Numerical Study of Flow Boiling of ADN-Based Liquid Propellant in a Capillary
Abstract
1. Introduction
2. Mathematical Models and Validation
2.1. Physical Model
2.2. Simulational Conditions and Numerical Methods
2.3. Mathematical Models
2.4. Model Validation
3. Results and Discussion
3.1. Analysis of the Effect of Mass Transfer Coefficient on Flow Boiling
3.2. Analysis of Influence of Heat Reflux Temperature on Temperature Distribution
3.3. Analysis of Heat Reflux Temperature on Gas–Liquid Two-Phase Flow
4. Conclusions
- (1)
- Simulation of the flow boiling of ADN-based liquid propellant in the capillary tube can be achieved by using the VOF-coupled Lee model. The inlet mass flow rate is about 0.0300 g/s, with an error of about 5.3% from the experimental result (0.0308 g/s), and the outer surface temperature at about 4.3 mm from the capillary tube outlet is about 420.1 K, with an error of about 2.6% from the experimental result (398.7 K), which meets the accuracy requirement;
- (2)
- The mass transfer coefficient in the Lee model affects the frequency of bubble generation in the capillary tube under the same simulation conditions. As the mass transfer coefficient gradually increases (from 0.1 to 100), more volume bubbles are generated in the capillary tube (from 4.0 mm3 to 953.0 mm3), and the gas–liquid equivalence surface gradually becomes complete. For the flow boiling problem of ADN-based liquid propellant in the capillary tube, the mass transfer coefficient is taken as 100 s−1 to maintain the accuracy of the simulation well and to ensure a good convergence;
- (3)
- During the transfer of the heat reflux temperature upstream, the temperature of the front chamber and the outer wall surface of the capillary tube are uniformly distributed, and the temperature is symmetrically distributed along the axial direction. Due to the cooling effect of the ADN-based liquid propellant, the temperature of the inner wall surface of the capillary tube is slightly lower than that of the outer surface;
- (4)
- The increase in the heat reflux temperature (from 400 K to 800 K) intensified the flow boiling in the capillary tube, and the average bubble volumes in the capillary tube increased significantly (from 0 mm3 to 702 mm3). The time of the first bubble formation is gradually advanced, and the bubble formation position moves upstream;
- (5)
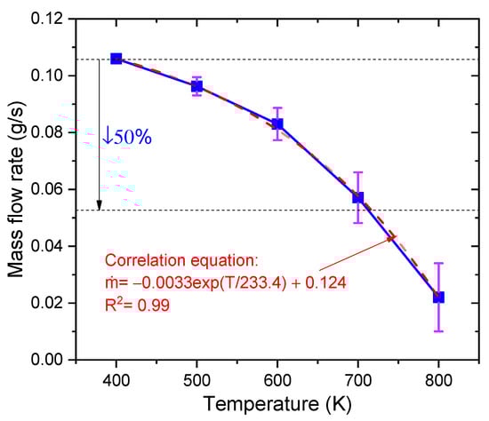
- As the heat reflux temperature increases, the local boiling phenomenon of the ADN-based liquid propellant in the capillary gradually intensifies. When the outlet temperature exceeded 700 K, the transient liquid mass flow rate in the capillary was already reduced by more than 50%. In the design of the thruster structure, technologies such as adding insulating layers or thermal coatings to the capillary outlet are used to ensure that the temperature at the capillary outlet area does not exceed 700 K;
- (6)
- In this study, the ADN-based liquid propellant physical parameters are assumed to remain constant. In fact, the physical parameters change with temperature. The physical parameters (density, specific heat, viscosity, surface tension, etc.) of ADN-based liquid propellants at different temperatures will be measured experimentally in later studies to verify the model in this paper in detail.
Author Contributions
Funding
Institutional Review Board Statement
Informed Consent Statement
Data Availability Statement
Conflicts of Interest
References
- Lu, Q.; Chen, F.; Xiao, L.; Yang, J.; Hu, Y.; Zhang, G.; Zhao, F.; Wang, Y.; Jiang, W.; Hao, G. Advances in the molecular simulation and numerical calculations of the green high-energy oxidant ADN. Mater. Today Commun. 2022, 31, 103699. [Google Scholar] [CrossRef]
- Cao, J.; Cui, H.; Zheng, Y.; Pan, Y.; Zhang, J.; Wu, L.; Zhou, B.; Ye, Y.; Shen, R. Effect of absorption depth on chemical energy release from laser ablation of ADN-based liquid propellants. Acta Astronaut. 2023, 204, 116–123. [Google Scholar] [CrossRef]
- Larsson, A.; Wingborg, N. Green propellants based on ammonium dinitramide (ADN). Adv. Spacecr. Technol. 2011, 2, 139–156. [Google Scholar]
- Yan, Z.; Liu, X.; Yu, Y.; Cao, J.; Liu, X.; Zhang, S. Effects of Heat Reflux on Two-Phase Flow Characteristics in a Capillary tube of the ADN-Based Thruster. Micromachines 2022, 13, 597. [Google Scholar] [CrossRef]
- Zhang, W.; Wang, M.; Chen, Y.; Fu, T.Q.; Liu, X.H.; Yang, R.; Yao, Z.P. Numerical Simulation of Effects of Heat Soak-Back on Micro-Scale Flow Through a Capillary tube in ADN-Based Thruster. J. Propuls. Technol. 2020, 41, 101–108. [Google Scholar]
- Li, W.-L.; Wang, J.-H.; Chen, H.; Shao, L.; Chu, G.-W.; Xiang, Y. CFD analysis on the intensified mechanism of gas-liquid mass transfer in a microporous tube-in-tube microchannel reactor. Int. J. Heat Mass Transf. 2022, 182, 121914. [Google Scholar] [CrossRef]
- Mehendale, S.S.; Jacobi, A.M.; Shah, R.K. Fluid flow and heat transfer at micro- and meso-scales with application to heat exchanger design. Appl. Mech. Rev. 2000, 53, 175–193. [Google Scholar] [CrossRef]
- Kandlikar, S.G.; Grande, W.J. Evolution of Microchannel Flow Passages--Thermohydraulic Performance and Fabrication Technology. Heat Transf. Eng. 2003, 24, 3–17. [Google Scholar] [CrossRef]
- Zhang, C.; Chen, L.; Ji, W.; Liu, Y.; Liu, L.; Tao, W.Q. Lattice Boltzmann mesoscopic modeling of flow boiling heat transfer processes in a microchannel. Appl. Therm. Eng. 2021, 197, 117369. [Google Scholar] [CrossRef]
- Safaei, M.R.; Tlili, I.; Gholamalizadeh, E.; Abbas, T.; Alkanhal, T.A.; Goodarzi, M.; Dahari, M. Thermal analysis of a binary base fluid in pool boiling system of glycol–water alumina nano-suspension. J. Therm. Anal. Calorim. 2021, 143, 2453–2462. [Google Scholar] [CrossRef]
- Li, Z.; Mazinani, A.; Hayat, T.; Al-Rashed, A.A.; Alsulami, H.; Goodarzi, M.; Sarafraz, M. Transient pool boiling and particulate deposition of copper oxide nano-suspensions. Int. J. Heat Mass Transf. 2020, 155, 119743. [Google Scholar] [CrossRef]
- Mukherjee, A.; Kandlikar, S.G.; Edel, Z.J. Numerical study of bubble growth and wall heat transfer during flow boiling in a microchannel. Int. J. Heat Mass Transf. 2011, 54, 3702–3718. [Google Scholar] [CrossRef]
- Zhuan, R.; Wang, W. Flow pattern of boiling in micro-channel by numerical simulation. Int. J. Heat Mass Transf. 2011, 55, 1741–1753. [Google Scholar] [CrossRef]
- Pattamatta, A.; Freystein, M.; Stephan, P. A parametric study on phase change heat transfer due to Taylor-Bubble coalescence in a square minichannel. Int. J. Heat Mass Transf. 2014, 76, 16–32. [Google Scholar] [CrossRef]
- Magnini, M.; Pulvirenti, B.; Thome, J.R. Numerical investigation of hydrodynamics and heat transfer of elongated bubbles during flow boiling in a microchannel. Int. J. Heat Mass Transf. 2013, 59, 451–471. [Google Scholar] [CrossRef]
- Magnini, M.; Pulvirenti, B.; Thome, J.R. Numerical investigation of the influence of leading and sequential bubbles on slug flow boiling within a microchannel. Int. J. Therm. Sci. 2013, 71, 36–52. [Google Scholar] [CrossRef]
- Pan, Z.; Weibel, J.A.; Garimella, S.V. A saturated-interface-volume phase change model for simulating flow boiling. Int. J. Heat Mass Transf. 2016, 93, 945–956. [Google Scholar] [CrossRef]
- Clark, M.D.; Weibel, J.A.; Garimella, S.V. Impact of pressure drop oscillations and parallel channel instabilities on microchannel flow boiling and critical heat flux. Int. J. Multiph. Flow 2023, 161, 104380. [Google Scholar] [CrossRef]
- Hou, Y.; Yu, Y.; Liu, X.; Cao, J. Effect of Combustion Chamber Geometrical Parameters on the Decomposition and Combustion Characteristics of an ADN-Based Thruster. Micromachines 2022, 13, 605. [Google Scholar] [CrossRef] [PubMed]
- Guo, Y.; Zhu, C.-Y.; Gong, L.; Zhang, Z.-B. Numerical simulation of flow boiling heat transfer in microchannel with surface roughness. Int. J. Heat Mass Transf. 2023, 204, 123830. [Google Scholar] [CrossRef]
- Guodong, Q.; Xinghua, W.; Weihua, C.; Yiqiang, J. Development and Validation of Numerical Model of Condensation Heat Transfer and Frictional Pressure Drop in a Circular Tube. Appl. Therm. Eng. 2018, 43, 225–235. [Google Scholar]
- Brackbill, J.U.; Kothe, D.B.; Zemach, C. A continuum method for modeling surface tension. J. Comput. Phys. 1992, 100, 335–354. [Google Scholar] [CrossRef]
- Wang, G.; Pang, S.; Jiang, T.; Han, W.; Chen, Z. Comparative study of thermally stratified heat storage tank using different heat transfer fluids based on fluid-solid coupling method. Case Stud. Therm. Eng. 2021, 28, 101629. [Google Scholar] [CrossRef]
- Corral, R.; Wang, Z. An Efficient Steady State Coupled Fluid-Solid Heat Transfer Method for Turbomachinery Applications. Int. J. Therm. Sci. 2018, 130, 59–69. [Google Scholar] [CrossRef]
- Sun, Y.; Zhang, X.; Howell, J.R. Evaluation of three different radiative transfer equation solvers for combined conduction and radiation heat transfer. J. Quant. Spectrosc. Radiat. Transf. 2016, 184, 262–273. [Google Scholar] [CrossRef]
- Kwok, D.Y.; Neumann, A.W. Contact angle measurement and contact angle interpretation. Adv. Colloid Interface Sci. 1999, 81, 167–249. [Google Scholar] [CrossRef]
- Kharangate, C.R.; Mudawar, I. Review of computational studies on boiling and condensation. Int. J. Heat Mass Transf. 2017, 108, 1164–1196. [Google Scholar] [CrossRef]
- Lee, J.; Mudawar, I.; Hasan, M.M.; Nahra, H.K.; Mackey, J.R. Experimental and computational investigation of flow boiling in microgravity. Int. J. Heat Mass Transf. 2022, 183, 122237. [Google Scholar] [CrossRef]
- Goodson, K.; Rogacs, A.; David, M.; Fang, C. Volume of fluid simulation of boiling two-phase flow in a vapor-venting microchannel. Front. Heat Mass Transf. 2010, 1, 013002. [Google Scholar] [CrossRef]
- Wei, J.-H.; Pan, L.-M.; Chen, D.-Q.; Zhang, H.; Xu, J.-J.; Huang, Y.-P. Numerical simulation of bubble behaviors in subcooled flow boiling under swing motion. Nucl. Eng. Des. 2011, 241, 2898–2908. [Google Scholar] [CrossRef]
- Tang, J.; Liu, H.; Du, M.; Yang, W.; Sun, L. A machine-learning based phase change model for simulation of bubble condensation. Int. J. Heat Mass Transf. 2021, 178, 121620. [Google Scholar] [CrossRef]
- Wu, H.L.; Peng, X.F.; Ye, P.; Gong, Y.E. Simulation of refrigerant flow boiling in serpentine tubes. Int. J. Heat Mass Transf. 2007, 50, 1186–1195. [Google Scholar] [CrossRef]
- Liu, Z.; Li, Y.; Jin, Y.; Li, C. Thermodynamic performance of pre-pressurization in a cryogenic tank. Appl. Therm. Eng. 2017, 112, 801–810. [Google Scholar] [CrossRef]
- Yang, Z.; Peng, X.F.; Ye, P. Numerical and experimental investigation of two-phase flow during boiling in a coiled tube. Int. J. Heat Mass Transf. 2008, 51, 1003–1016. [Google Scholar] [CrossRef]




















| Parameter | Value | |
|---|---|---|
| Capillary tube | Inner diameter (mm) | 0.14 |
| Out diameter (mm) | 0.60 | |
| Horizontal length (mm) | 14.60 | |
| Front chamber | Inner diameter (mm) | 0.60 |
| Out diameter (mm) | 2.50 | |
| Horizontal length (mm) | 2.30 |
| Parameters | Value |
|---|---|
| Density (kg/m3) | 1550 |
| Cp (specific heat) (J/kg·K) | 2350 |
| Thermal conductivity (W/m·K) | 0.8 |
| Viscosity (kg/m-s) | 0.0046 |
| Molecular weight (kg/kmol) | 124 |
| Reference temperature (K) | 298.15 |
| Items | Discretization Methods |
|---|---|
| Pressure–Velocity Coupling | SIMPLE |
| Gradient | Least Squares Cell Based |
| Pressure | PRESTO! |
| Volume Fraction | Geo-Reconstruction |
| Momentum | First Order Upwind |
| Energy | First Order Upwind |
| Temperature of Measurement Point (K) | Inlet Mass Flow (g/s) | |
|---|---|---|
| Simulation | 420.1 | 0.0300 |
| Experiment | 398.7 | 0.0308 |
| Heat Reflux Temperature (K) | Inlet Pressure (MPa) | Outlet Pressure (MPa) | Gravitational Acceleration (m/s2) | |
|---|---|---|---|---|
| Case 1 | 400 | 1.5 | 1.0 | 0 |
| Case 2 | 500 | 1.5 | 1.0 | 0 |
| Case 3 | 600 | 1.5 | 1.0 | 0 |
| Case 4 | 700 | 1.5 | 1.0 | 0 |
| Case 5 | 800 | 1.5 | 1.0 | 0 |
Disclaimer/Publisher’s Note: The statements, opinions and data contained in all publications are solely those of the individual author(s) and contributor(s) and not of MDPI and/or the editor(s). MDPI and/or the editor(s) disclaim responsibility for any injury to people or property resulting from any ideas, methods, instructions or products referred to in the content. |
© 2023 by the authors. Licensee MDPI, Basel, Switzerland. This article is an open access article distributed under the terms and conditions of the Creative Commons Attribution (CC BY) license (https://creativecommons.org/licenses/by/4.0/).
Share and Cite
Liu, X.; Su, G.; Yao, Z.; Yan, Z.; Yu, Y. Numerical Study of Flow Boiling of ADN-Based Liquid Propellant in a Capillary. Materials 2023, 16, 1858. https://doi.org/10.3390/ma16051858
Liu X, Su G, Yao Z, Yan Z, Yu Y. Numerical Study of Flow Boiling of ADN-Based Liquid Propellant in a Capillary. Materials. 2023; 16(5):1858. https://doi.org/10.3390/ma16051858
Chicago/Turabian StyleLiu, Xuhui, Gaoshi Su, Zhaopu Yao, Zhuan Yan, and Yusong Yu. 2023. "Numerical Study of Flow Boiling of ADN-Based Liquid Propellant in a Capillary" Materials 16, no. 5: 1858. https://doi.org/10.3390/ma16051858
APA StyleLiu, X., Su, G., Yao, Z., Yan, Z., & Yu, Y. (2023). Numerical Study of Flow Boiling of ADN-Based Liquid Propellant in a Capillary. Materials, 16(5), 1858. https://doi.org/10.3390/ma16051858

