Influence of Mixing Water Content and Curing Time on Bond Strength of Clinker Masonry: The Wrench Test Method
Abstract
1. Introduction
- (i)
- flexural bond strength, which characterizes the out-of-plane flexural strength of the wall, and
- (ii)
- shear bond strength, which determines the adhesion of mortar to the in-plane masonry elements of the wall, which is the shear strength in the direction parallel to the bed joints.
2. Materials
2.1. Clinker Units
2.2. Mortar
- amount of mixing water—4 L, 4.5 L, and 5 L were adopted;
- curing time—five periods were assumed, namely 5 days, 9 days, 14 days, 21 days, and 28 days.
3. Program and Technique
- amount of mixing water—4 L, 4.5 L, and 5 L were adopted;
- curing time—four periods were adopted, namely 9 days, 14 days, 21 days, and 28 days.
4. Modes of Failure
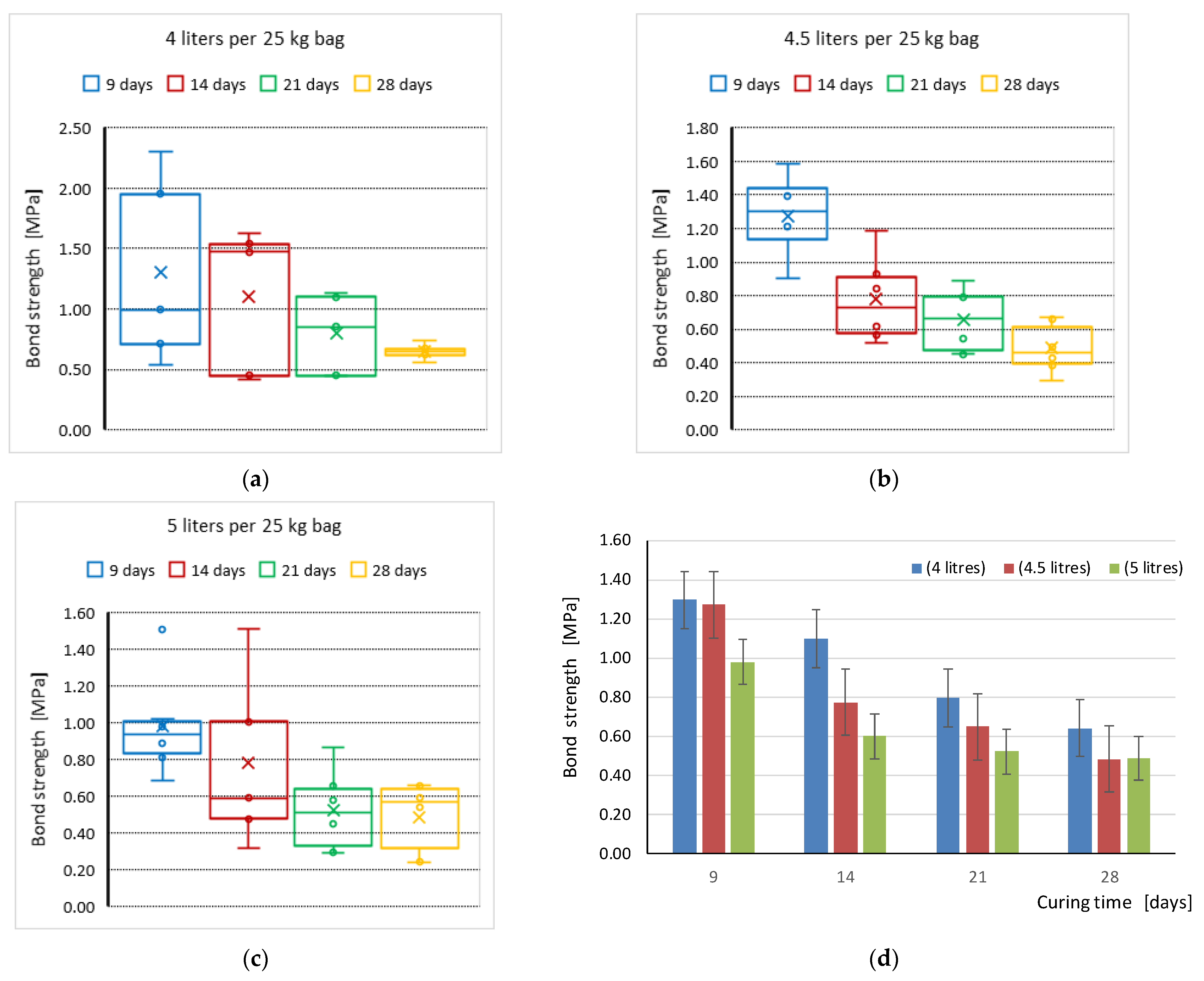
5. Test Results and Discussion
- (i)
- for the WT_xx_4L series—had no significant effect (F = 1.575 < Fcr = 3.239);
- (ii)
- for the WT_xx_4.5L series—had a significant impact (F = 10.613 > Fcr = 3.160);
- (iii)
- for the WT_xx_5L series—had a significant impact (F = 3.452 > Fcr = 3.127).
6. Summary and Conclusions
- The presented experimental studies showed a significant, negative impact of both the increase in the amount of mixing water in relation to the recommended value and the curing time on the values of bonding strength obtained when using hollow clinker units and the mortar recommended for them.
- In the analyzed case, the maximum values of bonding strength were found after 9 days of curing, which decreased over time. The largest decreases (30–40%) were recorded after 14 days. After 21 days, these values continued to decrease, but they did so more slowly.
- The tested elements after 28 days were characterized by a 50% decrease in bond strength for the recommended average amount of water, i.e., 4 L per 25 kg of the mix and 18% more mixing water, as well as an almost 60% decrease when the amount of water increased by 6%.
- The ratio of bond strength to flexural strength of the mortar was similar for all amounts of mixing water for each curing time. It was the highest for the values obtained after 9 days (of the order of 0.7) and decreased in subsequent periods. The final value after 28 days was also very similar and oscillated around 0.2.
- The conducted ANOVA showed that there was no statistically significant effect of the curing time on the tested bond strength, only for the series in which 4 L of mixing water was used. However, in the case of the influence of the amount of mixing water on the values of bonding strength for individual hardening times, there were no grounds to reject the null hypothesis that this factor had no significant effect on the analyzed feature.
Author Contributions
Funding
Institutional Review Board Statement
Informed Consent Statement
Data Availability Statement
Conflicts of Interest
References
- Santos, S.P. (Ed.) Enclosure Masonry Walls Systems Worldwide; Taylor & Francis Group plc: London, UK, 2007. [Google Scholar]
- Ortlepp, S.; Schmidt, F. Perforated masonry—Light weight construction. In Proceedings of the 9th International Masonry Conference, Guimaraes, Portugal, 7–9 July 2014; pp. 1–11. [Google Scholar]
- Sarhosis, V.; Garrity, S.W.; Sheng, Y. Influence of brick–mortar interface on the mechanical behaviour of low bond strength masonry brickwork lintels. Eng. Struct. 2015, 88, 1–11. [Google Scholar] [CrossRef]
- Sarangapani, G.; Venkatarama Reddy, B.V.; Jagadish, K.S. Brick-Mortar Bond and Masonry Compressive Strength. J. Mater. Civ. Eng. 2005, 17, 229–239. [Google Scholar] [CrossRef]
- Högberg, E. Mortar Bond; Report 40; Rapport från Byggforskningen: Stockholm, Sweden, 1967; 93p. [Google Scholar]
- Fishburn, C.C. Effect of Mortar Properties on Strength of Masonry; Monograph 36; U.S. Department of Commerce, National Bureau of Standards: Washington DC, USA, 1961; 48p. [Google Scholar]
- McGinley, W.M. Bond wrench testing—An evaluation of laboratory testing procedures. In Proceedings of the 10th IB2MaC, Calgary, AB, Canada, 5–7 July 1994; pp. 919–928. [Google Scholar]
- Masonry Information. Bond Strength Testing of Masonry; Portland Cement Association: Skokie, IL, USA, 1994. [Google Scholar]
- Shah, S.A.R.; Arshad, H.; Farhan, M.; Raza, S.S.; Khan, M.M.; Imtiaz, S.; Shahzadi, G.; Qurashi, M.A.; Waseem, M. Sustainable Brick Masonry Bond Design and Analysis: An Application of a Decision-Making Technique. Appl. Sci. 2019, 9, 4313. [Google Scholar] [CrossRef]
- Nishita, S.; Deepa, T.; Badrinarayan, R. A Review on Strength of Clay Brick Masonry. Int. J. Res. Appl. Sc. Eng. Technol. (IJRASET). Eng. Technol. 2017, 5, 2620–2626. [Google Scholar]
- Lumantarna, R.; Biggs, D.; Ingham, J.M. Compressive, Flexural Bond, and Shear Bond Strengths of In Situ New Zealand Unreinforced Clay Brick Masonry Constructed Using Lime Mortar between the 1880s and 1940s. J. Mater. Civ. Eng. 2014, 26, 559–566. [Google Scholar] [CrossRef]
- Konthesingha, K.M.C.; Jayasinghe, C.; Nanayakkara, S.M.A. Bond and Compressive Strength of Masonry for Locally Available Bricks. ENGINEER 2007, 40, 7–13. [Google Scholar] [CrossRef]
- EN 1952-3:2005; Methods of Test for Masonry—Part 3: Determination of Initial Shear Strength. CEN (Comité Européen de Normalization): Brussels, Belgium, 2005.
- Riddington, J.R.; Jukes, P.; Morrell, P.J.B. A numerical study of masonry tensile bond strength test methods. In Proceedings of the 5th International Masonry Conference, London, UK, 13 July 1998; British Masonry Society: London, UK, 1998; Volume 8, pp. 157–160. [Google Scholar]
- Hamid, A.A.; Drysdale, R.G. Flexural Tensile Strength of Block Masonry. Journal of the Structural Division. Proc. ASCE 1988, 114, 50–66. [Google Scholar] [CrossRef]
- ASTM E518/E518M-10; Standard Test Methods for Flexural Bond Strength of Masonry. ASTM International: West Conshohocken, PA, USA, 2010.
- Khalaf, M.F. Simple Test for the Determination of masonry Flexural Bond Strength. In Proceedings of the 5th International Masonry Conference, London, UK, 13 July 1998; British Masonry Society: London, UK, 1998; Volume 8, pp. 23–28. [Google Scholar]
- Huang, D.; Pons, O.; Albareda, A. Bond Strength Tests under Pure Shear and Tension between Masonry and Sprayed Mortar. Materials 2020, 13, 2183. [Google Scholar] [CrossRef] [PubMed]
- EN 1052-2-:2006; Methods of Test for Masonry—Part 2: Determination of Flexural Strength. CEN (Comité Européen de Normalization): Brussels, Belgium, 2006.
- Pavia, S.; Costigana, A. Compressive, flexural and bond strength of brick/lime mortar masonry. In Proceedings of the International Conference on Protection of Historical Buildings PROHITEC 09, Rome, Italy, 21–24 June 2009; Taylor and Francis Group: London, UK, 2009; pp. 1609–1615. [Google Scholar]
- Samarasinghe, W.; Lawrence, S.J. Numerical and Experimental Evaluation of the Bond Wrench Test. Mason. Int. 1999, 12, 89–95. [Google Scholar]
- Nichols, J.M.; Glowacki, K.T.; Feigenbaum, L.H. A Precision and Bias Study for the Measurement of Flexural Strength of Masonry Prism. Mason. Int. J. Int. Mason. Soc. 2018, 30, 71–80. [Google Scholar]
- Nichols, J.M.; Holland, N.L. A comparative study of balanced bond wrench testing and unbalanced bond wrench testing. In Proceedings of the 11th North American Masonry Conference (NAMC), Minneapolis, MN, USA, 5–8 June 2008. [Google Scholar]
- Singh, S.B.; Munjal, P. Bond strength and compressive stress-strain characteristics of brick masonry. J. Build. Eng. 2017, 9, 10–16. [Google Scholar] [CrossRef]
- Nichols, J. A comparative study of four bond wrenches with recommendations on changes to ASTM C1072. In Proceedings of the 12th Canadian Masonry Symposium, Vancouver, BC, Canada, 2–5 June 2013. [Google Scholar]
- Christy, C.F.; Shanthi, R.M.; Tensing, D. Bond strength of the brick masonry. Int. J. Civ. Eng. Technol. 2012, 3, 380–386. [Google Scholar]
- Maranhão, F.L.; Resende, M.M.; John, V.M.; Bottura de Barros, M.M.S. The Bond Strength Behavior of Polymer-modified Mortars During a Wetting and Drying Process. Mater. Res. 2015, 18, 1354–1361. [Google Scholar] [CrossRef]
- Radhakrishnan, R.; Prakash, S.; Prasad Varma Thampan, C.K. A Modified Bond Wrench Test for Evaluating Bond Strength of Concrete Repairs. Int. J. Eng. Res. Technol. IJERT 2013, 2, 1–9. [Google Scholar]
- EN 1052-5:2005; Methods of Test for Masonry. Determination of Bond Strength by the Bond Wrench Method. CEN (Comité Européen de Normalization): Brussels, Belgium, 2005.
- ASTM C 1072-13; Standard Test Methods for Measurement of Masonry Flexural Bond Strength. ASTM International: West Conshohocken, PA, USA, 2013.
- Ritchie, T.; Davison, J.I. Factors affecting bond strength and resistance to moisture penetration of brick masonry. In Proceedings of the Sixty-Fifth Annual Meeting Papers, Symposium on Masonry Testing, New York, NY, USA, 28 June 1962; ASTM Special Technical Publication No. 320. ASTM: Philadelphia, PA, USA, 1962; pp. 16–30. [Google Scholar]
- Baker, L.R. Some Factors Affecting the Bond Strength of Brickwork. In Proceedings of the 5th International Brick Masonry Conference, Washington, DC, USA, 5–10 October 1979; pp. 62–72. [Google Scholar]
- Fried, A.N.; Law, D. Factors influencing masonry flexural strength. In Proceedings of the 4th International Masonry Conference, London, UK, 23–25 October 1995. [Google Scholar]
- Forth, P.J.; Brooks, J.J.; Tapsir, S.H. The effect of unit water absorption on long-term movements of masonry. Cem. Concr. Compos. 2000, 22, 273–280. [Google Scholar] [CrossRef]
- Pavia, S.; Costigana, A. Effect of mortar water content in the properties of masonry. In Proceedings of the 9th International Masonry Conference, Guimarães, Portugal, 7–9 July 2014; pp. 1–11. [Google Scholar]
- GROOT, C.J.W.P. Effects of Water on Mortar-Brick Bond. PhD.Thesis, Delft University of Technology, Delft, The Netherlands, 1993; 187p. [Google Scholar]
- Groot, C.J.W.P. The characterisation of brick and mortar considering mortar/brick bond. In Proceedings of the 11th International Brick/Block Masonry Conference, Shanghai, China, 14–16 October 1997; pp. 50–58. [Google Scholar]
- Groot, C.; Labri, J. The Influence of Water Flow (Reversal) on Bond Strength Development in Young Masonry; Delft University Press: Delft, The Netherlands, 1999; Volume 44, pp. 63–78. [Google Scholar]
- Yauen, C.G.; Lissel, S.L. Flexural bond strength of clay brick masonry. WIT Trans. Eng. Sci. 2007, 57, 253–262. [Google Scholar] [CrossRef]
- Pavia, S.; Hanley, R. Flexural bond strength of natural hydraulic lime mortar and clay brick. Mater. Struct. 2010, 43, 913–922. [Google Scholar] [CrossRef]
- Costigan, A.; Pavía, S. Influence of mortar water content and workability on the mechanical behaviour of lime mortar masonry. In BCRI Bridge Infrastructure Concrete Research Ireland; Bridge and Concrete Research in Ireland Publishing: Cork, Ireland, 2010; pp. 449–456. [Google Scholar]
- Costigan, A.; Pavia, S. Influence of Mortar Water Content on the Strength of Lime Mortar Masonry; Bridge and Concrete Research in Ireland Publishing: Cork, Ireland, 2010. [Google Scholar]
- Hooker, K.A. Mortar, Brick, and IRA. 1994. Available online: https://www.concreteconstruction.net/how-to/construction/mortar-brick-and-ira_o (accessed on 9 February 2023).
- Kelly, P. Comparison between IRA of Clay Brick Measured at Time of Manufacture and in the Field; ASTM Symposia paper STP157720130128; Masonry, T.M., Ed.; ASTM: West Conshohocken, PA, USA, 2014; pp. 285–297. [Google Scholar] [CrossRef]
- Borchelt, J.G.; Tann, J.A. Bond Strength and Water Penetration of Low IRA Brick and Mortar. Available online: https://masonryadvisorycouncil.org/wp-content/uploads/2016/06/Low-IRA-Brick-and-Mortar.pdf (accessed on 2 February 2023).
- McGinley, W.M. IRA and the Flexural Bond Strength of Clay Brick Masonry. In Masonry Components to Assemblages; ASTM STP 1063; Matthys, J.H., Ed.; ASTM: Philadelphia, PA, USA, 1990; pp. 217–229. [Google Scholar]
- Reda Taha, M.M.; El-Dieb, A.S.; Shrive, N.G. Sorptivity: A reliable measurement for surface absorption of masonry brick units. Mater. Struct. Mater. Constr. 2001, 34, 438–445. [Google Scholar] [CrossRef]
- Anderegg, F.O. The effect of absorption characteristics upon mortar properties. ASTM Proc. 1942, 42, 821–836. [Google Scholar]
- Samarasinghe, W.; Lawrence, S.J. Effect of high suction rate in low strength bricks on brick mortar bond. In Proceedings of the 4th International Seminar on Structural Masonry for Developing Countries, Madras, India, 14–17 December 1992; pp. 43–50. [Google Scholar]
- Arandigoyen, M.; Alvarez, J.I. Pore structure and mechanical properties of cement-lime mortars. Cem. Concr. Res. J. 2007, 37, 767–775. [Google Scholar] [CrossRef]
- Fried, A.N. The influence of limed and retarded mortars on masonry bond strength. In Proceedings of the 7th North American Masonry Conference, South Bend, IN, USA, 2–5 June 1996. [Google Scholar]
- Melander, J.M.; Conway, J.T. Effect of mortar proportions and sand gradation on bond strength of masonry. In Proceedings of the 7th North American Masonry Conference, South Bend, IN, USA, 2–5 June 1996. [Google Scholar]
- EN 772-1:2011/FprA1; Methods of Test for Masonry Units—Part 1: Determination of Compressive Strength. CEN (Comité Européen de Normalization): Brussel, Belgium, 2015.
- ASTM C 67-17; Standard Test Methods for Sampling and Testing Brick and Structural Clay Tile. ASTM International: West Conshohocken, PA, USA, 2017.
- Drysdale, R.G.; Hamid, A.A. Masonry Structures. Behavior and Design, 3rd ed.; The Masonry Society: Boulder, CO, USA, 2008; 750p. [Google Scholar]
- Barr, S.; Mc Carter, W.J.; Suryanto, B. Bond-strength performance of hydraulic lime and natural cement mortared sandstone masonry. Constr. Build. Mat. 2015, 84, 128–135. [Google Scholar] [CrossRef]
- EN 998-2:2016; Specification for Mortar for Masonry—Part 2: Masonry Mortar. CEN (Comité Européen de Normalization): Brussel, Belgium, 2016.
- EN 1015-11:1999; Methods of Test for Mortar for Masonry—Part 11: Determination of Flexural and Compressive Strength of Hardened Mortar. CEN (Comité Européen de Normalization): Brussel, Belgium, 1999.
- Kubica, J.; Galman, I. Investigations on Flexural and Compressive Strengths of Mortar Dedicated to Clinker Units—Influence of Mixing Water Content and Curing Time. Materials 2022, 15, 347. [Google Scholar] [CrossRef] [PubMed]
- Lawrence, S.J.; Lo, L. The Influence of Some Factors on the Tensile Bond Strength of Masonry. In Proceedings of the 10th International Brick and Block Masonry Conference, Calgary, AB, Canada, 5–7 July 1994; pp. 929–938. [Google Scholar]
- Boxu, M.; Jinyu, X.; Chuanxin, L.; Chao, G.; Guang, P. Effect of Water Content on Tensile Properties of Cement Mortar. 2018 International Conference on Civil and Hydraulic Engineering (IConCHE 2018). IOP Conf. Ser. Earth Environ. Sci. 2018, 189, 032023. [Google Scholar] [CrossRef]
- Raimondo, M.; Donti, M.; Gardini, D.; Guarini, G.; Mazzanti, F. Predicting the initial rate of water absorption in clay bricks. Constr. Build. Mat. 2009, 23, 2623–2630. [Google Scholar] [CrossRef]






| Mixing Water (L/25 kg bag) | Strength (MPa) | Curing Time (Days) | |||
|---|---|---|---|---|---|
| 9 | 14 | 21 | 28 | ||
| 4.0 | flexural | 1.68 | 2.92 | 2.94 | 2.91 |
| compressive (CoV) | 9.22 (10.2%) | 10.01 (3.1%) | 10.84 (7.1%) | 10.43 (7.0%) | |
| 4.5 | flexural | 1.67 | 1.50 | 2.56 | 2.39 |
| compressive (CoV) | 8.15 (6.5%) | 9.06 (4.9%) | 10.11 (6.9%) | 9.20 (3.8%) | |
| 5.0 | flexural | 1.51 | 1.76 | 2.25 | 2.15 |
| compressive (CoV) | 6.95 (6.3%) | 9.08 (6.5%) | 9.07 (5.4%) | 8.39 (6.9%) | |
| Series | Curing Time (Days) | Number of Samples | Mixing Water Amount per 25 kg of Dry Mixture | ||
|---|---|---|---|---|---|
| 4 L | 4.5 L | 5 L | |||
| WT-09_4L | 9 | 6 | X | ||
| WT-14_4L | 14 | 6 | X | ||
| WT-21_4L | 21 | 6 | X | ||
| WT-28_4L | 28 | 6 | X | ||
| WT-09_4.5L | 9 | 6 | X | ||
| WT-14_4.5L | 14 | 6 | X | ||
| WT-21_4.5L | 21 | 6 | X | ||
| WT-28_4.5L | 28 | 6 | X | ||
| WT-09_5L | 9 | 6 | X | ||
| WT-14_5L | 14 | 6 | X | ||
| WT-21_5L | 21 | 6 | X | ||
| WT-28_5L | 28 | 6 | X | ||
| Curing Time (Days) | ||||
|---|---|---|---|---|
| 9 Days | 14 Days | 21 Days | 28 Days | |
| Series WT_xx_4L | ![]() | ![]() | ![]() | ![]() |
| WT-09-4_4L (A4) | WT-14-2_4L (A4) | WT-21-3_4L (A2) | WT-28-1_4L (A2) | |
![]() | ![]() | ![]() | ![]() | |
| WT-09-6_4L (A2) | WT-14-6_4L (A1) | WT-21-6_4L (A1) | WT-28-3_4L (A1) | |
| Series WT_xx_4.5L | ![]() | ![]() | ![]() | ![]() |
| WT-09-2_4.5L (A4) | WT-14-6_4.5L (A4) | WT-21-2_4.5L (A2) | WT-28-3_4.5L (A4) | |
![]() | ![]() | ![]() | ![]() | |
| WT-09-6_4.5L (A4) | WT-14-4_4.5L (A1) | WT-21-4_4.5L (A4) | WT-28-6_4.5L (A2) | |
| Series WT_xx_5L | ![]() | ![]() | ![]() | ![]() |
| WT-09-1_5L (A4) | WT-14-4_5L (A4) | WT-21-3_5L (A4) | WT-28-3_5L (A4) | |
![]() | ![]() | ![]() | ![]() | |
| WT-09-4_5L (A4) | WT-14-5_5L (A4) | WT-21-6_5L (A4) | WT-28-4_5L (A4) | |
| Specimen | fwi [MPa] | fw,av (±sd) [MPa] | sd [MPa] | CoV [%] |
|---|---|---|---|---|
| WT-09-1_4L | 0.709 | 1.299 (±0.782) | 0.782 | 60% |
| WT-09-2_4L | 0.993 | |||
| WT-09-3_4L | *) | |||
| WT-09-4_4L | 2.300 | |||
| WT-09-5_4L | 1.951 | |||
| WT-09-6_4L | 0.541 | |||
| WT-14-1_4L | 0.411 | 1.099 (±0.613) | 0.613 | 56% |
| WT-14-2_4L | 1.627 | |||
| WT-14-3_4L | 1.472 | |||
| WT-14-4_4L | *) | |||
| WT-14-5_4L | 0.450 | |||
| WT-14-6_4L | 1.537 | |||
| WT-21-1_4L | 0.450 | 0.797 (±0.335) | 0.335 | 42% |
| WT-21-2_4L | 1.136 | |||
| WT-21-3_4L | 1.097 | |||
| WT-21-4_4L | *) | |||
| WT-21-5_4L | 0.851 | |||
| WT-21-6_4L | 0.450 | |||
| WT-28-1_4L | 0.670 | 0.644 (±0.067) | 0.067 | 10% |
| WT-28-2_4L | 0.644 | |||
| WT-28-3_4L | 0.735 | |||
| WT-28-4_4L | *) | |||
| WT-28-5_4L | 0.553 | |||
| WT-28-6_4L | 0.618 |
| Specimen | fwi [MPa] | fw,av (±sd) [MPa] | sd [MPa] | CoV [%] |
|---|---|---|---|---|
| WT-09-1_4.5L | 0.903 | 1.275 | - | - |
| WT-09-2_4.5L | 1.213 | |||
| WT-09-3_4.5L | 1.588 | |||
| WT-09-4_4.5L | *) | |||
| WT-09-5_4.5L | *) | |||
| WT-09-6_4.5L | 1.394 | |||
| WT-14-1_4.5L | 0.838 | 0.776 (±0.258) | 0.258 | 33% |
| WT-14-2_4.5L | 1.187 | |||
| WT-14-3_4.5L | 0.618 | |||
| WT-14-4_4.5L | 0.515 | |||
| WT-14-5_4.5L | 0.566 | |||
| WT-14-6_4.5L | 0.929 | |||
| WT-21-1_4.5L | 0.541 | 0.653 (±0.195) | 0.195 | 30% |
| WT-21-2_4.5L | 0.890 | |||
| WT-21-3_4.5L | 0.450 | |||
| WT-21-4_4.5L | 0.450 | |||
| WT-21-5_4.5L | 0.786 | |||
| WT-21-6_4.5L | 0.799 | |||
| WT-28-1_4.5L | 0.424 | 0.487 (±0.151) | 0.151 | 31% |
| WT-28-2_4.5L | 0.385 | |||
| WT-28-3_4.5L | 0.489 | |||
| WT-28-4_4.5L | 0.657 | |||
| WT-28-5_4.5L | 0.295 | |||
| WT-28-6_4.5L | 0.670 |
| Specimen | fwi [MPa] | fw,av (±sd) [MPa] | sd [MPa] | CoV [%] |
|---|---|---|---|---|
| WT-09-1_5L | 0.890 | 0.983 (±0.286) | 0.286 | 29% |
| WT-09-2_5L | 1.019 | |||
| WT-09-3_5L | 0.683 | |||
| WT-09-4_5L | 0.980 | |||
| WT-09-5_5L | 0.812 | |||
| WT-09-6_5L | 1.511 | |||
| WT-14-1_5L | 0.592 | 0.603 (±0.254) | 0.254 | 42% |
| WT-14-2_5L | *) | |||
| WT-14-3_5L | 0.476 | |||
| WT-14-4_5L | 1.006 | |||
| WT-14-5_5L | 0.321 | |||
| WT-14-6_5L | 0.618 | |||
| WT-21-1_5L | 0.450 | 0.523 (±0.222) | 0.222 | 42% |
| WT-21-2_5L | 0.295 | |||
| WT-21-3_5L | 0.864 | |||
| WT-21-4_5L | 0.295 | |||
| WT-21-5_5L | 0.657 | |||
| WT-21-6_5L | 0.579 | |||
| WT-28-1_5L | 0.592 | 0.489 (±0.195) | 0.195 | 40% |
| WT-28-2_5L | 0.541 | |||
| WT-28-3_5L | 0.657 | |||
| WT-28-4_5L | 0.243 | |||
| WT-28-5_5L | 0.243 | |||
| WT-28-6_5L | 0.657 |
Disclaimer/Publisher’s Note: The statements, opinions and data contained in all publications are solely those of the individual author(s) and contributor(s) and not of MDPI and/or the editor(s). MDPI and/or the editor(s) disclaim responsibility for any injury to people or property resulting from any ideas, methods, instructions or products referred to in the content. |
© 2023 by the authors. Licensee MDPI, Basel, Switzerland. This article is an open access article distributed under the terms and conditions of the Creative Commons Attribution (CC BY) license (https://creativecommons.org/licenses/by/4.0/).
Share and Cite
Kubica, J.; Galman, I. Influence of Mixing Water Content and Curing Time on Bond Strength of Clinker Masonry: The Wrench Test Method. Materials 2023, 16, 2171. https://doi.org/10.3390/ma16062171
Kubica J, Galman I. Influence of Mixing Water Content and Curing Time on Bond Strength of Clinker Masonry: The Wrench Test Method. Materials. 2023; 16(6):2171. https://doi.org/10.3390/ma16062171
Chicago/Turabian StyleKubica, Jan, and Iwona Galman. 2023. "Influence of Mixing Water Content and Curing Time on Bond Strength of Clinker Masonry: The Wrench Test Method" Materials 16, no. 6: 2171. https://doi.org/10.3390/ma16062171
APA StyleKubica, J., & Galman, I. (2023). Influence of Mixing Water Content and Curing Time on Bond Strength of Clinker Masonry: The Wrench Test Method. Materials, 16(6), 2171. https://doi.org/10.3390/ma16062171

























