Stress Intensity Factor (SIF) Solutions and Fatigue Crack Paths in Eccentric Circumferentially Cracked Round Bar (CCRB) in Tension
Abstract
:1. Introduction
2. Numerical Modeling
3. Numerical Results
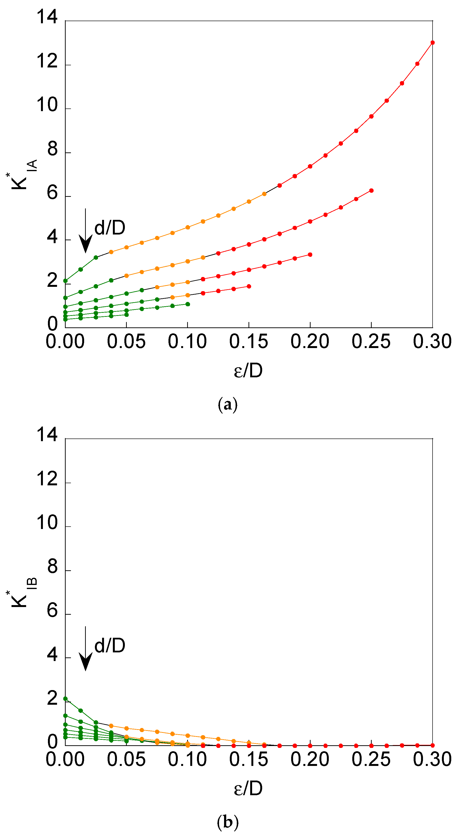
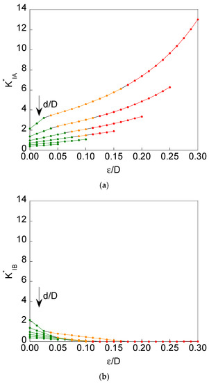
3.1. Stress Intensity Factor (SIF)
- For imposed axial displacement and no contact:
- For imposed axial displacement and partial contact:
- For remote tensile loading and no contact:
- For remote tensile loading and partial contact:
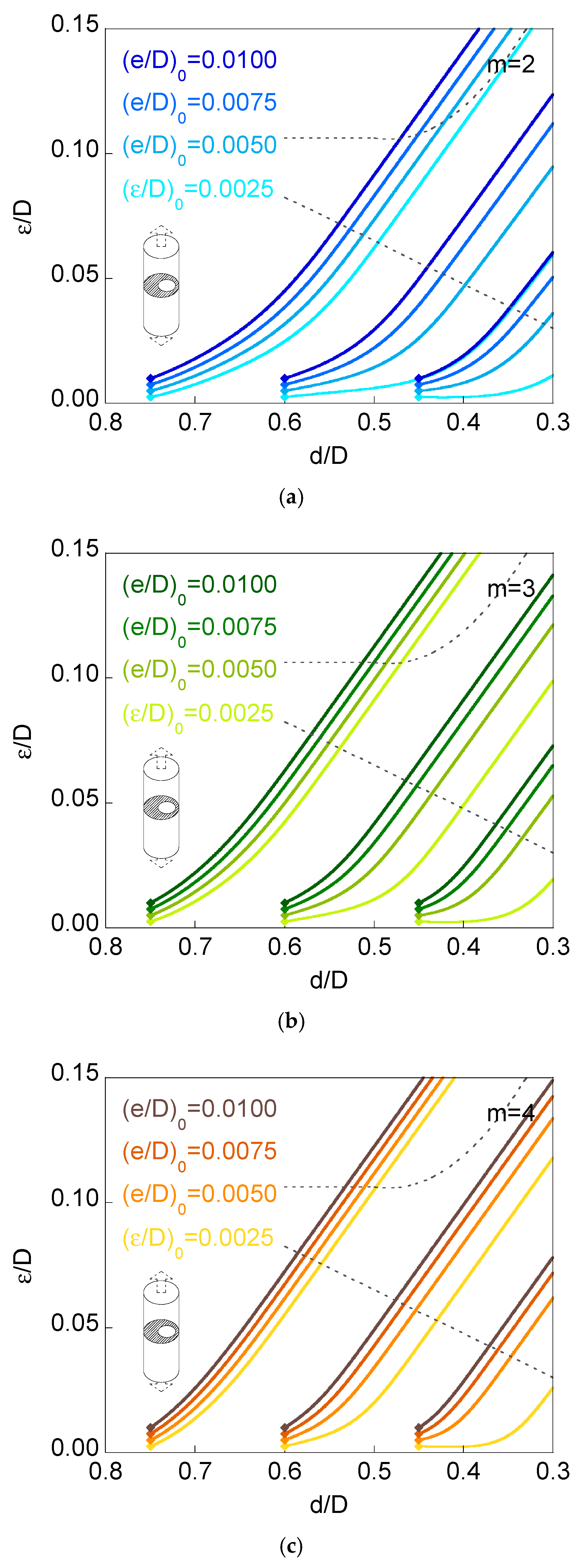
3.2. Fatigue Crack Propagation Paths
4. Conclusions
- (i)
- Closed-form stress intensity factor (SIF) solutions are provided for an eccentric outer (external) crack located in circumferentially cracked round bars (CCRB) under axial tensile loading in the form of remote tensile loading or imposed axial displacement.
- (ii)
- Such SIF solutions are provided in the form of third-degree polynomial expressions as a function of the ligament diameter and the specimen eccentricity (both in dimensionless terms), covering a wide range of CCRB geometries.
- (iii)
- The fatigue propagation paths associated with eccentric circumferential cracks located in round bars under tensile cyclic loading produce a clear augmentation of the eccentricity of the resistant ligament of the bar.
- (iv)
- The described phenomenon is more intense when there is an increase in the initial relative eccentricity (for the same given initial relative diameter) and in the Paris exponent m characteristic of the material.
- (v)
- In the eccentric CCRBs in which a remote tensile loading is applied, the increase in specimen eccentricity is higher than in those bars subjected to imposed axial displacement due to a bending effect.
- (vi)
- The reason for the aforesaid higher increase in specimen eccentricity in the case of remote tensile loading is the external constraint (boundary condition) created by the imposed axial displacement, thereby preventing specimen bending.
- (vii)
- The plots’ relative eccentricity versus relative diameter (ε/D–d/D) are straight lines of equal slope from the beginning of partial contact, or even before for the materials with more elevated exponent m of the Paris law.
- (viii)
- Results possess a high level of generality: the provided closed-form SIF solutions (analytical expressions) are applicable to any fracture mechanics, damage tolerance, and structural integrity analyses in which CCRB geometries are involved.
Author Contributions
Funding
Conflicts of Interest
References
- ASTM E399; Standard Test Method for Linear-Elastic Plane-Strain Fracture Toughness KIc of Metallic Materials. ASTM International: West Conshohocken, PA, USA, 2012.
- Stark, H.L.; Ibrahim, R.N. Estimating fracture toughness from small specimens. Eng. Fract. Mech. 1986, 25, 395–401. [Google Scholar] [CrossRef]
- Ibrahim, R.N.; Stark, H.L. Establishing K1c from eccentrically fatigue cracked small circumferentially grooved cylindrical specimens. Int. J. Fract. 1990, 44, 179–188. [Google Scholar] [CrossRef]
- Ibrahim, R.N.; Kotousov, A. Eccentricity correction for the evaluation of fracture toughness from cylindrical notched test small specimens. Eng. Fract. Mech. 1999, 64, 49–58. [Google Scholar] [CrossRef]
- Pinter, G.; Haager, M.; Balika, W.; Lang, R.W. Cyclic crack growth tests with CRB specimens for the evaluation of the long-term performance of PE pipe grades. Polym. Test. 2007, 26, 180–188. [Google Scholar] [CrossRef]
- Neelakantha, V.L.; Jayaraju, T.; Naik, P.; Kumar, D.; Rajashekar, C.R.; Mohankumar. Determination of fracture toughness and fatigue crack growth rate using circumferentially cracked round bar specimens of Al2014T651. Aerosp. Sci. Technol. 2015, 47, 92–97. [Google Scholar] [CrossRef]
- Rihan, R.; Singh Raman, R.K.; Ibrahim, R.N. Determination of crack growth rate and threshold for caustic cracking (KIscc) of a cast iron using small circumferential notched tensile (CNT) specimens. Mater. Sci. Eng. A 2006, 425, 272–277. [Google Scholar] [CrossRef]
- Fischer, J.; Freudenthaler, P.J.; Bradler, P.R.; Lang, R.W. Novel test system and test procedure for fatigue crack growth testing with cracked round bar (CRB) specimens. Polym. Test. 2019, 78, 105998. [Google Scholar] [CrossRef]
- Benthem, J.P.; Koiter, W.T. Asymptotic approximations to crack problems. In Method of Analysis and Solutions of Crack Problems; Sih, G.C., Ed.; Noordhoft International Publishing: Leiden, The Netherlands, 1973; pp. 131–178. [Google Scholar]
- Gray, T.G.F. Convenient closed form stress intensity factors for common crack configurations. Int. J. Fract. 1977, 13, 65–75. [Google Scholar] [CrossRef]
- Dieter, G.E. Mechanical Metallurgy, SI Edition; McGraw-Hill: Singapore, 1988. [Google Scholar]
- Mattheck, C.; Morawietz, P.; Munz, D. Stress intensity factors of sickle-shaped cracks in cylindrical bars. Int. J. Fatigue 1985, 7, 45–47. [Google Scholar] [CrossRef]
- Toribio, J.; González, B.; Matos, J.C. Crack tip field in eccentric circumferentially cracked round bar (CCRB) under tensile loading. Fatigue Fract. Eng. Mater. Struct. 2018, 41, 2153–2161. [Google Scholar] [CrossRef]
- Yngvesson, M. Eccentric circumferential cracks in cylindrical specimens. Int. J. Fract. 2000, 102, L9–L14. [Google Scholar] [CrossRef]
- Zhao, Y.; Kim, I.; Choi, B.-H.; Lee, J.-M. Variation of the fatigue lifetime with the initial notch geometry of circular notched bar specimens. Int. J. Fract. 2011, 167, 127–134. [Google Scholar] [CrossRef]
- Kim, I.; Zhao, Y.; Choi, B.-H.; Lee, J.M.; Lee, K.-S.; Lee, J.-M. Numerical analysis of asymmetric fatigue crack growth behaviors of circular notched bar specimen resulting from various geometric misalignments. Eng. Fract. Mech. 2013, 108, 50–64. [Google Scholar] [CrossRef]
- Toribio, J.; González, B.; Matos, J.C. Fatigue crack paths in eccentric circumferentially cracked round bar (CCRB) subjected to tensile cyclic loading. Procedia Struct. Integr. 2022, 39, 484–487. [Google Scholar] [CrossRef]
- Paris, P.C.; Erdogan, F. A critical analysis of crack propagation laws. J. Basic Eng. 1963, 85D, 528–534. [Google Scholar] [CrossRef]









Disclaimer/Publisher’s Note: The statements, opinions and data contained in all publications are solely those of the individual author(s) and contributor(s) and not of MDPI and/or the editor(s). MDPI and/or the editor(s) disclaim responsibility for any injury to people or property resulting from any ideas, methods, instructions or products referred to in the content. |
© 2023 by the authors. Licensee MDPI, Basel, Switzerland. This article is an open access article distributed under the terms and conditions of the Creative Commons Attribution (CC BY) license (https://creativecommons.org/licenses/by/4.0/).
Share and Cite
Toribio, J.; Matos, J.-C.; González, B. Stress Intensity Factor (SIF) Solutions and Fatigue Crack Paths in Eccentric Circumferentially Cracked Round Bar (CCRB) in Tension. Materials 2023, 16, 1728. https://doi.org/10.3390/ma16041728
Toribio J, Matos J-C, González B. Stress Intensity Factor (SIF) Solutions and Fatigue Crack Paths in Eccentric Circumferentially Cracked Round Bar (CCRB) in Tension. Materials. 2023; 16(4):1728. https://doi.org/10.3390/ma16041728
Chicago/Turabian StyleToribio, Jesús, Juan-Carlos Matos, and Beatriz González. 2023. "Stress Intensity Factor (SIF) Solutions and Fatigue Crack Paths in Eccentric Circumferentially Cracked Round Bar (CCRB) in Tension" Materials 16, no. 4: 1728. https://doi.org/10.3390/ma16041728
APA StyleToribio, J., Matos, J.-C., & González, B. (2023). Stress Intensity Factor (SIF) Solutions and Fatigue Crack Paths in Eccentric Circumferentially Cracked Round Bar (CCRB) in Tension. Materials, 16(4), 1728. https://doi.org/10.3390/ma16041728

