Experiment Study on the Influence of Density and Confining Pressure on Triaxial Shear Properties of Calcareous Sand
Abstract
1. Introduction
2. Materials and Methods
2.1. Calcareous Sand
2.2. Test Methods
3. Results
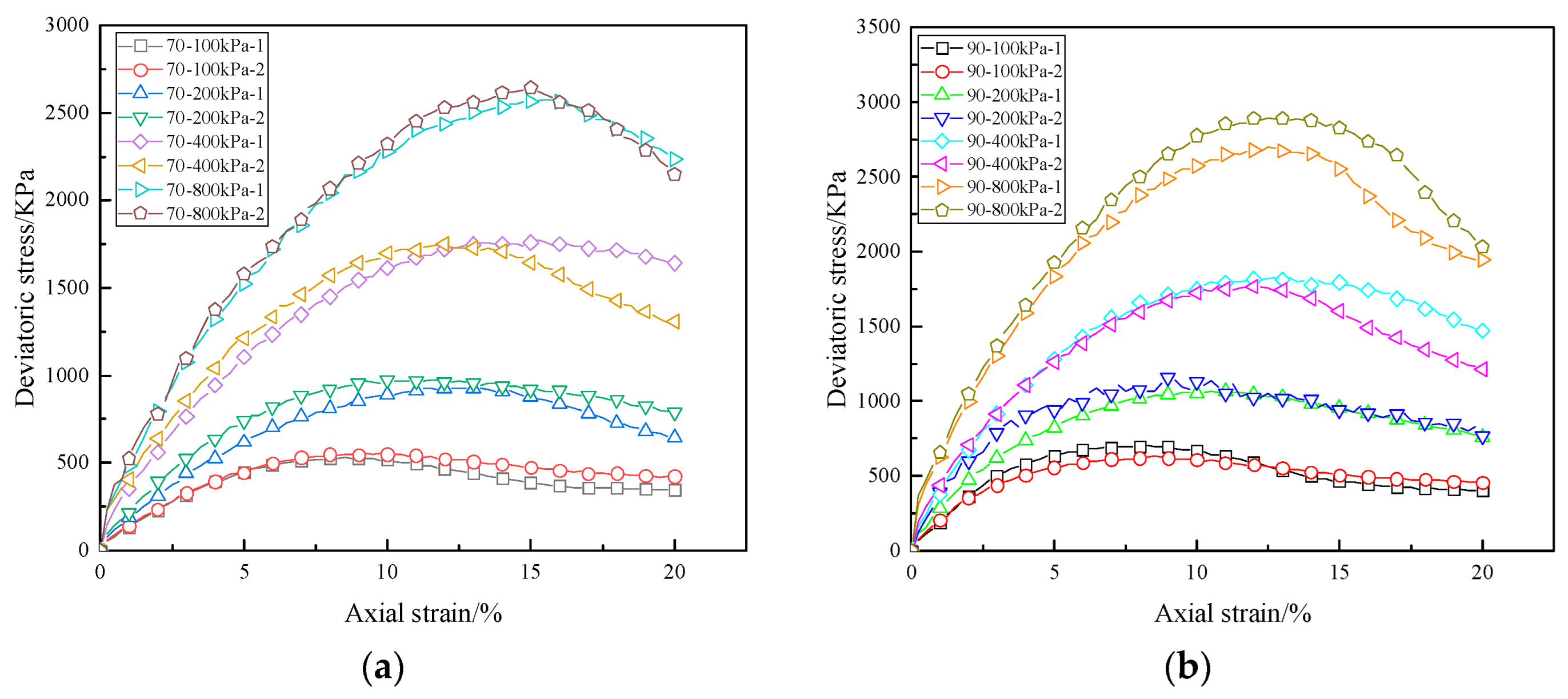
3.1. Stress–Strain Curve
3.2. Initial Shear Modulus
3.3. Shear Strength
3.4. Stress Ratio
3.5. Stress Path
4. Discussion
5. Conclusions
- The stress–strain curves of calcareous sand show a strain softening characteristic, which was enhanced with the increasing confining pressure. The increment in failure strain from 100 kPa to 400 kPa is much larger than that from 400 kPa to 800 kPa, and it is restrained when confining pressure reaches 400 kPa.
- The initial shear modulus of calcareous sand with relative densities of 70% and 90% increases linearly with almost the same slope as the increasing confining pressure.
- The envelope of calcareous sand’s molar circle is linear within the range of 100~400 kPa, but it deviates from the linear in the range of 400~800 kPa. In the linear stage, the cohesion and internal friction angle of calcareous sand with relative densities of 70% and 90% are 93.60 kPa, 36.55° and 118.04 kPa, 36.75°, respectively.
- The peak stress ratio of calcareous sand decreases with increasing confining pressure. The stress ratio in the final shear stage of the test almost converges on a horizontal line with the value of about 1.5 for 70% calcareous sand and about 1.6 for 90% calcareous sand.
- The CSL of calcareous sand exhibits non-linearity, which can be described by a power exponential function with almost the same exponent for calcareous sand with different relative densities.
Author Contributions
Funding
Institutional Review Board Statement
Informed Consent Statement
Data Availability Statement
Conflicts of Interest
References
- Liu, C. The theory ofcalcareoussoilsmechanics and itsapplication in engineering. Chin. J. Rock Mech. Eng. 1999, 18, 529–533. [Google Scholar]
- Liu, J. Mechanical Characteristic of Shallow Calcareous Sands from Coral Reefs. Soil Eng. Found. 2016, 30, 696. [Google Scholar]
- Zhao, J.; Tong, H.; Shan, Y.; Yuan, J.; Peng, Q.; Liang, J. Effects of Different Types of Fibers on the Physical and Mechanical Properties of MICP-Treated Calcareous Sand. Materials 2021, 14, 268. [Google Scholar] [CrossRef] [PubMed]
- Wang, X.Z.; Jiao, Y.Y.; Wang, R.; Hu, M.J.; Meng, Q.S.; Tan, F.Y. Engineering characteristics of the calcareous sand in Nansha Islands, South China Sea. Eng. Geol. 2011, 120, 40–47. [Google Scholar] [CrossRef]
- Hu, H.; Luo, L.; Lei, G.; Guo, J.; He, S.; Hu, X.; Guo, P.; Gong, X. The Transverse Bearing Characteristics of the Pile Foundation in a Calcareous Sand Area. Materials 2022, 15, 6176. [Google Scholar] [CrossRef] [PubMed]
- Chen, X.; Shen, J.; Wang, X.; Yao, T.; Xu, D. Effect of Saturation on Shear Behavior and Particle Breakage of Coral Sand. Mar. Sci. Eng. 2022, 10, 1280. [Google Scholar] [CrossRef]
- Wang, X.; Zhu, C.-Q.; Wang, X.-Z.; Qin, Y. Study of dilatancy behaviors of calcareous soils in a triaxial test. Mar. Georesources Geotechnol. 2019, 37, 1057–1070. [Google Scholar] [CrossRef]
- Wei, H.; Liu, H.; Li, X.; Tao, Z.; Wu, Y.; Shen, J.; Yin, M. Effect of stress path on the mechanical properties of calcareous sand. Undergr. Space 2023, 9, 20–30. [Google Scholar] [CrossRef]
- Wu, Y.; Li, N.; Wang, X.; Cui, J.; Chen, Y.; Wu, Y.; Yamamoto, H. Experimental investigation on mechanical behavior and particle crushing of calcareous sand retrieved from South China Sea. Eng. Geol. 2021, 280, 105932. [Google Scholar] [CrossRef]
- Chen, Q.; Yu, R.; Li, Y.; Tao, G.; Nimbalkar, S. Cyclic stress-strain characteristics of calcareous sand improved by polyurethane foam adhesive. Transp. Geotech. 2021, 31, 100640. [Google Scholar] [CrossRef]
- Ding, Z.; He, S.-H.; Sun, Y.; Xia, T.-D.; Zhang, Q.-F. Comparative study on cyclic behavior of marine calcareous sand and terrigenous siliceous sand for transportation infrastructure applications. Constr. Build. Mater. 2021, 283, 122740. [Google Scholar] [CrossRef]
- Ata, A.; Salem, T.N.; Hassan, R. Geotechnical characterization of the calcareous sand in northern coast of Egypt. Ain Shams Eng. J. 2018, 9, 3381–3390. [Google Scholar] [CrossRef]
- Zhang, H.; He, B.; Zhu, X.; Wang, Q.; Jiang, Z. The use of AE technique for identifying ductility degradation against cryogenic on flexural performance of UHPC at various temperature conditions. Cem. Concr. Compos. 2023, 137, 104904. [Google Scholar] [CrossRef]
- Zhang, H. Deterioration of ambient-cured and heat-cured fly ash geopolymer concrete by high temperature exposure and prediction of its residual compressive strength. Constr. Build. Mater. 2020, 262, 120924. [Google Scholar] [CrossRef]
- Ghiasi, V.; Koushki, M. Numerical and artificial neural network analyses of ground surface settlement of tunnel in saturated soil. SN Appl. Sci. 2020, 2, 939. [Google Scholar] [CrossRef]
- Fahey, M. The Response of Calcareous Soil in Static and Cyclic Triaxial Test; CRC Press: London, UK, 1988; Volume 1, p. 344. [Google Scholar]
- Lin, M.A. Experimental study of shear characteristics of calcareous gravelly soil. Rock Soil Mech. 2016, 37, 309–316. [Google Scholar]
- Jinge, L.I.; Kuang, H. Direct Shear Mechanical Characteristics of the Calcareous Coral Sand. Soil Eng. Found. 2017, 31, 226. [Google Scholar]
- Wen-Dong, J.I.; Zhang, Y.T.; Wang, Y.; Pei, W.B. Comparative study of shear performance between coral sand and siliceous sand in cycles simple shear test. Rock Soil Mech. 2018, 39, 282–288. [Google Scholar]
- Wang, L.; Xiao-Bing, L.U.; Wang, S.Y.; Zhao, J.; Wang, A.L. Experimental Investigation on Cementation of Calcareous Sand and Its Basic Mechanical Characteristics. J. Exp. Mech. 2009, 24, 133–143. [Google Scholar]
- Anonymous. Pile capacity in calcareous sands: State of the art: Murff, J D J Geotech Engng Div ASCE V113, N5, May 1987, P490–507. Int. J. Rock Mech. Min. Sci. Geomech. Abstr. 1987, 24, 251. [Google Scholar]
- Hu, B. Research on the Particle Breakage Mechanical Characterictics and Constitutive Model of Calcareous Sand under Triaxial Conditions. Ph.D. Thesis, Wuhan Institute of Rock and Soil Mechanics, the Chinese Academy of Sciences, Wuhan, China, 2008. [Google Scholar]
- Mo, H. Research on the Mechanics Characteristics of Calcareous Sand-Limestone Mixture. Master’s Thesis, Southeast University, Nanjing, China, 2015. [Google Scholar]
- Li, N. Study on the Static Properties and Particle Breakage Characteristics of the Hydraulic Filling Calcareous Sand in South China Sea. Master’s Thesis, Guangzhou University, Guangzhou, China, 2020. [Google Scholar]
- Sun, J.; Ren, W. Study on coupling deformation mechanism and constitutive relation for calcareous sand. Chin. J. Rock Mech. Eng. 2002, 21, 1263–1266. [Google Scholar]
- Wang, G.; Guo, Y.Q.; Zha, J.J. Experimental study on mechanical behavior and particle crushing of coral sand-gravel fill. Chin. J. Geotech. Eng. 2018, 40, 802–810. [Google Scholar]
- Wen, Y. Research on the Strength and Influence Mechanism of Calcareous Soil. Master’s Thesis, Guangxi University, Nanning, China, 2017. [Google Scholar]
- Fang, X.W.; Shen, C.N.; Chu, J.; Shi-Fan, W.U.; Yi-Shan, L.I. An experimental study of coral sand enhanced through microbially-induced precipitation of calcium carbonate. Rock Soil Mech. 2015, 36, 2773–2779. [Google Scholar]
- Hao, D.; Yue, C.; Chen, R.; Ren, J.; Chen, F. Shear characteristics and stress-dilation relation of medium sand under normal to high pressures. Chin. J. Geotech. Eng. 2020, 42, 765–772. [Google Scholar]
- Xiang, Y. Experimental Investigation on Shear Behavior of Coral Reef Calcareous Sand in Triaxial Tests. Master’s Thesis, Zhejiang University of Technology, Hangzhou, China, 2010. [Google Scholar]
- He, S.H.; Zhi, D.; Sun, Y.; Goudarzy, M.; Chen, W.Y. Stress-dilatancy behavior of dense marine calcareous sand under high-cycle loading: An experimental investigation. Ocean Eng. 2022, 244, 110437. [Google Scholar] [CrossRef]
- Zhou, Y.; Liu, X.Y.; Shi-Hai, L.I. Pile foundation engineering in calcareous soils. Port Waterw. Eng. 2013. [Google Scholar]
- Duncan, J.M.; Chang, C.Y. Nonlinear Analysis of Stress and Strain in Soils. J. Soil Mech. Found. Div. ASCE 1970, 96, 1629–1653. [Google Scholar] [CrossRef]
- Huang, X. Study on Size Effect of Coral Gravel Triaxial Test. Master’s Thesis, Guilin University of Technology, Guilin, China, 2021. [Google Scholar]
- Roscoe, K.H. On yielding of soils. Geotechnique 1958, 8, 22–53. [Google Scholar] [CrossRef]
- Zhu, Z.; Cheng, W. Parameter evaluation of exponential-form critical state line of a state-dependent sand constitutive model. Appl. Sci. 2020, 10, 328. [Google Scholar] [CrossRef]
- Liu, J.; Yao, Z.; Weng, X.; Li, W.; Wang, W. Particles breaking regularity and strength characteristics of coral sand under triaxial shear conditions. Chin. J. Undergr. Space Eng. 2021, 17, 1463–1471. [Google Scholar]
- Wang, Y.; Xie, L.; Wang, X.; Zhou, X. Effect of saturation methods on the mechanical properties of coral sands. Soil Eng. Found. 2021, 35, 228–233. [Google Scholar]
















| Test No. | Relative Density/% | Confining Pressure/kPa | Peak Deviatoric Stress/kPa | Failure Strain/% |
|---|---|---|---|---|
| CD70-100-1 | 70 | 100 | 529.85 | 8.49 |
| CD70-100-2 | 100 | 551.00 | 9.28 | |
| CD70-200-1 | 200 | 925.30 | 12.48 | |
| CD70-200-2 | 200 | 971.59 | 11.49 | |
| CD70-400-1 | 400 | 1771.36 | 11.97 | |
| CD70-400-1 | 400 | 1750.66 | 14.47 | |
| CD70-800-1 | 800 | 2565.01 | 15.02 | |
| CD70-800-1 | 800 | 2646.86 | 15.80 | |
| CD90-100-1 | 90 | 100 | 700.05 | 8.25 |
| CD90-100-2 | 100 | 630.61 | 8.50 | |
| CD90-200-1 | 200 | 1131.95 | 10.50 | |
| CD90-200-2 | 200 | 1066.29 | 10.00 | |
| CD90-400-1 | 400 | 1824.56 | 12.08 | |
| CD90-400-1 | 400 | 1766.40 | 12.75 | |
| CD90-800-1 | 800 | 2697.40 | 12.50 | |
| CD90-800-1 | 800 | 2888.47 | 13.50 |
| Test No. | Test No. | ||
|---|---|---|---|
| 70-100kPa-1 | 64.75 | 90-100kPa-1 | 105.37 |
| 70-100kPa-2 | 70.18 | 90-100kPa-2 | 113.46 |
| 70-200kPa-1 | 82.89 | 90-200kPa-1 | 136.39 |
| 70-200kPa-2 | 109.89 | 90-200kPa-2 | 200.32 |
| 70-400kPa-1 | 149.65 | 90-400kPa-1 | 186.71 |
| 70-400kPa-2 | 198.25 | 90-400kPa-2 | 206.78 |
| 70-800kPa-1 | 205.68 | 90-800kPa-1 | 278.71 |
| 70-800kPa-2 | 214.87 | 90-800kPa-2 | 293.60 |
Disclaimer/Publisher’s Note: The statements, opinions and data contained in all publications are solely those of the individual author(s) and contributor(s) and not of MDPI and/or the editor(s). MDPI and/or the editor(s) disclaim responsibility for any injury to people or property resulting from any ideas, methods, instructions or products referred to in the content. |
© 2023 by the authors. Licensee MDPI, Basel, Switzerland. This article is an open access article distributed under the terms and conditions of the Creative Commons Attribution (CC BY) license (https://creativecommons.org/licenses/by/4.0/).
Share and Cite
Zhang, H.; Ren, H.; Mu, C.; Wu, X.; Huang, K.; Wang, F. Experiment Study on the Influence of Density and Confining Pressure on Triaxial Shear Properties of Calcareous Sand. Materials 2023, 16, 1683. https://doi.org/10.3390/ma16041683
Zhang H, Ren H, Mu C, Wu X, Huang K, Wang F. Experiment Study on the Influence of Density and Confining Pressure on Triaxial Shear Properties of Calcareous Sand. Materials. 2023; 16(4):1683. https://doi.org/10.3390/ma16041683
Chicago/Turabian StyleZhang, Hui, Huiqi Ren, Chaomin Mu, Xiangyun Wu, Kui Huang, and Fei Wang. 2023. "Experiment Study on the Influence of Density and Confining Pressure on Triaxial Shear Properties of Calcareous Sand" Materials 16, no. 4: 1683. https://doi.org/10.3390/ma16041683
APA StyleZhang, H., Ren, H., Mu, C., Wu, X., Huang, K., & Wang, F. (2023). Experiment Study on the Influence of Density and Confining Pressure on Triaxial Shear Properties of Calcareous Sand. Materials, 16(4), 1683. https://doi.org/10.3390/ma16041683

