Next Article in Journal
Feasibility Study of Reclaimed Asphalt Pavements (RAP) as Recycled Aggregates Used in Rigid Pavement Construction
Next Article in Special Issue
Effect of the Deposit Temperature of ZnO Doped with Ni by HFCVD
Previous Article in Journal
Differences in In Vitro Bacterial Adherence between Ti6Al4V and CoCrMo Alloys
Previous Article in Special Issue
Dielectric and Spin-Glass Magnetic Properties of the A-Site Columnar-Ordered Quadruple Perovskite Sm2CuMn(MnTi3)O12
 
 
Font Type:
Arial Georgia Verdana
Font Size:
Aa Aa Aa
Line Spacing:
Column Width:
Background:
Article

Ferrimagnetic Ordering and Spin-Glass State in Diluted GdFeO3-Type Perovskites (Lu0.5Mn0.5)(Mn1−xTix)O3 with x = 0.25, 0.50, and 0.75

1
International Center for Materials Nanoarchitectonics (WPI-MANA), National Institute for Materials Science (NIMS), Namiki 1-1, Tsukuba 305-0044, Ibaraki, Japan
2
Graduate School of Chemical Sciences and Engineering, Hokkaido University, North 10 West 8, Kita-ku, Sapporo 060-0810, Hokkaido, Japan
3
Institute of Scientific and Industrial Research, Osaka University, Mihogaoka 8-1, Ibaraki, Osaka 567-0047, Japan
4
National Institute for Materials Science (NIMS), Sengen 1-2-1, Tsukuba 305-0047, Ibaraki, Japan
*
Author to whom correspondence should be addressed.
Materials 2023, 16(4), 1506; https://doi.org/10.3390/ma16041506
Submission received: 17 January 2023 / Revised: 7 February 2023 / Accepted: 9 February 2023 / Published: 10 February 2023
(This article belongs to the Special Issue Synthesis, Structure and Properties of Metal Oxides)

Abstract

:
ABO3 perovskite materials with small cations at the A site, especially those with ordered cation arrangements, have attracted a great deal of interest because they show unusual physical properties and deviations from the general characteristics of perovskites. In this work, perovskite solid solutions (Lu0.5Mn0.5)(Mn1−xTix)O3 with x = 0.25, 0.50, and 0.75 were synthesized by means of a high-pressure, high-temperature method at approximately 6 GPa and approximately 1550 K. All the samples crystallize in the GdFeO3-type perovskite structure (space group Pnma) and have random distributions of the small Lu3+ and Mn2+ cations at the A site and Mn4+/3+/2+ and Ti4+ cations at the B site, as determined by Rietveld analysis of high-quality synchrotron X-ray powder diffraction data. Lattice parameters are a = 5.4431 Å, b = 7.4358 Å, c = 5.1872 Å (for x = 0.25); a = 5.4872 Å, b = 7.4863 Å, c = 5.2027 Å (for x = 0.50); and a = 5.4772 Å, b = 7.6027 Å, c = 5.2340 Å (for x = 0.75). Despite a significant dilution of the A and B sublattices by non-magnetic Ti4+ cations, the x = 0.25 and 0.50 samples show long-range ferrimagnetic order below TC = 89 K and 36 K, respectively. Mn cations at both A and B sublattices are involved in the long-range magnetic order. The x = 0.75 sample shows a spin-glass transition at TSG = 6 K and a large frustration index of approximately 22. A temperature-independent dielectric constant was observed for x = 0.50 (approximately 32 between 5 and 150 K) and for x = 0.75 (approximately 50 between 5 and 250 K).

Graphical Abstract

1. Introduction

ABO3 perovskite materials usually have relatively large cations at the A site [1] with one of the smallest typical cations being Lu3+ with ionic radius rXIII(Lu3+) = 0.977 Å [2]. Perovskites containing smaller cations at the A site are sometimes called “exotic” [3,4,5,6], and they usually require a high-pressure, high-temperature method for their synthesis. Such exotic perovskites include InBO3 (with rXIII(In3+) = 0.92 Å [2]), ScBO3 (with rXIII(Sc3+) = 0.870 Å [2]) and MnBO3 (with rXIII(Mn2+) = 0.96 Å [2]). They show unusual physical properties and deviations from general perovskite tendencies [3]. The reasons for this are the magnetism of 3d5 cations (Mn) at the A sites and large structural distortions/tilts of the BO6 octahedral framework caused by small cations at the A sites (for A = In, Sc and Mn). For example, RCrO3 compounds with rare-earth elements R = La-Lu adopt G-type antiferromagnetic (AFM) structures, while InCrO3 and ScCrO3 already have C-type AFM structures [4,7]. Some MnBO3 compounds exhibit complex incommensurate magnetic structures at the A sites and other interesting physical properties [8].
(R3+1−yMn2+y)BO3 solid-solution perovskites can also move into the “exotic” region when the average ionic radius at the A site becomes smaller than that of Lu3+. The introduction of 3d5 cations (Mn2+) into the A sites can significantly modify the physical properties of (R1−yMny)MnO3 solid solutions [9,10,11,12,13] and cause them to differ from their parent RMnO3 compounds. For example, a small percentage of Mn2+ at the A site of (Tm1−yMny)MnO3 [11] stimulates the long-range magnetic ordering of all A-site Tm3+ and Mn2+ cations at a higher temperature than Tm3+ in TmMnO3 [14], promotes ferrimagnetic structures (instead of AFM ones), and results in a negative magnetization phenomenon based on the Néel model for N-type ferrimagnets [15]. The range of the chemical composition of (R1−yMny)MnO3 solid solutions shrinks with the increase in the size of R3+ cations [9,10,11,12,13], and the (R1−yMny)MnO3 solid solutions are formed for 0 ≤ y ≤ 0.4 [10] for the smallest R3+ cation R = Lu.
We found that the compositional range of (R1−yMny)MnO3 solid solutions can be extended to beyond y = 0.4 through an additional doping at the B sites in “double” solid solutions (R1−yMny)(Mn1−xTix)O3 [16]. For example, the doping level can reach y ≈ 0.8 for y = x. There are several variable parameters for (R1−yMny)(Mn1−xTix)O3, such as x, y, R, and synthesis conditions. In this work, we report the synthesis, the crystal structures, and the physical properties of such “double” solid solutions with R = Lu and y = 0.5. We selected the half-doped level at the A sites (y = 0.5) in order to compare such perovskites, where R and Mn atoms are disordered in one site, with A-site columnar-ordered quadruple perovskites R2MnMn(Mn4−zTiz)O12 (the generic composition is A2A′A″B4O12 [17]), where R and Mn atoms are ordered [18,19,20], to observe the effects of cation ordering on magnetic properties. In addition, we selected a non-magnetic R3+ cation to eliminate effects of rare-earth magnetism [16]. We observed that magnetic properties were qualitatively similar for x = 0.25 and 0.50 (z = 1 and 2). On the other hand, magnetic properties were quite different for x = 0.75 (z = 3), where structural disorder at the A sites produces spin-glass magnetic states, while ordering of R and Mn atoms produces ferrimagnetic structures.

2. Experimental

The commercial chemicals Lu2O3 (99.9%) and TiO2 (99.9%) and homemade Mn2O3 (99.99%) and MnO (99.99%) in stoichiometric amounts were used in initial oxide mixtures for the preparation of solid solutions of (Lu0.5Mn0.5)(Mn1−xTix)O3 with x = 0.25, 0.50, and 0.75. The synthesis was performed using a high-pressure, high-temperature solid-state method in Au capsules. A NIMS belt-type high-pressure apparatus was used. The synthesis was performed at approximately 6 GPa and 1550 K for 2 h. After annealing at the synthesis temperature, the heating current was turned off, which resulted in rapid cooling (quenching) of the samples; thereafter, the pressure was reduced to ambient pressure over approximately 40 min.
X-ray powder diffraction (XRPD) data were measured at room temperature (RT) with a MiniFlex600 diffractometer (Rigaku, Tokyo, Japan). The measurement conditions were CuKα radiation, a 2θ range of 8–100°, a step of 0.02°, and scan speed of 1 °/min. Synchrotron XRPD data were collected at RT on the BL15XU beamline (the former NIMS beamline) of SPring-8 [21]. The measurement conditions were λ = 0.65298 Å, a 2θ range of 2.04–60.23°, a step of 0.003°, and a measurement time of 30–60 s; Lindemann glass capillary tubes with an inner diameter of 0.1 mm were used and were rotated during measurements. The Rietveld analysis was performed using the RIETAN-2000 program [22].
Energy-dispersive X-ray (EDX) spectra and scanning electron microscopy (SEM) images were obtained on a Miniscope TM3000 (Hitachi, Tokyo, Japan) working at 15 kV.
Temperature-dependent magnetic measurements were performed between 2 and 400 K in applied fields of 100 Oe and 10 kOe using MPMS-XL-7T and MPMS3 SQUID magnetometers (Quantum Design, San Diego, CA, USA) under both zero-field-cooled (ZFC) and field-cooled on cooling (FCC) conditions. The isothermal magnetic field dependence was measured at different temperatures between −70 and 70 kOe. Frequency-dependent alternating current (ac) susceptibility measurements were performed on cooling with MPMS-1T and MPMS3 instruments (Quantum Design, San Diego, CA, USA) at different frequencies (f), with different applied oscillating magnetic fields (Hac), and at zero static dc field (Hdc = 0 Oe).
A commercial PPMS calorimeter (Quantum Design, San Diego, CA, USA) utilizing a pulse relaxation method was used for specific heat (Cp) measurements, which were recorded from 300 K to 2 K at zero magnetic field and from 150 K (or 200 K) to 2 K at a magnetic field of 90 kOe. All of the magnetic and specific heat measurements were performed using pieces of pellets.
An Alpha-A High Performance Frequency Analyzer (NOVOCONTROL Technologies, Montabaur, Germany) was used to record the dielectric property measurements of the x = 0.50 and 0.75 samples. The measurements were performed in a frequency range from 100 Hz to 665 kHz, in a temperature range from 5 K to 330 K (on cooling and heating), and at zero magnetic field. A pellet of the x = 0.25 sample was too fragile to withstand polishing and the deposition of electrodes. Therefore, no dielectric measurements were performed for the x = 0.25 sample.

3. Results and Discussion

No impurities were detected in the x = 0.25 and 0.50 samples; this suggested that these were single-phase samples within the sensitivity of the diffraction methods that were used. On the other hand, the x = 0.75 sample contained approximately 4.3 weight % of Lu2Ti2O7 impurity (the weight fraction of the impurity was estimated from refined scale factors during the Rietveld analysis). In general, the appearance of impurities suggests that the compositions of main phases should shift slightly from ideal target values. Figure 1 shows the morphology (SEM images) of the obtained samples. The chemical compositions determined by EDX were close to the expected values; the Lu:Mn:Ti ratios were 1.9(2):5.1(1):1.0(1) for x = 0.25, 1.9(2):4.0(1):2.1(1) for x = 0.50, and 1.8(2):3.0(2):3.2(2) for x = 0.75. The large errors could be caused by weak X-ray intensities, which in turn could originate from the charge-up problem.
Structure parameters of (Lu1−yMny)MnO3 solid solutions [10] with space group Pnma were used as the initial models for the refinements of the crystal structures of the (Lu0.5Mn0.5)(Mn1−xTix)O3 samples with x = 0.25, 0.50, and 0.75. As in other (R1−yMny)MnO3 systems [9,10,11,12,13], a noticeable anisotropic broadening of reflections was observed in (Lu0.5Mn0.5)(Mn1−xTix)O3 (inset of Figure 2). Therefore, the introduction of anisotropic broadening corrections significantly improved the fitting results.
It is inaccurate to refine the occupation factors of Ti and Mn at the B sites, as Ti4+ and Mnn+ do not differ greatly in their number of electrons. Therefore, the occupation factors at the B sites were fixed at the nominal compositions. On the other hand, the occupation factors of Lu and Mn at the A sites could be refined because Lu3+ and Mn2+ differed significantly in their number of electrons. Using the constraint g(Lu) + g(Mn) = 1, the refined occupation factor g(Lu) was 0.494(2), 0.506(2), and 0.5318(14) for the x = 0.25, 0.50, and 0.75 samples, respectively. These values were close to the nominal values. Therefore, we used the nominal value (g(Lu) = 0.5) in the final models.
The refined structural parameters and primary bond lengths and angles in (Lu0.5Mn0.5)(Mn1−xTix)O3 are summarized in Table 1 and Table 2. Experimental, calculated, and difference synchrotron XRPD patterns are shown in Figure 2 for the x = 0.50 sample as an example, where the inset illustrates the absence of any detectable reflections of impurities. Figure 3a shows the crystal structure plotted using the VESTA program [23].
The bond valence sum (BVS) values of Lu3+ and Mn2+ cations [24] at the A sites were close to the expected values of +3 and +2, respectively (Table 2). The BVS values at the B sites, calculated using the average R0 parameters [24], were very close to the expected value of +3.5.
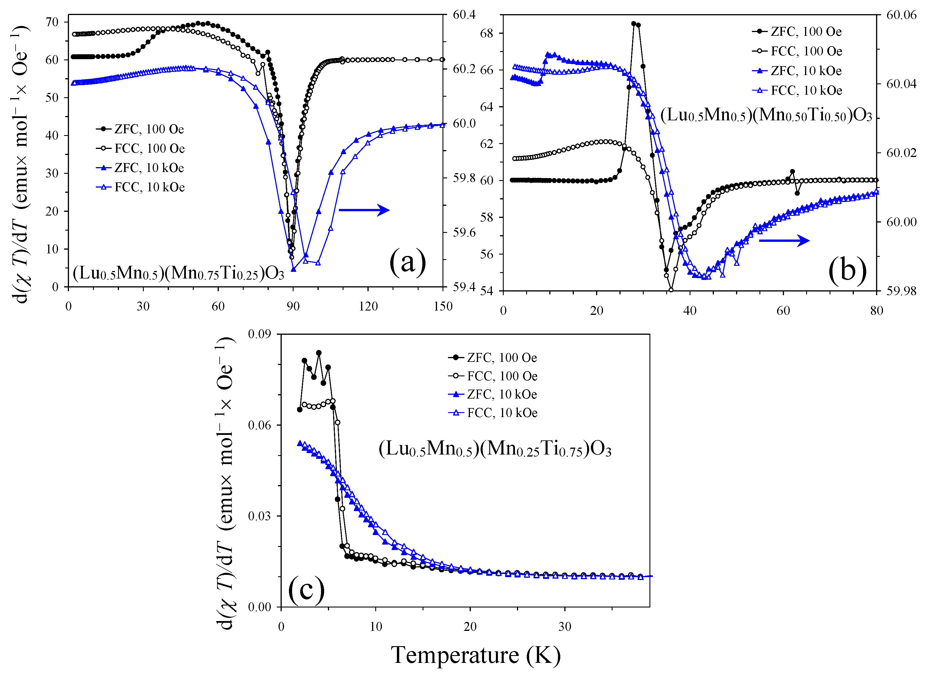
The magnetic transition temperatures of the three compounds were determined from the peak positions of the differential d(χT)/dT versus T curves measured at a small magnetic field of 100 Oe (Figure 4) as TC = 89 K (x = 0.25), TC = 36 K (x = 0.50), and TSG = 6 K (x = 0.75). TC is a ferrimagnetic Curie temperature and TSG a spin-glass (SG) temperature. Figure 4 also shows that the magnetic transition temperatures were shifted to higher temperatures (in x = 0.25 and 0.50) with the increase in a magnetic field. The magnetic susceptibility curves χ versus T of the x = 0.25 and 0.50 samples were qualitatively similar to each other (Figure 5). The ZFC χ versus T curves measured at a small magnetic field of 100 Oe showed broad peaks when approaching TC. The FCC χ versus T curves (at 100 Oe) showed a sharp increase in susceptibilities below TC down to 50 K (x = 0.25) and 26 K (x = 0.50), and then a decrease down to 2 K. The ZFC and FCC χ versus T curves (at 100 Oe) showed a clear and strong divergence below approximately TC. Both ZFC and FCC χ versus T curves were strongly suppressed when measured at 10 kOe in comparison with the 100 Oe field. Isothermal magnetization, M versus H, curves of the x = 0.25 and 0.50 samples (Figure 6) showed well-defined hysteresis below TC. Clear jumps of magnetization (on M versus H curves, at for example T = 5 K) near zero field in the x = 0.25 sample originate from domain structure changes. M versus H curves of the x = 0.25 sample at different temperatures (Figure 6c) clearly showed that the maximum magnetization is realized near 60 K even at high magnetic fields. The inverse magnetic susceptibilities (χ−1 versus T) deviated from the linear Curie-Weiss law far above TC (Figure 7). All these features are typical for materials with long-range ferrimagnetic ordering. The χ−1 versus T curves (FCC, 10 kOe) of the x = 0.25 and 0.50 samples could be well fitted by a ferrimagnetic model [25,26] with the equation and obtained fitting parameters given in Figure 7. The opposite signs of the θ1 and θ2 parameters could support ferrimagnetic ordering.
On the other hand, the χ versus T curves of the x = 0.75 sample were principally different from those of the x = 0.25 and 0.50 samples (Figure 8). The effect of magnetic fields on the susceptibility values of the x = 0.75 sample was much weaker. The χ versus T curve (FCC, 100 Oe) showed a small kink below TSG and not a sharp increase. The M versus H curve at T = 5 K showed no detectable hysteresis (because 5 K is very close to TSG), while a tiny extended S-shaped hysteresis opened at the lower temperature T = 2 K (Figure 6b). All these features and the type of divergence between the ZFC and FCC χ versus T curves at 100 Oe are typical for spin glasses [27,28].
The χ−1 versus T curves (FCC, 10 kOe) could be well fitted by the Curie-Weiss law at high temperatures of 250–400 K (Figure 5 and Figure 8; the fits and fitting parameters are reported in the figures). For the three samples, the experimental effective magnetic moments were close to the calculated ones. This fact supports the ideal Mn charges as (Lu3+0.5Mn2+0.5)(Mn3+0.50Mn4+0.25Ti4+0.25)O3, (Lu3+0.5Mn2+0.5)(Mn3+0.50Ti4+0.50)O3, and (Lu3+0.5Mn2+0.5)(Mn2+0.25Ti4+0.75)O3. From the obtained Weiss temperatures, the so-called frustration ratio, defined as |θ|/TC or |θ|/TSG, can be calculated as 1.1 (x = 0.25), 4 (x = 0.50), and 22 (x = 0.75). A very large frustration ratio in the x = 0.75 sample indicates a strong degree of magnetic frustration.
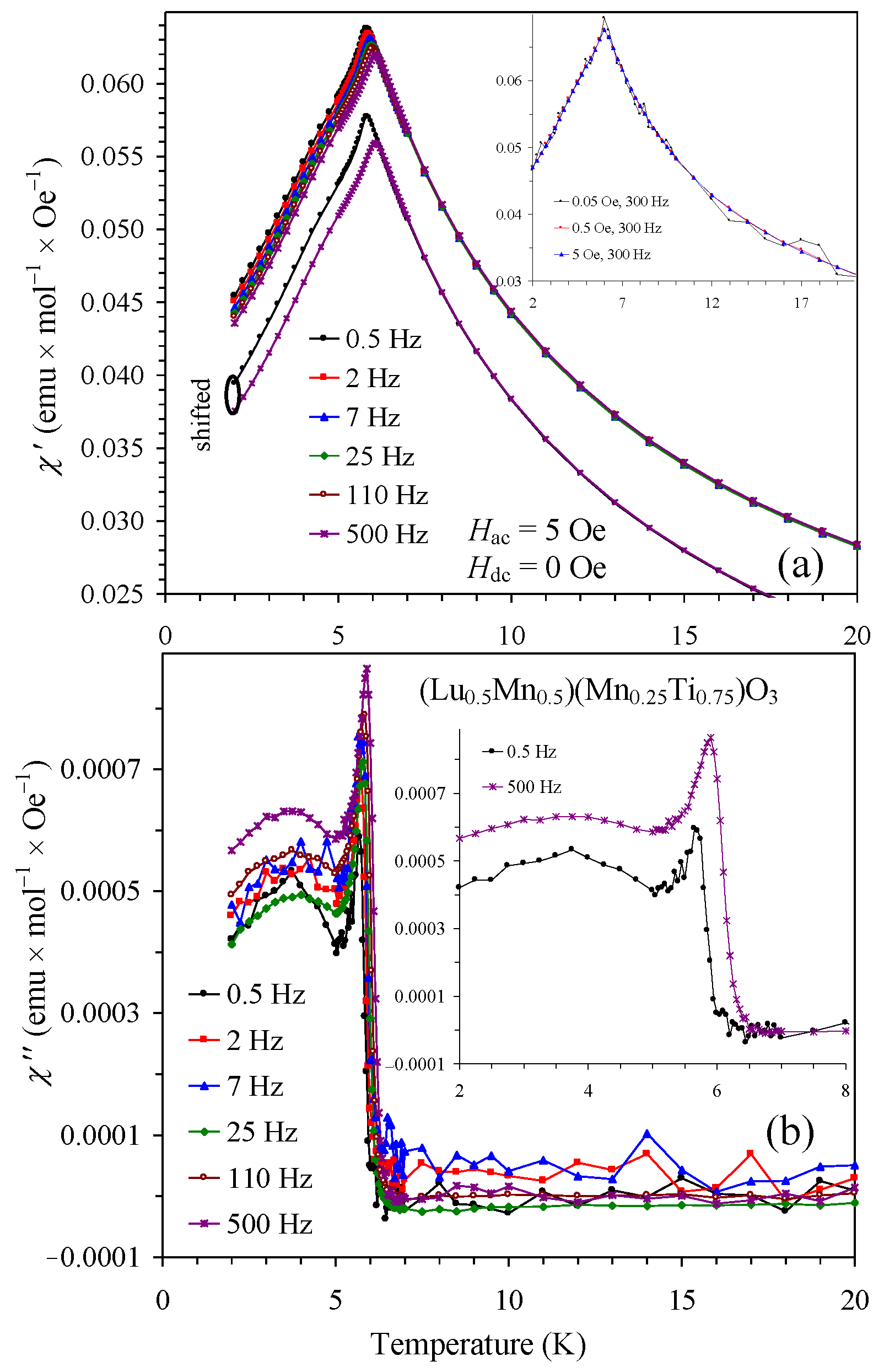
To arrive at a deeper understanding of magnetic behavior, we measured ac magnetic susceptibility curves (Figure 9 and Figure 10). The x = 0.25 and 0.50 samples showed sharp peaks on both the χ′ versus T and the χ″ versus T curves. Moreover, there was strong dependence of the χ′ and χ″ values on the applied Hac field (insets of Figure 9). These results indicate strong interactions of the Hac field with domain structures in these compounds. The appearance of domain structures confirmed the presence of long-range magnetic ordering. On the other hand, no Hac field dependence was observed in the x = 0.75 sample (inset of Figure 10). There were characteristic shifts of peak positions and intensities as a function of frequency for both the χ′ versus T and the χ″ versus T curves. With increasing frequency, the peak intensity was reduced for the χ′ versus T curves and enhanced for the χ″ versus T curves. The SG temperature shift per frequency decade, defined as ΔTSG/[TSGΔlog(f)], was calculated to be 0.012. For the calculation, we used TSG = 5.856(3) K at f = 0.5 Hz and TSG = 6.075(1) K at f = 500 Hz, and these temperatures were obtained from fits by a Gauss function in the vicinity of TSG; the reported errors are merely errors of mathematical fits. The SG temperature shift of 0.012 is typical for SG materials [27,28].
Total specific heat data (Cp) for the three compounds are shown in Figure 11 in the form of Cp/T versus T. In the x = 0.25 sample, a λ-type anomaly near TC proves the existence of long-range magnetic order. On the other hand, in the x = 0.50 sample, no clear λ-type anomaly near TC is observed. This indicates that only a small amount of magnetic entropy is released at the magnetic ordering temperature because of significant dilution of the magnetic sublattices. In the x = 0.75 sample a specific heat anomaly appeared again near its TSG. As the three compounds are isostructural, they should have a similar lattice contribution to the total specific heat. Therefore, minimum total specific heat among the three samples in the temperature ranges of 20–40 K and 60–300 K could be taken as the lattice contribution with a smooth estimation between 40 K and 60 K. Below 20 K, the lattice contribution was estimated by a βT3 function passing through zero and Cp (T = 20 K, x = 0.25) points. It is interesting that in the A-site columnar-ordered Sm2MnMn(Mn4−zTiz)O12, the opposite behavior of specific heat was observed, where the z = 1 sample showed no clear λ-type anomaly near TC, while the z = 2 sample demonstrated a clear λ-type anomaly near TC [18].
The temperature dependence of the dielectric constant for the x = 0.75 and x = 0.50 samples is shown in Figure 12. The dielectric constant was found to be almost independent of temperature and frequency between 5 and 150 K for x = 0.50 with a value of about 32, and between 5 and 250 K for x = 0.75 with a value of approximately 50. For x = 0.50, the dielectric constant significantly increased above 150 K (especially at low frequencies). The same behavior was observed in many other related systems [16,18]. It is believed that the Maxwell-Wagner (extrinsic) polarization from increased conductivity is responsible for this behavior. No dielectric anomalies were observed near the magnetic phase transition temperatures. Increased conductivity in the x = 0.50 sample could be caused by electron hopping due to the presence of Mn in different oxidation states (+2 and +3). On the other hand, the x = 0.75 sample has only Mn2+ cations. Therefore, its resistivity increases, and that results in a frequency-stable dielectric constant in a wider temperature range.
In the parent solid solutions (Lu1−yMny)MnO3 (0.2 ≤ y ≤ 0.4), there is ferromagnetic ordering of Mn spins at the A and B sites and an AFM order between the two sites [10]. We suggest that a similar magnetic structure could be realized in (Lu0.5Mn0.5)(Mn1−xTix)O3 with x = 0.25 and 0.50 (Figure 3b), although this suggestion has yet to be confirmed by neutron diffraction. However, in this case, the B sublattice is diluted, and the ordered moment at the B site should therefore be noticeably reduced. When the ordered moment at the B site is small and saturated, that at the A site continues to increase with decreasing temperature. This scenario can of course explain why the magnetic susceptibility passes through a maximum and decreases again towards a lower temperature (Figure 5 and Figure 6c (where the maximum magnetization on the M versus H curves was observed at 60 K up to 70 kOe in the x = 0.25 sample)). In the case of (Tm1−yMny)MnO3, the total ordered moment at the A site exceeds the moment at the B site at a certain temperature (because of a large contribution from Tm3+), resulting in a negative magnetization phenomenon [11]. The absence of magnetic rare-earth cations in (Lu0.5Mn0.5)(Mn1−xTix)O3 prevented a negative magnetization.
All three samples have a Curie-Weiss temperature of the order of −100 K. This fact indicates that the strength of the average AFM interactions is almost the same, even for the highly diluted case x = 0.75 and suggests that Mn2+ cations at the A sites play an important role, as their amount is the same in all three samples. The χ−1 versus T curves of the x = 0.75 sample also demonstrated a noticeable deviation from the linear Curie-Weiss behavior below approximately 100 K, i.e., far above its TSG = 6 K (Figure 8). Such deviations indicate the presence of strong ferromagnetic-like short-range spatial correlations [29].
The ideal Mn charge distributions should be the same in (Lu3+0.5Mn2+0.5)(Mn3+0.50Ti4+0.50)O3 and (Ca2+0.5Mn2+0.5)(Mn3+0.5Ta5+0.5)O3 [5]. However, there were differences in their magnetic properties. (Ca0.5Mn0.5)(Mn0.5Ta0.5)O3 showed a higher transition temperature of approximately 50 K, the absence of any magnetization decrease at lower temperatures, Curie-Weiss behavior in a wider temperature range down to approximately 80 K, a greater Weiss temperature of −260 K, and effective magnetic moment of 6.75 µB/f.u. [5]. The larger transition and (absolute) Weiss temperatures of (Ca0.5Mn0.5)(Mn0.5Ta0.5)O3 could be explained by a larger ionic radius of Ca2+ in comparison with Lu3+ [2] resulting in a smaller (Mn/Ti)O6 octahedral tilt. It is a general tendency in perovskites that smaller octahedral tilts result in stronger exchange interactions (related to the Weiss temperature in the mean-field approximation) and higher magnetic transition temperatures [30]. Other differences in magnetic properties between (Lu0.5Mn0.5)(Mn0.50Ti0.50)O3 and (Ca0.5Mn0.5)(Mn0.5Ta0.5)O3 could be caused either by different magnetic structures or by the different temperature dependence of sublattice magnetizations; both of these can be determined by neutron diffraction in future works.
Ferrimagnetic transitions were found in this work in (Lu0.5Mn0.5)(Mn1−xTix)O3 with x = 0.25 and 0.50, where the R3+ and Mn2+ cations are disordered in one A site. Ferrimagnetic transitions also take place in A-site columnar-ordered quadruple perovskites R2MnMn(Mn4−zTiz)O12 with z = 1 and 2, where R3+ and Mn2+ cations are ordered [18,19]. Therefore, when concentrations of magnetic cations are far above the percolation limits, magnetic properties do not depend qualitatively on ordered or disordered structural arrangements (but details of ferrimagnetic structures could, of course, be different). On the other hand, (Lu0.5Mn0.5)(Mn1−xTix)O3 with x = 0.75 shows spin-glass magnetic properties at a low temperature of 6 K while R2MnMn(Mn4−zTiz)O12 with z = 3 exhibits long-range ferrimagnetic transitions at approximately 20–40 K [18,19,20]. Therefore, when concentrations of magnetic cations (at the B sites) are below the percolation limits, the structural order also supports long-range magnetic order.

4. Conclusions

Perovskite solid solutions, half-doped with magnetic Mn2+ cations at the A sites, were synthesized using a high-pressure, high-temperature method with the composition of (Lu0.5Mn0.5)(Mn1−xTix)O3 and x = 0.25, 0.50, and 0.75. Despite a significant dilution of A- and B-sublattices, the x = 0.25 and 0.50 samples show long-range ferrimagnetic order at TC = 89 K and 36 K, respectively. The reduction in magnetization at low temperature suggests that both A and B sublattices are involved in the ferrimagnetic structures. The x = 0.75 sample exhibits a spin-glass transition at TSG = 6 K, but it has a large Curie-Weiss temperature of −132 K and a large resultant frustration index of approximately 22.

Author Contributions

A.A.B.: investigation, data analysis, conceptualization, supervision, writing—original draft, and writing—review and editing. R.L.: investigation. A.D.: investigation. M.T.: investigation. K.Y.: investigation and funding acquisition. All authors have read and agreed to the published version of the manuscript.

Funding

This study was partly supported by JSPS KAKENHI grant numbers JP20H05276 and JP22H04601.

Institutional Review Board Statement

Not applicable.

Informed Consent Statement

Not applicable.

Data Availability Statement

Data are available from A.A.B. upon reasonable request.

Acknowledgments

This study was partly supported by JSPS KAKENHI grant numbers JP20H05276 and JP22H04601. The synchrotron radiation experiments were conducted at the former NIMS beamline (BL15XU) of SPring-8 with the approval of the former NIMS Synchrotron X-ray Station (proposal numbers: 2018B4502, 2019B4500 and 2020A4501). We thank Y. Katsuya for his help at SPring-8.

Conflicts of Interest

The authors declare no conflict of interest.

References

  1. Wang, Y.; Wang, H.; Tan, W.S.; Huo, D.X. Magnetization reversal, critical behavior, and magnetocaloric effect in NdMnO3: The role of magnetic ordering of Nd and Mn moments. J. Appl. Phys. 2022, 132, 183907. [Google Scholar] [CrossRef]
  2. Shannon, R.D. Revised effective ionic radii and systematic studies of interatomic distances in halides and chalcogenides. Acta Crystallogr. Sect. A Cryst. Phys. Diffr. Theor. Gen. Crystallogr. 1976, 32, 751–767. [Google Scholar] [CrossRef]
  3. Belik, A.A.; Yi, W. High-pressure synthesis, crystal chemistry and physics of perovskites with small cations at the A site. J. Phys. Condens. Matter 2014, 26, 163201. [Google Scholar] [CrossRef] [PubMed]
  4. Belik, A.A.; Matsushita, Y.; Tanaka, M.; Takayama-Muromachi, E. Crystal structures and properties of perovskites ScCrO3 and InCrO3 with small ions at the A site. Chem. Mater. 2012, 24, 2197–2203. [Google Scholar] [CrossRef]
  5. Ma, Y.L.; Molokeev, M.S.; Zhu, C.H.; Zhao, S.; Han, Y.F.; Wu, M.X.; Liu, S.Z.; Tyson, T.A.; Croft, M.; Li, M.-R. Magnetic transitions in exotic perovskites stabilized by chemical and physical pressure. J. Mater. Chem. C 2020, 8, 5082–5091. [Google Scholar] [CrossRef]
  6. Han, Y.F.; Wu, M.X.; Gui, C.R.; Zhu, C.H.; Sun, Z.X.; Zhao, M.-H.; Savina, A.A.; Abakumov, A.M.; Wang, B.; Huang, F.; et al. Data-driven computational prediction and experimental realization of exotic perovskite-related polar magnets. NPJ Quantum Mater. 2020, 5, 92. [Google Scholar] [CrossRef]
  7. Ding, L.; Manuel, P.; Khalyavin, D.D.; Orlandi, F.; Kumagai, Y.; Oba, F.; Yi, W.; Belik, A.A. Unusual magnetic structure of the high-pressure synthesized perovskites ACrO3 (A = Sc, In, Tl). Phys. Rev. B Condens. Matter Mater. Phys. 2017, 95, 054432. [Google Scholar] [CrossRef]
  8. Solana-Madruga, E.; Arevalo-Lopez, A.M. High-pressure A-site manganites: Structures and magnetic properties. J. Solid State Chem. 2022, 315, 123470. [Google Scholar] [CrossRef]
  9. Zhang, L.; Gerlach, D.; Dönni, A.; Chikyow, T.; Katsuya, Y.; Tanaka, M.; Ueda, S.; Yamaura, K.; Belik, A.A. Mn self-doping of orthorhombic RMnO3 perovskites: (R0.667Mn0.333)MnO3 with R = Er–Lu. Inorg. Chem. 2018, 57, 2773–2781. [Google Scholar] [CrossRef]
  10. Zhang, L.; Dönni, A.; Pomjakushin, V.Y.; Yamaura, K.; Belik, A.A. Crystal and magnetic structures and properties of (Lu1−xMnx)MnO3 solid solutions. Inorg. Chem. 2018, 57, 14073–14085. [Google Scholar] [CrossRef]
  11. Dönni, A.; Pomjakushin, V.Y.; Zhang, L.; Yamaura, K.; Belik, A.A. Origin of negative magnetization phenomena in (Tm1−xMnx)MnO3: A neutron diffraction study. Phys. Rev. B Condens. Matter Mater. Phys. 2020, 101, 054442. [Google Scholar] [CrossRef]
  12. Dönni, A.; Pomjakushin, V.Y.; Zhang, L.; Yamaura, K.; Belik, A.A. Magnetic properties and ferrimagnetic structures of Mn self-doped perovskite solid solutions (Ho1−xMnx)MnO3. J. Alloys Compd. 2021, 857, 158230. [Google Scholar] [CrossRef]
  13. Dönni, A.; Pomjakushin, V.; Zhang, L.; Yamaura, K.; Belik, A.A. Temperature evolution of 3d- and 4f-electron magnetic ordering in the ferrimagnetic Mn self-doped perovskite (Yb0.667Mn0.333)MnO3. J. Phys. Condens. Matter 2021, 33, 205804. [Google Scholar] [CrossRef]
  14. Pomjakushin, V.Y.; Kenzelmann, M.; Dönni, A.; Harris, A.B.; Nakajima, T.; Mitsuda, S.; Tachibana, M.; Keller, L.; Mesot, J.; Kitazawa, H.; et al. Evidence for large electric polarization from collinear magnetism in TmMnO3. New J. Phys. 2009, 11, 043019. [Google Scholar] [CrossRef]
  15. Néel, L. Propriétés magnétiques des ferrites; ferrimagnétisme et antiferromagnétisme. Ann. Phys. 1948, 12, 137–198. [Google Scholar] [CrossRef]
  16. Liu, R.; Tanaka, M.; Yamaura, K.; Belik, A.A. High-pressure synthesis, crystal structures, and magnetic and dielectric properties of GdFeO3-type perovskites (Dy0.5Mn0.5)(Mn1−xTix)O3 with x = 0.5 and 0.75. J. Alloys Compd. 2020, 825, 154019. [Google Scholar] [CrossRef]
  17. Belik, A.A. Rise of A-site columnar-ordered A2A′A″B4O12 quadruple perovskites with intrinsic triple order. Dalton Trans. 2018, 47, 3209–3217. [Google Scholar] [CrossRef]
  18. Belik, A.A.; Zhang, L.; Liu, R.; Khalyavin, D.D.; Katsuya, Y.; Tanaka, M.; Yamaura, K. Valence variations by B-site doping in A-site columnar-ordered quadruple perovskites Sm2MnMn(Mn4−xTix)O12 with 1 ≤ x ≤ 3. Inorg. Chem. 2019, 58, 3492–3501. [Google Scholar] [CrossRef]
  19. Vibhakar, A.M.; Khalyavin, D.D.; Manuel, P.; Liu, R.; Yamaura, K.; Belik, A.A.; Johnson, R.D. Effects of magnetic dilution in the ferrimagnetic columnar ordered Sm2MnMnMn4−xTixO12 perovskites. Phys. Rev. B Condens. Matter Mater. Phys. 2020, 102, 214428. [Google Scholar] [CrossRef]
  20. Liu, R.; Tanaka, M.; Mori, H.; Inaguma, Y.; Yamaura, K.; Belik, A.A. Ferrimagnetic and relaxor ferroelectric properties of R2MnMn(MnTi3)O12 perovskites with R = Nd, Eu, and Gd. J. Mater. Chem. C 2021, 9, 947–956. [Google Scholar] [CrossRef]
  21. Tanaka, M.; Katsuya, Y.; Matsushita, Y.; Sakata, O. Development of a synchrotron powder diffractometer with a one-dimensional X-ray detector for analysis of advanced materials. J. Ceram. Soc. Jpn. 2013, 121, 287–290. [Google Scholar] [CrossRef]
  22. Izumi, F.; Ikeda, T. A Rietveld-analysis program RIETAN-98 and its applications to zeolites. Mater. Sci. Forum 2000, 321–324, 198–205. [Google Scholar] [CrossRef]
  23. Momma, K.; Izumi, F. VESTA 3 for three-dimensional visualization of crystal, volumetric and morphology data. J. Appl. Cryst. 2011, 44, 1272–1276. [Google Scholar] [CrossRef]
  24. Brese, N.E.; O’Keeffe, M. Bond-valence parameters for solids. Acta Crystallogr. Sect. B Struct. Sci. 1991, 47, 192–197. [Google Scholar] [CrossRef]
  25. Turner, C.W.; Greedan, J.E. Ferrimagnetism in the rare earth titanium (III) oxides, RTiO3; R = Gd, Tb, Dy, Ho, Er, Tm. J. Solid State Chem. 1980, 34, 207–213. [Google Scholar] [CrossRef]
  26. Tebble, R.S.; Craik, D.J. Magnetic Materials; Wiley-Interscience: London, UK, 1969. [Google Scholar]
  27. Mydosh, J.A. Spin Glass: An Experimental Introduction; Taylor & Francis: London, UK, 1993. [Google Scholar]
  28. Binder, K.; Young, A.P. Spin-glasses: Experimental facts, theoretical concepts, and open questions. Rev. Mod. Phys. 1986, 58, 801–976. [Google Scholar] [CrossRef]
  29. Lago, J.; Blundell, S.J.; Eguia, A.; Jansen, M.; Rojo, T. Three-dimensional Heisenberg spin-glass behavior in SrFe0.90Co0.10O3.0. Phys. Rev. B Condens. Matter Mater. Phys. 2012, 86, 064412. [Google Scholar] [CrossRef]
  30. Bousquet, E.; Cano, A. Non-collinear magnetism in multiferroic perovskites. J. Phys. Condens. Matter 2016, 28, 123001. [Google Scholar] [CrossRef]
Figure 1. Scanning electron microscopy (SEM) images of the fractured surfaces of pellets of (Lu0.5Mn0.5)(Mn1−xTix)O3 with (a) x = 0.25, (b) 0.50, and (c) 0.75. The scale bar is 20 µm and magnification is 5000 on all panels.
Figure 1. Scanning electron microscopy (SEM) images of the fractured surfaces of pellets of (Lu0.5Mn0.5)(Mn1−xTix)O3 with (a) x = 0.25, (b) 0.50, and (c) 0.75. The scale bar is 20 µm and magnification is 5000 on all panels.
Materials 16 01506 g001
Figure 2. Rietveld refinement fits of room-temperature synchrotron X-ray powder diffraction data of (Lu0.5Mn0.5)(Mn0.50Ti0.50)O3. Black crosses: experimental data; red line: the calculated curve; blue line: the difference curve between the experimental and calculated points; brown tick marks: positions of possible Bragg reflections in the space group Pnma. The 2θ range is from 6° to 60.2°. One reflection near 17.6° was omitted from the refinement because of a poor agreement of the observed and calculated peak intensities, probably caused by a partial coarse-particle problem. Inset: a fragment of the observed and calculated data in a low 2θ range with Miller (hkl) indices of all observed reflections listed.
Figure 2. Rietveld refinement fits of room-temperature synchrotron X-ray powder diffraction data of (Lu0.5Mn0.5)(Mn0.50Ti0.50)O3. Black crosses: experimental data; red line: the calculated curve; blue line: the difference curve between the experimental and calculated points; brown tick marks: positions of possible Bragg reflections in the space group Pnma. The 2θ range is from 6° to 60.2°. One reflection near 17.6° was omitted from the refinement because of a poor agreement of the observed and calculated peak intensities, probably caused by a partial coarse-particle problem. Inset: a fragment of the observed and calculated data in a low 2θ range with Miller (hkl) indices of all observed reflections listed.
Materials 16 01506 g002
Figure 3. (a) Crystal structure of (Lu0.5Mn0.5)(Mn0.75Ti0.25)O3. (b) Possible ferrimagnetic structure of (Lu0.5Mn0.5)(Mn0.75Ti0.25)O3.
Figure 3. (a) Crystal structure of (Lu0.5Mn0.5)(Mn0.75Ti0.25)O3. (b) Possible ferrimagnetic structure of (Lu0.5Mn0.5)(Mn0.75Ti0.25)O3.
Materials 16 01506 g003
Figure 4. The ZFC and FCC d(χT)/dT versus T curves [ZFC: filled symbols, FCC: empty symbols] of (a) (Lu0.5Mn0.5)(Mn0.75Ti0.25)O3, (b) (Lu0.5Mn0.5)(Mn0.50Ti0.50)O3, and (c) (Lu0.5Mn0.5)(Mn0.25Ti0.75)O3 at 100 Oe (black circles) and 10 kOe (blue triangles). Magnetic transition temperatures were determined from peak positions on the 100 Oe FCC curves. All curves on (a,b) were shifted by +60 to produce positive values, as only relative values are important.
Figure 4. The ZFC and FCC d(χT)/dT versus T curves [ZFC: filled symbols, FCC: empty symbols] of (a) (Lu0.5Mn0.5)(Mn0.75Ti0.25)O3, (b) (Lu0.5Mn0.5)(Mn0.50Ti0.50)O3, and (c) (Lu0.5Mn0.5)(Mn0.25Ti0.75)O3 at 100 Oe (black circles) and 10 kOe (blue triangles). Magnetic transition temperatures were determined from peak positions on the 100 Oe FCC curves. All curves on (a,b) were shifted by +60 to produce positive values, as only relative values are important.
Materials 16 01506 g004
Figure 5. Left-hand axes: ZFC (filled symbols) and FCC (empty symbols) dc magnetic susceptibility curves (χ = M/H) of (a) (Lu0.5Mn0.5)(Mn0.75Ti0.25)O3 and (b) (Lu0.5Mn0.5)(Mn0.50Ti0.50)O3 at 100 Oe (black circles) and 10 kOe (blue triangles). The 10 kOe curves were multiplied by 30. Right-hand axes: χ−1 versus T curves (FCC, 10 kOe) with Curie-Weiss fits (black lines). Obtained fitting parameters are given in the figure. Arrows show magnetic transition temperatures.
Figure 5. Left-hand axes: ZFC (filled symbols) and FCC (empty symbols) dc magnetic susceptibility curves (χ = M/H) of (a) (Lu0.5Mn0.5)(Mn0.75Ti0.25)O3 and (b) (Lu0.5Mn0.5)(Mn0.50Ti0.50)O3 at 100 Oe (black circles) and 10 kOe (blue triangles). The 10 kOe curves were multiplied by 30. Right-hand axes: χ−1 versus T curves (FCC, 10 kOe) with Curie-Weiss fits (black lines). Obtained fitting parameters are given in the figure. Arrows show magnetic transition temperatures.
Materials 16 01506 g005
Figure 6. (a) M versus H curves of (Lu0.5Mn0.5)(Mn0.75Ti0.25)O3 (black circles), (Lu0.5Mn0.5)(Mn0.50Ti0.50)O3 (blue diamonds), and (Lu0.5Mn0.5)(Mn0.25Ti0.75)O3 (red triangles) at T = 5 K. f.u.: formula unit. (b) Enlarged fragment of the M versus H curves of (Lu0.5Mn0.5)(Mn0.25Ti0.75)O3 at T = 5 K (red triangles) and T = 2 K (black circles) at small magnetic fields. (c) M versus H curves of (Lu0.5Mn0.5)(Mn0.75Ti0.25)O3 at different temperatures. Panel (d) shows the details with enlarged scale for x = 0.25.
Figure 6. (a) M versus H curves of (Lu0.5Mn0.5)(Mn0.75Ti0.25)O3 (black circles), (Lu0.5Mn0.5)(Mn0.50Ti0.50)O3 (blue diamonds), and (Lu0.5Mn0.5)(Mn0.25Ti0.75)O3 (red triangles) at T = 5 K. f.u.: formula unit. (b) Enlarged fragment of the M versus H curves of (Lu0.5Mn0.5)(Mn0.25Ti0.75)O3 at T = 5 K (red triangles) and T = 2 K (black circles) at small magnetic fields. (c) M versus H curves of (Lu0.5Mn0.5)(Mn0.75Ti0.25)O3 at different temperatures. Panel (d) shows the details with enlarged scale for x = 0.25.
Materials 16 01506 g006
Figure 7. χ−1 versus T curves (FCC, 10 kOe) for (Lu0.5Mn0.5)(Mn0.75Ti0.25)O3 (black circles) and (Lu0.5Mn0.5)(Mn0.50Ti0.50)O3 (blue triangles) with fitting results (red lines) using a ferrimagnetic model [25,26]. The equation and obtained fitting parameters are given in the figure.
Figure 7. χ−1 versus T curves (FCC, 10 kOe) for (Lu0.5Mn0.5)(Mn0.75Ti0.25)O3 (black circles) and (Lu0.5Mn0.5)(Mn0.50Ti0.50)O3 (blue triangles) with fitting results (red lines) using a ferrimagnetic model [25,26]. The equation and obtained fitting parameters are given in the figure.
Materials 16 01506 g007
Figure 8. Left-hand axis: ZFC (filled symbols) and FCC (empty symbols) dc magnetic susceptibility curves (χ = M/H) of (Lu0.5Mn0.5)(Mn0.25Ti0.75)O3 at 100 Oe (black circles) and 10 kOe (blue triangles). The inset shows details below 40 K. Right-hand axis: χ−1 versus T curve (FCC, 10 kOe) with the Curie-Weiss fit (black line). Obtained fitting parameters are given in the figure.
Figure 8. Left-hand axis: ZFC (filled symbols) and FCC (empty symbols) dc magnetic susceptibility curves (χ = M/H) of (Lu0.5Mn0.5)(Mn0.25Ti0.75)O3 at 100 Oe (black circles) and 10 kOe (blue triangles). The inset shows details below 40 K. Right-hand axis: χ−1 versus T curve (FCC, 10 kOe) with the Curie-Weiss fit (black line). Obtained fitting parameters are given in the figure.
Materials 16 01506 g008
Figure 9. (a) Real χ′ versus T and (b) imaginary χ″ versus T curves of (Lu0.5Mn0.5)(Mn0.75Ti0.25)O3 at different frequencies. Insets show the χ′ versus T and χ″ versus T curves at different Hac (0.1, 0.5 and 5 Oe) and one frequency (300 Hz). (c) Real χ′ versus T and (d) imaginary χ″ versus T curves of (Lu0.5Mn0.5)(Mn0.50Ti0.50)O3 at different frequencies. Insets show the χ′ versus T and χ″ versus T curves at different Hac (0.05, 0.5 and 5 Oe) and one frequency (300 Hz).
Figure 9. (a) Real χ′ versus T and (b) imaginary χ″ versus T curves of (Lu0.5Mn0.5)(Mn0.75Ti0.25)O3 at different frequencies. Insets show the χ′ versus T and χ″ versus T curves at different Hac (0.1, 0.5 and 5 Oe) and one frequency (300 Hz). (c) Real χ′ versus T and (d) imaginary χ″ versus T curves of (Lu0.5Mn0.5)(Mn0.50Ti0.50)O3 at different frequencies. Insets show the χ′ versus T and χ″ versus T curves at different Hac (0.05, 0.5 and 5 Oe) and one frequency (300 Hz).
Materials 16 01506 g009
Figure 10. (a) Real χ′ versus T and (b) imaginary χ″ versus T curves of (Lu0.5Mn0.5)(Mn0.25Ti0.75)O3 at different frequencies. The (same) shifted curves at the smallest (0.5 Hz) and largest (500 Hz) frequencies are separately shown to clearly emphasize peak shifts. Insets: (a) χ′ versus T curves at different Hac (0.05, 0.5 and 5 Oe) and one frequency (300 Hz). (b) χ″ versus T curves at the smallest (0.5 Hz) and largest (500 Hz) frequencies to clearly emphasize frequency-dependent shifts.
Figure 10. (a) Real χ′ versus T and (b) imaginary χ″ versus T curves of (Lu0.5Mn0.5)(Mn0.25Ti0.75)O3 at different frequencies. The (same) shifted curves at the smallest (0.5 Hz) and largest (500 Hz) frequencies are separately shown to clearly emphasize peak shifts. Insets: (a) χ′ versus T curves at different Hac (0.05, 0.5 and 5 Oe) and one frequency (300 Hz). (b) χ″ versus T curves at the smallest (0.5 Hz) and largest (500 Hz) frequencies to clearly emphasize frequency-dependent shifts.
Materials 16 01506 g010
Figure 11. Cp/T versus T curves of (Lu0.5Mn0.5)(Mn0.75Ti0.25)O3 (black circles), (Lu0.5Mn0.5)(Mn0.50Ti0.50)O3 (blue diamonds), and (Lu0.5Mn0.5)(Mn0.25Ti0.75)O3 (red triangles) at H = 0 Oe (filled symbols) and 90 kOe (empty symbols). The inset shows details below 100 K. Cp is the total specific heat. The brown line indicates the estimated lattice contribution to Cp (at all temperatures).
Figure 11. Cp/T versus T curves of (Lu0.5Mn0.5)(Mn0.75Ti0.25)O3 (black circles), (Lu0.5Mn0.5)(Mn0.50Ti0.50)O3 (blue diamonds), and (Lu0.5Mn0.5)(Mn0.25Ti0.75)O3 (red triangles) at H = 0 Oe (filled symbols) and 90 kOe (empty symbols). The inset shows details below 100 K. Cp is the total specific heat. The brown line indicates the estimated lattice contribution to Cp (at all temperatures).
Materials 16 01506 g011
Figure 12. (a) The temperature dependence of the dielectric constant of (Lu0.5Mn0.5)(Mn0.50Ti0.50)O3 (black circles) and (Lu0.5Mn0.5)(Mn0.25Ti0.75)O3 (blue triangles) measured for the frequency f = 665 kHz at zero field (H = 0 Oe) for cooling and heating. (b,c) The temperature and frequency dependence of the dielectric constant and dielectric loss of (Lu0.5Mn0.5)(Mn0.50Ti0.50)O3 on heating. (d,e) The temperature and frequency dependence of the dielectric constant and dielectric loss of (Lu0.5Mn0.5)(Mn0.25Ti0.75)O3 on heating.
Figure 12. (a) The temperature dependence of the dielectric constant of (Lu0.5Mn0.5)(Mn0.50Ti0.50)O3 (black circles) and (Lu0.5Mn0.5)(Mn0.25Ti0.75)O3 (blue triangles) measured for the frequency f = 665 kHz at zero field (H = 0 Oe) for cooling and heating. (b,c) The temperature and frequency dependence of the dielectric constant and dielectric loss of (Lu0.5Mn0.5)(Mn0.50Ti0.50)O3 on heating. (d,e) The temperature and frequency dependence of the dielectric constant and dielectric loss of (Lu0.5Mn0.5)(Mn0.25Ti0.75)O3 on heating.
Materials 16 01506 g012
Table 1. Structure parameters of (Lu0.5Mn0.5)(Mn0.75Ti0.25)O3, (Lu0.5Mn0.5)(Mn0.50Ti0.50)O3, and (Lu0.5Mn0.5)(Mn0.25Ti0.75)O3 at 295 K from synchrotron XRPD data.
Table 1. Structure parameters of (Lu0.5Mn0.5)(Mn0.75Ti0.25)O3, (Lu0.5Mn0.5)(Mn0.50Ti0.50)O3, and (Lu0.5Mn0.5)(Mn0.25Ti0.75)O3 at 295 K from synchrotron XRPD data.
SiteWPgxyzBiso2)
(Lu0.5Mn0.5)(Mn0.75Ti0.25)O3
Lu/Mn4c10.06601(7)0.250.98503(11)0.771(10)
Mn4b0.75000.50.429(18)
Ti4b0.25000.5=B(Mn)
O14c10.4570(7)0.250.1064(8)1.54(10)
O28d10.3117(6)0.0551(4)0.6856(6)1.41(7)
(Lu0.5Mn0.5)(Mn0.50Ti0.50)O3
Lu/Mn4c10.06672(7)0.250.98477(10)0.694(10)
Mn4b0.5000.50.528(18)
Ti4b0.5000.5=B(Mn)
O14c10.4567(7)0.250.1054(6)0.74(8)
O28d10.3145(5)0.0583(4)0.6910(5)1.14(7)
(Lu0.5Mn0.5)(Mn0.25Ti0.75)O3
Lu/Mn4c10.06407(5)0.250.98450(8)0.564(8)
Mn4b0.25000.50.819(14)
Ti4b0.75000.5=B(Mn)
O14c10.4458(5)0.250.1193(4)0.24(5)
O28d10.3075(4)0.0617(2)0.6908(3)0.63(5)
WP: Wyckoff position. g is the occupation factor. Space group Pnma (No 62); Z = 4. The Lu/Mn site has the occupation 0.5Lu+0.5Mn. (Lu0.5Mn0.5)(Mn0.75Ti0.25)O3: a = 5.44307(4) Å, b = 7.43580(3) Å, c = 5.18719(2) Å, and V = 209.944(2) Å3; Rwp = 5.09%, Rp = 3.11%, RB = 2.20%, and RF = 1.20%; ρcal = 6.838 g/cm3. No impurities. (Lu0.5Mn0.5)(Mn0.50Ti0.50)O3: a = 5.48737(2) Å, b = 7.48611(2) Å, c = 5.20269(1) Å, and V = 213.7211(11) Å3; Rwp = 3.62%, Rp = 2.33%, RB = 3.06%, and RF = 1.43%; ρcal = 6.662 g/cm3. No impurities. (Lu0.5Mn0.5)(Mn0.25Ti0.75)O3: a = 5.47716(2) Å, b = 7.60268(3) Å, c = 5.23395(2) Å, and V = 217.947(2) Å3; Rwp = 2.29%, Rp = 1.62%, RB = 1.53%, and RF = 0.88%; ρcal = 6.169 g/cm3. Lu2Ti2O7 impurity: 4.3 wt. %.
Table 2. Selected bond lengths (in Å), bond angles (in deg), bond valence sums (BVS), and distortion parameters of Mn/TiO6 octahedra (Δ) in (Lu0.5Mn0.5)(Mn0.75Ti0.25)O3, (Lu0.5Mn0.5)(Mn0.50Ti0.50)O3, and (Lu0.5Mn0.5)(Mn0.25Ti0.75)O3.a.
Table 2. Selected bond lengths (in Å), bond angles (in deg), bond valence sums (BVS), and distortion parameters of Mn/TiO6 octahedra (Δ) in (Lu0.5Mn0.5)(Mn0.75Ti0.25)O3, (Lu0.5Mn0.5)(Mn0.50Ti0.50)O3, and (Lu0.5Mn0.5)(Mn0.25Ti0.75)O3.a.
x = 0.25x = 0.50x = 0.75
Lu/Mn–O12.201(4)2.216(3)2.173(2)
Lu/Mn–O2 (×2)2.191(3)2.194(3)2.206(2)
Lu/Mn–O12.219(4)2.230(3)2.206(3)
Lu/Mn–O2 (×2)2.510(3)2.499(3)2.488(2)
Lu/Mn–O2 (×2)2.583(3)2.627(3)2.697(2)
BVS(Lu3+)3.002.932.94
BVS(Mn2+)1.841.801.80
Mn/Ti–O1 (×2)1.953(1)1.965(1)2.022(1)
Mn/Ti–O2 (×2)1.969(3)1.952(3)1.988(2)
Mn/Ti–O2 (×2)1.993(3)2.038(3)2.013(2)
BVS(Mnn+/Ti4+)3.503.533.51
Δ(Mn/Ti)0.7 × 10–43.7 × 10–40.5 × 10–4
Mn/Ti–O1–Mn/Ti144.24(9)144.58(9)140.03(9)
Mn/Ti–O2–Mn/Ti (×2)143.16(9)142.65(9)142.44(9)
a BVS = i = 1 i = N ν i , νi = exp[(R0li)/B], N is the coordination number, li is a bond length, B = 0.37, R0(Lu3+) = 1.971, R0(Ti4+) = 1.815, R0(Mn2+) = 1.79, R0(Mn3+) = 1.76, and R0(Mn4+) = 1.753 [24].
Disclaimer/Publisher’s Note: The statements, opinions and data contained in all publications are solely those of the individual author(s) and contributor(s) and not of MDPI and/or the editor(s). MDPI and/or the editor(s) disclaim responsibility for any injury to people or property resulting from any ideas, methods, instructions or products referred to in the content.

Share and Cite

MDPI and ACS Style

Belik, A.A.; Liu, R.; Dönni, A.; Tanaka, M.; Yamaura, K. Ferrimagnetic Ordering and Spin-Glass State in Diluted GdFeO3-Type Perovskites (Lu0.5Mn0.5)(Mn1−xTix)O3 with x = 0.25, 0.50, and 0.75. Materials 2023, 16, 1506. https://doi.org/10.3390/ma16041506

AMA Style

Belik AA, Liu R, Dönni A, Tanaka M, Yamaura K. Ferrimagnetic Ordering and Spin-Glass State in Diluted GdFeO3-Type Perovskites (Lu0.5Mn0.5)(Mn1−xTix)O3 with x = 0.25, 0.50, and 0.75. Materials. 2023; 16(4):1506. https://doi.org/10.3390/ma16041506

Chicago/Turabian Style

Belik, Alexei A., Ran Liu, Andreas Dönni, Masahiko Tanaka, and Kazunari Yamaura. 2023. "Ferrimagnetic Ordering and Spin-Glass State in Diluted GdFeO3-Type Perovskites (Lu0.5Mn0.5)(Mn1−xTix)O3 with x = 0.25, 0.50, and 0.75" Materials 16, no. 4: 1506. https://doi.org/10.3390/ma16041506

APA Style

Belik, A. A., Liu, R., Dönni, A., Tanaka, M., & Yamaura, K. (2023). Ferrimagnetic Ordering and Spin-Glass State in Diluted GdFeO3-Type Perovskites (Lu0.5Mn0.5)(Mn1−xTix)O3 with x = 0.25, 0.50, and 0.75. Materials, 16(4), 1506. https://doi.org/10.3390/ma16041506

Note that from the first issue of 2016, this journal uses article numbers instead of page numbers. See further details here.

Article Metrics

Back to TopTop