Effect of Two-Step Sintering on the Mechanical and Electrical Properties of 5YSZ and 8YSZ Ceramics
Abstract
1. Introduction
2. Experiment and Test Methods
2.1. Experiment
2.2. Test Methods
3. Results and Discussion
3.1. Analysis of YSZ Powders
3.2. Volume Density and Average Grain Size of Ceramics
| T1 (°C) | T2 (°C) | t (h) | ρv (g/cm3) | ρr (%) | G (nm) | T1 (°C) | T2 (°C) | t (h) | ρv (g/cm3) | ρr (%) | G (nm) | ||
|---|---|---|---|---|---|---|---|---|---|---|---|---|---|
| 5YSZ | 1500 | 1400 | 2 | 5.962 | 98.83 | 400 | 8YSZ | 1450 | 1350 | 2 | 5.906 | 98.60 | 960 |
| 5 | 5.981 | 99.14 | 410 | 5 | 5.924 | 98.90 | 1310 | ||||||
| 10 | 6.012 | 99.66 | 510 | 10 | 5.936 | 99.10 | 1480 | ||||||
| 1450 | 1400 | 2 | 5.946 | 98.56 | 370 | 1400 | 1350 | 2 | 5.804 | 96.89 | 860 | ||
| 5 | 5.969 | 98.95 | 390 | 5 | 5.874 | 98.06 | 1010 | ||||||
| 10 | 5.987 | 99.24 | 480 | 10 | 5.921 | 98.85 | 1060 | ||||||
| 1450 | 1350 | 2 | 5.891 | 97.65 | 270 | 1400 | 1300 | 2 | 5.791 | 96.67 | 470 | ||
| 5 | 5.937 | 98.42 | 310 | 5 | 5.862 | 97.86 | 510 | ||||||
| 10 | 5.968 | 98.93 | 335 | 10 | 5.919 | 98.81 | 580 | ||||||
| 1400 | 1350 | 2 | 5.846 | 96.91 | 200 | 1350 | 1300 | 2 | 5.622 | 93.86 | 280 | ||
| 5 | 5.891 | 97.65 | 250 | 5 | 5.776 | 96.43 | 370 | ||||||
| 10 | 5.945 | 98.55 | 280 | 10 | 5.901 | 98.51 | 410 |
3.3. Physical Phase Structure
3.4. Mechanical Properties
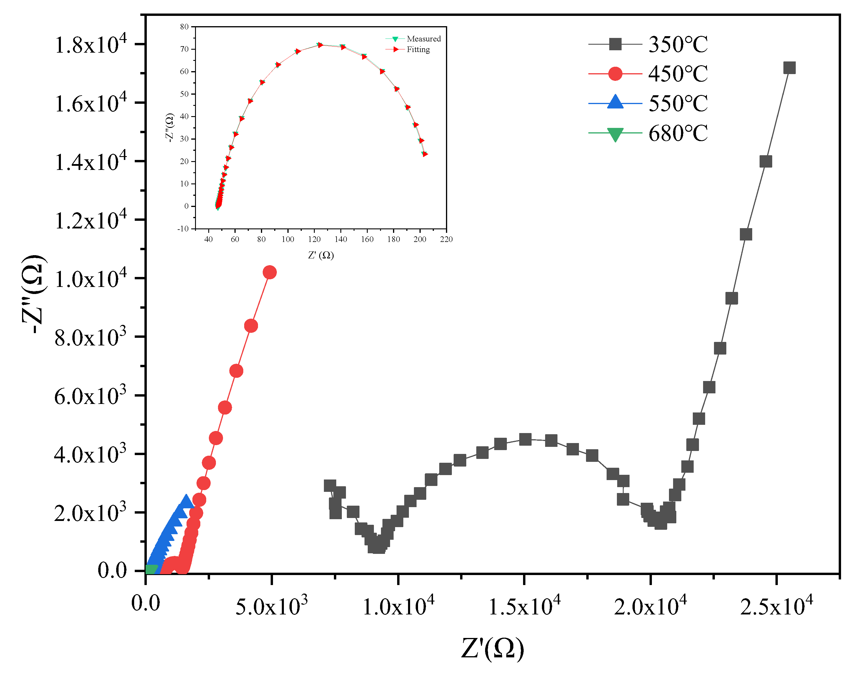
3.5. Electrical Properties
4. Conclusions
Author Contributions
Funding
Institutional Review Board Statement
Informed Consent Statement
Data Availability Statement
Conflicts of Interest
References
- Nettleship, I.; Stevens, R. Tetragonal zirconia polycrystal (TZP)—A review. Int. J. High Technol. Ceram. 1987, 3, 1–32. [Google Scholar] [CrossRef]
- Kobayashi, K.; Kuwajima, H.; Masaki, T. Phase change and mechanical properties of ZrO2-Y2O3 solid electrolyte after ageing. Solid State Ion. 1981, 3, 489–493. [Google Scholar] [CrossRef]
- Chen, X.J.; Khor, K.A.; Chan, S.H.; Yu, L.G. Influence of microstructure on the ionic conductivity of yttria-stabilized zirconia electrolyte. Mater. Sci. Eng. A 2002, 335, 246–252. [Google Scholar] [CrossRef]
- Kern, F.; Gommeringer, A. Mechanical Properties of 2Y-TZP Fabricated from Detonation Synthesized Powder. Ceramics 2020, 3, 440–452. [Google Scholar] [CrossRef]
- Liu, T.; Fang, J.; Li, S.; Li, S.; Wang, C.; Ji, C. Preparation of dense yttria stabilized zirconia ceramic by low-temperature sintering zirconium oxalate sol. J. Am. Ceram. Soc. 2015, 123, 554–560. [Google Scholar] [CrossRef]
- Ghatee, M.; Shariat, M.H.; Irvine, J.T.S. Investigation of electrical and mechanical properties of 3YSZ/8YSZ composite electrolytes. Solid State Ion. 2009, 180, 57–62. [Google Scholar] [CrossRef]
- Aragón-Duarte, M.C.; Nevarez-Rascón, A.; Esparza-Ponce, H.E.; Nevarez-Rascón, M.M.; Talamantes, R.P.; Ornelas, C.; Hurtado-Macías, A. Nanomechanical properties of zirconia-yttria and alμmina zirconia-yttria biomedical ceramics, subjected to low temperature aging. Ceram. Int. 2017, 43, 3931–3939. [Google Scholar] [CrossRef]
- Liu, X.Q.; Chen, X.M. Toughening of 8Y-FSZ Ceramics by Neodymiμm Titanate Secondary Phase. J. Am. Ceram. Soc. 2005, 88, 456–458. [Google Scholar] [CrossRef]
- Liu, X.Q.; Chen, X.M. Microstructures and mechanical properties of 8Y-FSZ ceramics with BaTiO3 additive. Ceram. Int. 2004, 30, 2269–2275. [Google Scholar] [CrossRef]
- Tredici, I.G.; Sebastiani, M.; Massimi, F.; Bemporad, E.; Resmini, A.; Merlati, G.; Anselmi-Tamburini, U. Low temperature degradation resistant nanostructured yttria-stabilized zirconia for dental applications. Ceram. Int. 2016, 42, 8190–8197. [Google Scholar] [CrossRef]
- Borrell, A.; Salvador, M.D.; Peñaranda-Foix, F.L.; Cátala-Civera, J.M. Microwave sintering of zirconia materials: Mechanical and microstructural properties. Int. J. Appl. Ceram. Technol. 2013, 10, 313–320. [Google Scholar] [CrossRef]
- Khor, K.A.; Yu, L.G.; Chan, S.H.; Chen, X.J. Densification of plasma sprayed YSZ electrolytes by spark plasma sintering (SPS). J. Eur. Ceram. 2003, 23, 1855–1863. [Google Scholar] [CrossRef]
- Takeuchi, T.; Kondoh, I.; Tamari, N.; Balakrishnan, N.; Nomura, K.; Kageyama, H.; Takeda, Y. Improvement of mechanical strength of 8 mol% yttria-stabilized zirconia ceramics by spark-plasma sintering. J. Electrochem. Soc. 2002, 149, A455–A461. [Google Scholar] [CrossRef]
- Lin, F.J.; De Jonghe, L.C.; Rahaman, M.N. Microstructure refinement of sintered alμmina by a two-step sintering technique. J. Am. Ceram. Soc. 1997, 80, 2269–2277. [Google Scholar] [CrossRef]
- Chu, M.Y.; De Jonghe, L.C.; Lin, M.K.; Lin, F.J. Precoarsening to improve microstructure and sintering and sintering of powder compacts. J. Am. Ceram. Soc. 1991, 74, 2902–2911. [Google Scholar] [CrossRef]
- Chen, I.W.; Wang, X.H. Sintering dense nanocrystalline ceramics without final-stage grain growth. Nature 2000, 404, 168–171. [Google Scholar] [CrossRef]
- Hotza, D.; García, D.E.; Castro, R.H.R. Obtaining highly dense YSZ nanoceramics by pressureless, unassisted sintering. Int. Mater. Rev. 2015, 60, 353–375. [Google Scholar] [CrossRef]
- Chen, J.; Huang, X.; Qin, G. Two-step sintering of nano-yttria stabilized tetragonal zirconia. J. Chin. Ceram. Soc. 2012, 40, 335–339. [Google Scholar]
- Mazaheri, M.; Hesabi, Z.R.; Golestani-Fard, F.; Mollazadeh, S.; Jafari, S.; Sadrnezhaad, S.K. The effect of conformation method and sintering technique on the densification and grain growth of nanocrystalline 8 mol% Yttria-Stabilized Zirconia. J. Am. Ceram. Soc. 2009, 92, 990–995. [Google Scholar] [CrossRef]
- Han, M.; Tang, X.; Yin, H.; Peng, S. Fabrication, microstructure and properties of a YSZ electrolyte for SOFCs. J. Power Sources 2007, 165, 757–763. [Google Scholar] [CrossRef]
- Hesabi, Z.R.; Mazaheri, M.; Ebadzadeh, T. Enhanced electrical conductivity of ultrafine-grained 8Y2O3 stabilized ZrO2 produced by two-step sintering technique. J. Alloys Compd. 2010, 494, 362–365. [Google Scholar] [CrossRef]
- Porter, D.L.; Heuer, A.H. Microstructural development in MgO-partially stabilized zirconia (Mg-PSZ). J. Am. Ceram. Soc. 1979, 62, 298–305. [Google Scholar] [CrossRef]
- Bikyashev, E.A.; Belousov, P.A.; Anokhin, A.S.; Letovaltsev, A.O. Temperature-induced phase transitions and structural features of non-polar phases stabilizing below TC in the PbZrO3–LaMg2/3Nb1/3O3 system. Ferroelectrics 2021, 574, 53–64. [Google Scholar] [CrossRef]
- ASTM C1327-96; Standard Test Method for Vickers Indentation Hardness of Advanced Ceramics. Annual Book of ASTM Standards vol. 15.01. ASTM International: West Conshohocken, PA, USA, 2003.
- Mazaheri, M.; Zahedi, A.M.; Hejazi, M.M. Processing of nanocrystalline 8 mol% yttria-stabilized zirconia by conventional, microwave-assisted and two-step sintering. Mater. Sci. Eng. A 2008, 492, 261–267. [Google Scholar] [CrossRef]
- Kulyk, V.V.; Duriagina, Z.A.; Vasyliv, B.D.; Vavrukh, V.; Kovbasiuk, T.M.; Holovchuk, M. Effects of yttria content and sintering temperature on the microstructure and tendency to brittle fracture of yttria-stabilized zirconia. Arch. Mater. Sci. Eng. 2021, 109, 65–79. [Google Scholar] [CrossRef]
- Kulyk, V.; Duriagina, Z.; Vasyliv, B.; Vavrukh, V.; Kovbasiuk, T.; Lyutyy, P.; Vira, V. The effect of sintering temperature on the phase composition, microstructure, and mechanical properties of yttria-stabilized zirconia. Materials 2022, 15, 2707. [Google Scholar] [CrossRef]
- Ingel, R.P.; Rice, R.W.; Lewis, D. Room-Temperature Strength and Fracture of ZrO2-Y2O3 Single Crystals. J. Am. Ceram. Soc. 1982, 65, c108–c109. [Google Scholar] [CrossRef]
- Matsui, K.; Yoshida, H.; Ikuhara, Y. Grain-boundary structure and microstructure development mechanism in 2–8 mol% yttria-stabilized zirconia polycrystals. Acta Mater. 2008, 56, 1315–1325. [Google Scholar] [CrossRef]
- Wang, X.; Wang, R.; Peng, C.; Wang, Z. Two-step sintering of BeO nanopowder. J. Cent. South Univ. 2014, 45, 1043–1051. [Google Scholar]
- Mazaheri, M.; Zahedi, A.M.; Sadrnezhaad, S.K. Two-step sintering of nanocrystalline ZnO compacts: Effect of temperature on densification and grain growth. J. Am. Ceram. Soc. 2008, 91, 56–63. [Google Scholar] [CrossRef]
- Kingery, W.D.; Berg, M. Study of initial stages of sintering solid by viscous flow, evaporation-condensation and self-diffusion. J. Appl. Phys. 1955, 26, 1205–1212. [Google Scholar] [CrossRef]
- Ingel, R.P.; Lewis, D., III. Lattice parameters and density for Y2O3-stabilized ZrO2. J. Am. Ceram. Soc. 1986, 69, 325–332. [Google Scholar] [CrossRef]
- Dong, Y.; Chen, I.W. Mobility transition at grain boundaries in two-step sintered 8 mol% yttria-stabilized zirconia. J. Am. Ceram. Soc. 2018, 101, 1857–1869. [Google Scholar] [CrossRef]
- Kontoyannis, C.G.; Orkoula, M. Quantitative determination of the cubic, tetragonal and monoclinic phases in partially stabilized zirconias by Raman spectroscopy. J. Mater Sci. 1994, 29, 5316–5320. [Google Scholar] [CrossRef]
- Hayashi, H.; Ueda, A.; Suino, A.; Hiro, K.; Hakuta, Y. Hydrothermal synthesis of yttria stabilized ZrO2 nanoparticles in subcritical and supercritical water using a flow reaction system. J. Solid State Chem. 2009, 182, 2985–2990. [Google Scholar] [CrossRef]
- Belichko, D.R.; Konstantinova, T.E.; Maletsky, A.V.; Volkova, G.K.; Doroshkevich, A.S.; Lakusta, M.V.; Cornei, N. Influence of hafnium oxide on the structure and properties of powders and ceramics of the YSZ–HfO2 composition. Ceram. Int. 2021, 47, 3142–3148. [Google Scholar] [CrossRef]
- Bauerle, J.E. Study of solid electrolyte polarization by a complex admittance method. J. Phys. Chem. Solids 1969, 30, 2657–2670. [Google Scholar] [CrossRef]
- Matsui, N. Equivalent circuit analysis of high temperature solid electrolyte. Solid State Ion. 1986, 18, 888–891. [Google Scholar] [CrossRef]












| Specimen | Phase Composition, % | Latticle Options, Å | c/a | Vcell, Å3 | |
|---|---|---|---|---|---|
| a | c | ||||
| 5YSZ-1500 °C | 47.52%C | - | 5.1705 | - | 138.23 |
| 52.48%T | 3.6589 | 5.1677 | 1.413 | 69.18 | |
| 5YSZ-1500-1400 °C | 59.05%C | - | 5.1641 | - | 137.72 |
| 40.95%T | 3.6513 | 5.1622 | 1.414 | 68.82 | |
| 8YSZ-1450 °C | 94%C | - | 5.1723 | - | 138.37 |
| 6%T | 3.6644 | 5.1803 | 1.414 | 69.56 | |
| 8YSZ-1450-1350 °C | 94.71%C | - | 5.163 | - | 137.63 |
| 5.29%T | 3.6427 | 5.1732 | 1.42 | 68.64 | |
| Sample | Vickers Hardness GPa | Fracture Toughness Mpa·m1/2 | Elastic Modulus GPa |
|---|---|---|---|
| 5YSZ-1500-1400 °C | 15.301 | 3.289 | 238.075 |
| 5YSZ-1450-1400 °C | 14.828 | 4.034 | - |
| 5YSZ-1450-1350 °C | 14.076 | 2.797 | - |
| 5YSZ-1400-1350 °C | 12.861 | 2.902 | - |
| 8YSZ-1450-1350 °C | 15.134 | 1.585 | 233.408 |
| 8YSZ-1400-1350 °C | 14.320 | 2.126 | - |
| 8YSZ-1400-1300 °C | 13.636 | 1.817 | - |
| 8YSZ-1350-1300 °C | 12.507 | 1.36 | - |
| Specimen | Sintering Conditions | σt (680 °C) | Activation Energy Ea (eV) | Specimen | Sintering Conditions | σt (680 °C) | Activation Energy Ea (eV) | ||||
|---|---|---|---|---|---|---|---|---|---|---|---|
| °C | ×10−3 S/cm | σt | σb | σgb | °C | ×10−3 S/cm | σt | σb | σgb | ||
| 5YSZ-1 | 1500-2 h | 3.52 | 0.72 | 0.67 | 0.96 | 8YSZ-1 | 14502 h | 6.09 | 0.75 | 0.67 | 1.01 |
| 5YSZ-2 | 1400-2 h | 3.39 | 0.74 | 0.70 | 0.96 | 8YSZ-2 | 1400-2 h | 6.24 | 0.84 | 0.80 | 1.01 |
| 5YSZ-3 | 1500-1400-2 h | 3.76 | 0.79 | 0.60 | 1.19 | 8YSZ-3 | 1450-1350-2 h | 5.84 | 0.76 | 0.65 | 1.07 |
| 5YSZ-4 | 1450-1400-5 h | 3.95 | 0.80 | 0.68 | 1.18 | 8YSZ-4 | 1400-1350-5 h | 5.91 | 0.82 | 0.72 | 1.08 |
| 5YSZ-5 | 1450-1350-5 h | 4.37 | 0.74 | 0.64 | 1.09 | 8YSZ-5 | 1400-1300-5 h | 5.77 | 0.82 | 0.72 | 1.04 |
| 5YSZ-6 | 1450-1350-10 h | 3.49 | 0.80 | 0.65 | 1.21 | 8YSZ-6 | 1400-1300-10 h | 7.87 | 0.74 | 0.67 | 0.99 |
| 5YSZ-7 | 1400-1350-10 h | 4.52 | 0.75 | 0.65 | 1.11 | 8YSZ-7 | 1350-1300-10 h | 7.2 | 0.77 | 0.69 | 1.08 |
Disclaimer/Publisher’s Note: The statements, opinions and data contained in all publications are solely those of the individual author(s) and contributor(s) and not of MDPI and/or the editor(s). MDPI and/or the editor(s) disclaim responsibility for any injury to people or property resulting from any ideas, methods, instructions or products referred to in the content. |
© 2023 by the authors. Licensee MDPI, Basel, Switzerland. This article is an open access article distributed under the terms and conditions of the Creative Commons Attribution (CC BY) license (https://creativecommons.org/licenses/by/4.0/).
Share and Cite
Li, Y.; Sun, H.; Song, J.; Zhang, Z.; Lan, H.; Tian, L.; Xie, K. Effect of Two-Step Sintering on the Mechanical and Electrical Properties of 5YSZ and 8YSZ Ceramics. Materials 2023, 16, 2019. https://doi.org/10.3390/ma16052019
Li Y, Sun H, Song J, Zhang Z, Lan H, Tian L, Xie K. Effect of Two-Step Sintering on the Mechanical and Electrical Properties of 5YSZ and 8YSZ Ceramics. Materials. 2023; 16(5):2019. https://doi.org/10.3390/ma16052019
Chicago/Turabian StyleLi, Yunpeng, Hongqian Sun, Jing Song, Zhiyu Zhang, Hao Lan, Liangliang Tian, and Keqiang Xie. 2023. "Effect of Two-Step Sintering on the Mechanical and Electrical Properties of 5YSZ and 8YSZ Ceramics" Materials 16, no. 5: 2019. https://doi.org/10.3390/ma16052019
APA StyleLi, Y., Sun, H., Song, J., Zhang, Z., Lan, H., Tian, L., & Xie, K. (2023). Effect of Two-Step Sintering on the Mechanical and Electrical Properties of 5YSZ and 8YSZ Ceramics. Materials, 16(5), 2019. https://doi.org/10.3390/ma16052019

