 1700 | 1 | 1.107 | 0.598 | −46.0% | +208.3% | |
| FO | 1700 | 3 | 1.055 | - | - | - | |
| Sample | Arrangement | Annealing Time, (h) | Instrument | Lattice Parameter c (Å) | SDD (cm−2) |
|---|---|---|---|---|---|
| as-deposited | 4.9443 | 3.31 × 1010 | |||
| 1100 °C | FtF | 1 | HTF | 4.9559 | 3.06 × 1010 |
| FO | 15 | TF | 4.9559 | 2.56 × 1010 | |
| FtF | 15 | 4.9519 | 2.25 × 1010 | ||
| FtF | 45 | 4.9519 | 2.38 × 1010 | ||
| 1150 °C | FtF | 15 | TF | 4.9559 | 1.03 × 1010 |
| 1450 °C | FtF | 1 | HTF | 4.9599 | 4.78 × 109 |
| 1700 °C | FtS | 1 | HTF | 4.9483 | 8.13 × 109 |
| FtF | 1 | HTF | 4.9599 | 1.02 × 1010 |
| Deposition Method (Substrate) | AlN Thickness (nm) | Annealing Temperature (°C) | Annealing Time (h) | Sample Arrangement | Annealing Atmosphere | (0002) FWHM | Ref |
|---|---|---|---|---|---|---|---|
| LPMOCV (Al2O3) | 50 | As-dep. 1070 | 0.25 | - | - | 0.47°→ 0.32° | [34] |
| Sputtering (Al2O3) | 170 | As-dep. 1600 1650 1700 | 1 | FtF | N2 | 0.148°→ 0.014° 0.017° 0.013° | [24] |
| 340 | As-dep. 1600 1650 1700 | 0.653°→ 0.039° 0.042° 0.014° | |||||
| Sputtering (Al2O3) | 1000 | As-dep. 1500 1600 1650 | 1 | FtF | Low-pressure N2 | 0.200°→ 0.112° 0.115° 0.121° | [11] |
| 200 | As-dep. 1500 1600 1650 | 0.045°→ 0.034° 0.031° 0.031° | |||||
| Sputtering (Al2O3) | 1300 | 1000 | As-dep. 3 6 12 21 | - | Air | 0.5°→ 0.438° 0.407° 0.297° 0.267° | [23] |
| 900 800 700 | Unchanged: 0.52°–0.48° | ||||||
| MOVPE (Al2O3) | 300 | As-dep. 1500 1550 1600 1650 1700 1750 | 2 | - | N2-CO | 0.051°→ 0.018° 0.018° 0.019° 0.019° 0.038° 0.127° | [14] |
| MOVOP (Al2O3) | 300 | 1700 | As-dep. 0.5 1 2 4 | - | N2-CO | 0.019°→ 0.008° 0.008° 0.012° 0.010° | [35] |
| MOCVD (Al2O3) | 540 | As-dep. 1550 1600 1650 1700 1750 | 1 | FtF | N2 | 0.034°→ 0.032° 0.025° 0.021° 0.016° 0.018° | [36] |
| Sputtering (Al2O3) | 1100 | As-dep. 1150 | 15 | FtF | N2 (Tube furnace) | 1.060°→ 0.602° | This work |
| As-dep. 1450 | 1 | N2 (High-temp furnace) | 1.158°→ 0.410° |
Disclaimer/Publisher’s Note: The statements, opinions and data contained in all publications are solely those of the individual author(s) and contributor(s) and not of MDPI and/or the editor(s). MDPI and/or the editor(s) disclaim responsibility for any injury to people or property resulting from any ideas, methods, instructions or products referred to in the content. |
© 2023 by the authors. Licensee MDPI, Basel, Switzerland. This article is an open access article distributed under the terms and conditions of the Creative Commons Attribution (CC BY) license (https://creativecommons.org/licenses/by/4.0/).
Share and Cite
Bersch, B.C.; Caminal Ros, T.; Tollefsen, V.; Johannessen, E.A.; Johannessen, A. Improved Crystallinity of Annealed 0002 AlN Films on Sapphire Substrate. Materials 2023, 16, 2319. https://doi.org/10.3390/ma16062319
Bersch BC, Caminal Ros T, Tollefsen V, Johannessen EA, Johannessen A. Improved Crystallinity of Annealed 0002 AlN Films on Sapphire Substrate. Materials. 2023; 16(6):2319. https://doi.org/10.3390/ma16062319
Chicago/Turabian StyleBersch, Bruno Comis, Tomàs Caminal Ros, Vegard Tollefsen, Erik Andrew Johannessen, and Agne Johannessen. 2023. "Improved Crystallinity of Annealed 0002 AlN Films on Sapphire Substrate" Materials 16, no. 6: 2319. https://doi.org/10.3390/ma16062319
APA StyleBersch, B. C., Caminal Ros, T., Tollefsen, V., Johannessen, E. A., & Johannessen, A. (2023). Improved Crystallinity of Annealed 0002 AlN Films on Sapphire Substrate. Materials, 16(6), 2319. https://doi.org/10.3390/ma16062319

