Finite Element Modeling and Vibration Control of Plates with Active Constrained Layer Damping Treatment
Abstract
1. Introduction
2. Finite Element Dynamic Model
2.1. Geometric Deformation Relationship between Layers of ACLD Structure
2.2. Shape Function of ACLD Structure
2.3. ACLD Structural Dynamics Equation
3. Model Reduction
3.1. High Precision Dynamic Condensation Method
3.2. Balanced Order Reduction Method
4. Finite Element Model Verification
4.1. Finite Element Model Element Convergence Test
4.2. Model Validation before Order Reduction
4.3. Model Verification after Order Reduction
5. Vibration Control and Parameter Optimization of ACLD Thin Plates
5.1. LQR Control
5.2. Vibration Control of ACLD Thin Plates
5.3. Parameter Optimization of LQR Controller
5.4. Piezoelectric Plate Parameter Optimization
6. Conclusions
- (1)
- The finite element model established in this paper is accurate and feasible under different boundary conditions. The introduction of the GHM damping model and base proportional damping further improves the accuracy of the structural dynamic model.
- (2)
- The GHM model introduces a large number of dissipative degrees of freedom, and the dimension of the finite element model is relatively large. The mathematical model obtained through the joint reduction method has a low degree of freedom and good controllability and observability. Whether in the time domain or frequency domain, the dynamic characteristics of the reduced model are unchanged. It can be directly used in system controller design.
- (3)
- According to the simulation analysis, the reduced model can effectively suppress the vibration by using LQR control under different boundary conditions and different excitations. The Q and R weighting matrices will affect the control effect of the system. From the performance and cost balance, the optimal Q-matrix coefficient is found to be 1 × 104 to 1 × 105, and the R-matrix coefficient is between 10 and 1.
- (4)
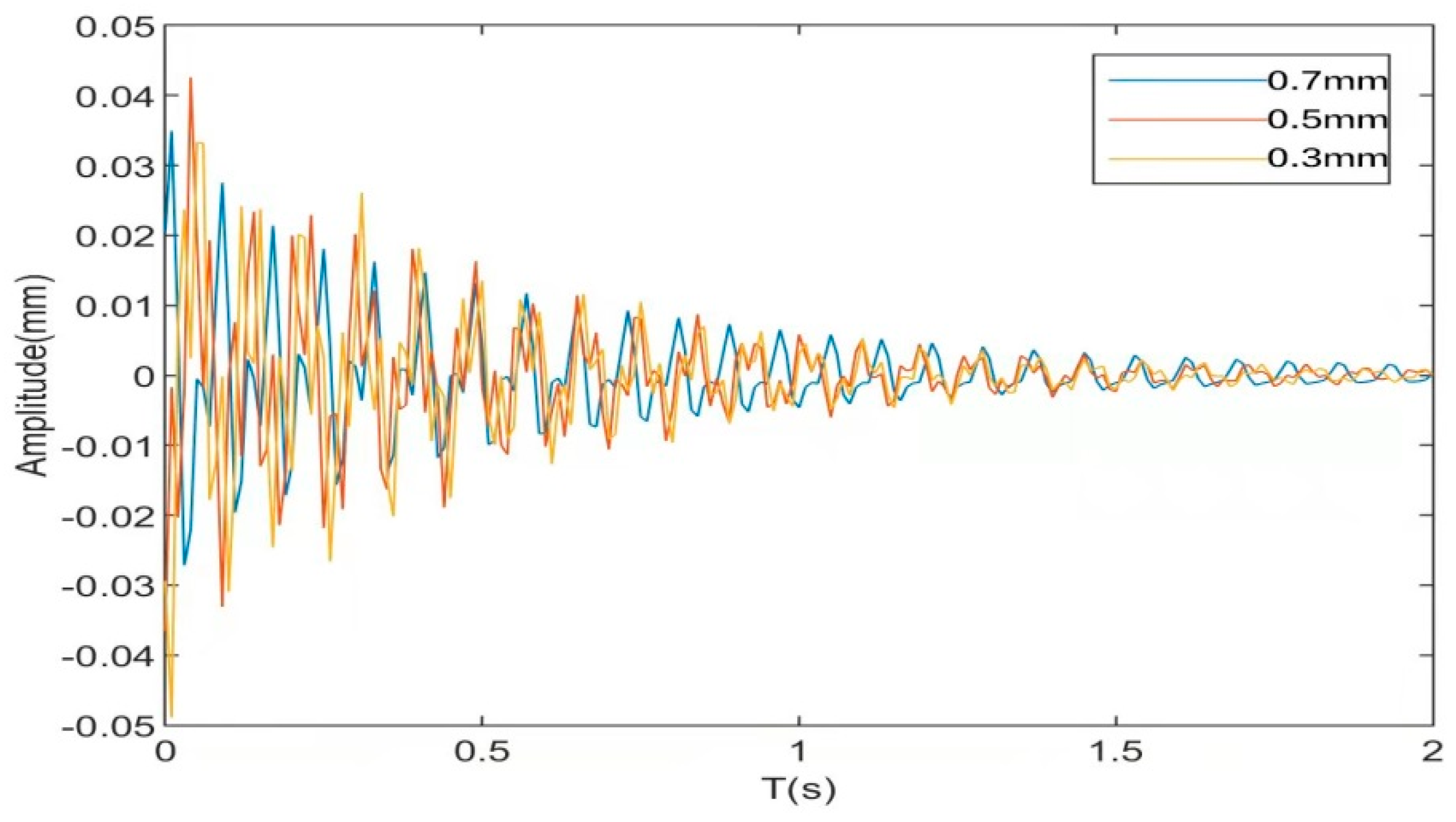
- When the voltage is not applied, the structure is controlled passively. Increasing the thickness of the piezoelectric sheet can effectively suppress the vibration in the high-frequency region, while the vibration in the low-frequency region is not significantly suppressed. When the driving voltage is applied and the thickness of the piezoelectric chip increases, the control effect of the system can be improved, but it is not obvious. On the contrary, the voltage cost increases significantly. Therefore, considering the control effect and cost balance, the most suitable thickness of the piezoelectric sheet for this system is 0.5 mm.
Author Contributions
Funding
Institutional Review Board Statement
Informed Consent Statement
Data Availability Statement
Conflicts of Interest
Appendix A
References
- Zhu, R.; Zhang, X.; Zhang, S.; Dai, Q.; Qin, Z.; Chu, F. Modeling and topology optimization of cylindrical shells with partial CLD treatment. Int. J. Mech. Sci. 2022, 220, 107145. [Google Scholar] [CrossRef]
- Ye, M.; Long, Y.; Sui, Y.; Liu, Y.; Li, Q. Active Control and Validation of the Electric Vehicle Powertrain System Using the Vehicle Cluster Environment. Energies 2019, 12, 3642. [Google Scholar] [CrossRef]
- Huang, Z.; Qin, Z.; Chu, F. Vibration and damping characteristics of sandwich plates with viscoelastic core. J. Vib. Control. 2014, 22, 1876–1888. [Google Scholar] [CrossRef]
- Ahmed, G.M.F.; Khan, S.A. Role of Active Control in Increasing Base Pressure at Sonic Mach Number. Int. J. Recent Technol. Eng. IJRTE 2019, 8, 966–970. [Google Scholar]
- Ma, X.; Chen, K.; Xu, J. Active Control of Sound Transmission through Orthogonally Rib Stiffened Double-Panel Structure: Mechanism Analysis. Appl. Sci. 2019, 9, 3286. [Google Scholar] [CrossRef]
- Kumar, A.; Behera, R.K. Passive Constrained Layer Damping: A State of the Art Review. IOP Conf. Ser. Mater. Sci. Eng. 2019, 653, 012036. [Google Scholar] [CrossRef]
- Huang, Z.; Wang, X.; Wu, N.; Chu, F.; Luo, J. The Finite Element Modeling and Experimental Study of Sandwich Plates with Frequency-Dependent Visco-elastic Material Model. Materials 2020, 13, 2296. [Google Scholar] [CrossRef]
- Huang, Z.; Qin, Z.; Chu, F. A compression shear mixed finite element model for vibration and damping analysis of viscoelastic sandwich structures. J. Sandw. Struct. Mater. 2017, 21, 1775–1798. [Google Scholar] [CrossRef]
- Zhang, L.; Zhang, F.; Qin, Z.; Han, Q.; Wang, T.; Chu, F. Piezoelectric energy harvester for rolling bearings with capability of self-powered condition monitoring. Energy 2021, 238, 121770. [Google Scholar] [CrossRef]
- Poudel, Y.; Lim, G.N.; Moazzezi, M.; Hennighausen, Z.; Rostovtsev, Y.; D’Souza, F.; Neogi, A. Active Control of Coherent Dynamics in Hybrid Plasmonic MoS2 Monolayers with Dressed Phonons. ACS Photonics 2019, 6, 1645–1655. [Google Scholar] [CrossRef]
- Kwak, S.-K.; Washington, G.; Yedavalli, R.K. Acceleration Feedback-Based Active and Passive Vibration Control of Landing Gear Components. J. Aerosp. Eng. 2002, 15, 1–9. [Google Scholar] [CrossRef]
- Fharukh Ahmed, G.M.; Khan, S.A. Active Control of Base Pressure using Micro Jets for Area Ratio of 7.56. Int. J. Innov. Technol. Explor. Eng. IJITEE 2019, 8, 491–495. [Google Scholar]
- Wang, J. Active control for vibration distribution with performance specification and constraints. Mech. Syst. Signal Process. 2019, 131, 112–125. [Google Scholar] [CrossRef]
- Ali, E.H.; De La Peña Herrero, C.; Martin, B. Optimization of passive constrained layer damping (PCLD) treatments for vibration reduction. J. Vibroengineering 2015, 17, 3035–3045. [Google Scholar]
- Baz, A. Boundary Control of Beams Using Active Constrained Layer Damping. J. Vib. Acoust. 1997, 119, 166–172. [Google Scholar] [CrossRef]
- Cao, X.; Tanner, G.; Chronopoulos, D. Active vibration control of thin constrained composite damping plates with double piezoelectric layers. Wave Motion 2019, 92, 102423. [Google Scholar] [CrossRef]
- Wang, X.; Song, L.; Xia, P. Active control of adaptive thin-walled beams incorporating bending-extension elastic coupling via piezo-electrically induced transverse shear. Thin-Walled Struct. 2020, 146, 166–178. [Google Scholar] [CrossRef]
- Huang, Z.; Huang, F.; Wang, X.; Chu, F. Active Vibration Control of Composite Cantilever Beams. Materials 2022, 16, 95. [Google Scholar] [CrossRef]
- Givois, A.; Deü, J.-F.; Thomas, O. Dynamics of piezoelectric structures with geometric nonlinearities: A non-intrusive reduced order modelling strategy. Comput. Struct. 2021, 253, 106575. [Google Scholar] [CrossRef]
- Senthil, V.G.; Vasundara, V.V.; Vijay, K.V. Rayleigh-Ritz/boundary element modeling approach for active/passive control. SPIE 2002, 4693, 37–44. [Google Scholar]
- Cao, Y.Q.; Deng, Z.X.; Wang, P. A Mechanics Model and Active Control for Smart Constrained Layer Damping Structure. Appl. Mech. Mater. 2012, 184, 767–773. [Google Scholar]
- Liew, K.M.; Lim, H.K.; Tan, M.-J.; He, Q.X. Analysis of laminated composite beams and plates with piezoelectric patches using the element-free Galerkin method. Comput. Mech. 2002, 29, 486–497. [Google Scholar] [CrossRef]
- Lu, P.; Wang, P.; Lu, J. Decentralized vibration control of smart constrained layer damping plate. J. Vib. Control. 2020, 27, 529–542. [Google Scholar] [CrossRef]
- Vinayak, K.; Subhaschandra, K. Effect of temperature on the performance of active constrained layer damping of skew sandwich plate with CNT reinforced composite core. Mech. Adv. Mater. Struct. 2022, 29, 5423–5442. [Google Scholar]
- Soheilifard, R. A hierarchical non-iterative extension of the Guyan condensation method for damped structures. J. Sound Vib. 2015, 344, 434–446. [Google Scholar] [CrossRef]
- Yang, C.; Xia, Y. Optimal sensor placement based on dynamic condensation using multi-objective optimization algorithm. Struct. Multidiscip. Optim. 2022, 65, 210. [Google Scholar] [CrossRef]
- Li, M.; Sun, W.; Liu, Y.; Ma, H. Influence analysis of control signal phase on the vibration reduction effect of active constrained layer damping. Appl. Acoust. 2022, 190, 108658. [Google Scholar] [CrossRef]
- Ray, M.C.; Chen, T.-H.; Baz, A.M. Vibration control of cylindrical shells using active constrained layer damping. In Proceedings of the Smart Structures and Materials ‘97, San Diego, CA, USA, 3–6 March 1997; Volume 3045, pp. 293–314. [Google Scholar] [CrossRef]
- Huang, Z.; Mao, Y.; Dai, A.; Han, M.; Wang, X.; Chu, F. Active Vibration Control of Piezoelectric Sandwich Plates. Materials 2022, 15, 3907. [Google Scholar] [CrossRef]
- Li, W.; Yang, Z.; Li, K.; Wang, W. Hybrid feedback PID-FxLMS algorithm for active vibration control of cantilever beam with piezoelectric stack actuator. J. Sound Vib. 2021, 509, 116243. [Google Scholar] [CrossRef]
- Lu, J.; Wang, P.; Zhan, Z. Active vibration control of thin-plate structures with partial SCLD treatment. Mech. Syst. Signal Process. 2016, 84, 531–550. [Google Scholar] [CrossRef]
- Zheng, L.; Zhang, D.; Wang, Y. Vibration and damping characteristics of cylindrical shells with active constrained layer damping treatments. Smart Mater. Struct. 2011, 20, 025008. [Google Scholar] [CrossRef]
- Zhang, D.D. Research on Multi-Objective Optimization and Adaptive Control of Damping Structures with Active Restraint Layer. Ph.D. Thesis, Chongqing University, Chongqing, China, 2011. [Google Scholar]
- Liu, T.; Hua, H.; Zhang, Z. Robust control of plate vibration via active constrained layer damping. Thin-Walled Struct. 2003, 42, 427–448. [Google Scholar] [CrossRef]
- Liao, W.-H.; Wang, K.-W. Analysis and design of viscoelastic materials for active constrained layer damping treatments. SPIE 1996, 2720, 212–223. [Google Scholar] [CrossRef]
- Lam, M.J.; Inman, D.J.; Saunders, W.R. Vibration Control through Passive Constrained Layer Damping and Active Control. J. Intell. Mater. Syst. Struct. 1997, 8, 663–677. [Google Scholar] [CrossRef]
- Baz, A. Dynamic Boundary Control of Beams Using Active Constrained Layer Damping. Mech. Syst. Signal Process. 1997, 11, 811–825. [Google Scholar] [CrossRef]
- Li, L.; Qiu, T.; Jia, T.; Chen, C. Stepping quantum genetic algorithm-based LQR control strategy for lateral vibration of high-speed elevator. Auto 2022, 70, 623–634. [Google Scholar] [CrossRef]
- Nguyen, D.N.; Nguyen, T.A.; Dang, N.D.; Tran, T.T.H.; Hoang, T.B. LQR Control with the New Triple In-Loops Algorithm for Optimization of the Tuning Parameters. Math. Model. Eng. Probl. 2022, 9, 628–636. [Google Scholar] [CrossRef]
- Kaleemullah, M.; Faris, W.F. Optimisation of robust and LQR control parameters for discrete car model using genetic algorithm. Int. J. Veh. Syst. Model. Test. 2022, 16, 40–63. [Google Scholar] [CrossRef]
- Muchammad, H.; Yoto, M.; Paryono. Model of Integrated of Car Brake-Active Suspension of Quarter Car Model By Using LQR Control Under Periodic Road Excitation. IOP Conf. Ser. Mater. Sci. Eng. 2021, 1152, 012023. [Google Scholar]
- Katebi, J.; Shoaei-parchin, M.; Shariati, M.; Trung, N.T.; Khorami, M. Developed comparative analysis of metaheuristic optimization algorithms for optimal active control of structures. Eng. Comput. 2019, 36, 1539–1558. [Google Scholar] [CrossRef]
- Ly, K.D.; Nguyen-Thoi, T.; Truong, T.T.; Nguyen, S.N. Multi-objective optimization of the active constrained layer damping for smart damping treatment in magneto-electro-elastic plate structures. Int. J. Mech. Mater. Des. 2022, 18, 633–663. [Google Scholar] [CrossRef]



















| CFFF | CFCF | CCCC | |||||||||
|---|---|---|---|---|---|---|---|---|---|---|---|
| Mode | Matlab | Ansys | [33] | Test | Matlab | Ansys | Test | Matlab | Ansys | Test | Error |
| 1 | 16.581 | 16.5635 | 16.446 | 16.312 | 107.49 | 107.4372 | 106.571 | 478.21 | 476.41 | 474.02 | 0.5% |
| 2 | 71.386 | 71.1448 | 70.778 | 70.753 | 174.3 | 173.4320 | 171.242 | 618.27 | 616.26 | 613.61 | 1.2% |
| 3 | 104.26 | 103.620 | 102.54 | 101.52 | 302.8 | 298.7831 | 298.721 | 872.39 | 868.53 | 863.46 | 2.0% |
| 4 | 233.96 | 231.926 | 230.41 | 228.25 | 405.97 | 392.9264 | 398.414 | 1243.1 | 1234.6 | 1222.7 | 2.8% |
| CFFF | CFCF | ||||||
|---|---|---|---|---|---|---|---|
| Mode | Matlab | Ansys | [33] | Error | Matlab | Ansys | Error |
| 1 | 16.121 | 16.021 | 16.754 | 0.67% | 96.7274 | 96.3502 | 0.39% |
| 2 | 69.212 | 68.232 | 70.729 | 1.46% | 151.384 | 149.251 | 1.31% |
| 3 | 100.11 | 97.411 | 98.940 | 2.41% | 270.813 | 263.691 | 2.63% |
| 4 | 221.25 | 213.35 | 230.41 | 3.58% | 350.51 | 336.14 | 4.11% |
| Mode Order | Full Model | Dynamic Condensation | State-Space | Maximum Error |
|---|---|---|---|---|
| 1 | 11.3050 | 11.2687 | 11.2591 | 0.1% |
| 2 | 47.5475 | 47.4804 | 46.8541 | 1.3% |
| 3 | 68.3629 | 68.4804 | 67.1951 | 1.6% |
| 4 | 151.0806 | 150.0142 | 148.1251 | 1.9% |
| Size (WC) | Rank (WC) | Size (WO) | Rank (WO) | |
|---|---|---|---|---|
| Full model | 210 | 66 | 210 | 71 |
| Dynamic condensation | 120 | 58 | 120 | 63 |
| State-space | 6 | 6 | 6 | 6 |
| Q-matrix coefficient | 1 × 102 | 1 × 103 | 1 × 104 | 1 × 105 |
| Maximum amplitude | 0.855 mm | 0.812 mm | 0.721 mm | 0.391 mm |
| Convergence time | 5.34 s | 4.42 s | 2.51 s | 0.31 s |
| Q-matrix coefficient | 1 × 102 | 1 × 103 | 1 × 104 | 1 × 105 |
| Amplitude RMS value | 0.842 mm | 0.809 mm | 0.701 mm | 0.328 mm |
Disclaimer/Publisher’s Note: The statements, opinions and data contained in all publications are solely those of the individual author(s) and contributor(s) and not of MDPI and/or the editor(s). MDPI and/or the editor(s) disclaim responsibility for any injury to people or property resulting from any ideas, methods, instructions or products referred to in the content. |
© 2023 by the authors. Licensee MDPI, Basel, Switzerland. This article is an open access article distributed under the terms and conditions of the Creative Commons Attribution (CC BY) license (https://creativecommons.org/licenses/by/4.0/).
Share and Cite
Huang, Z.; Peng, H.; Wang, X.; Chu, F. Finite Element Modeling and Vibration Control of Plates with Active Constrained Layer Damping Treatment. Materials 2023, 16, 1652. https://doi.org/10.3390/ma16041652
Huang Z, Peng H, Wang X, Chu F. Finite Element Modeling and Vibration Control of Plates with Active Constrained Layer Damping Treatment. Materials. 2023; 16(4):1652. https://doi.org/10.3390/ma16041652
Chicago/Turabian StyleHuang, Zhicheng, Huanyou Peng, Xingguo Wang, and Fulei Chu. 2023. "Finite Element Modeling and Vibration Control of Plates with Active Constrained Layer Damping Treatment" Materials 16, no. 4: 1652. https://doi.org/10.3390/ma16041652
APA StyleHuang, Z., Peng, H., Wang, X., & Chu, F. (2023). Finite Element Modeling and Vibration Control of Plates with Active Constrained Layer Damping Treatment. Materials, 16(4), 1652. https://doi.org/10.3390/ma16041652

