Adsorption of Phosphate and Ammonium on Waste Building Sludge
Abstract
1. Introduction
2. Materials and Methods
2.1. Characterization of Used Building Waste Sludge
2.2. Model Solution
2.3. Adsorption Experiments
2.4. Leaching Tests
2.5. Analytical Methods
3. Results and Discussion
3.1. Characterization of Original and Modified B/BFe and TS/TSFe
3.2. Adsorption of the Selected Ion (NH4+ or PO43−) on Original and Modified B/BFe and TS/TSFe
3.3. Additional Adsorption of NH4+ and PO43− on Original and Modified B/BFe and TS/TSFe
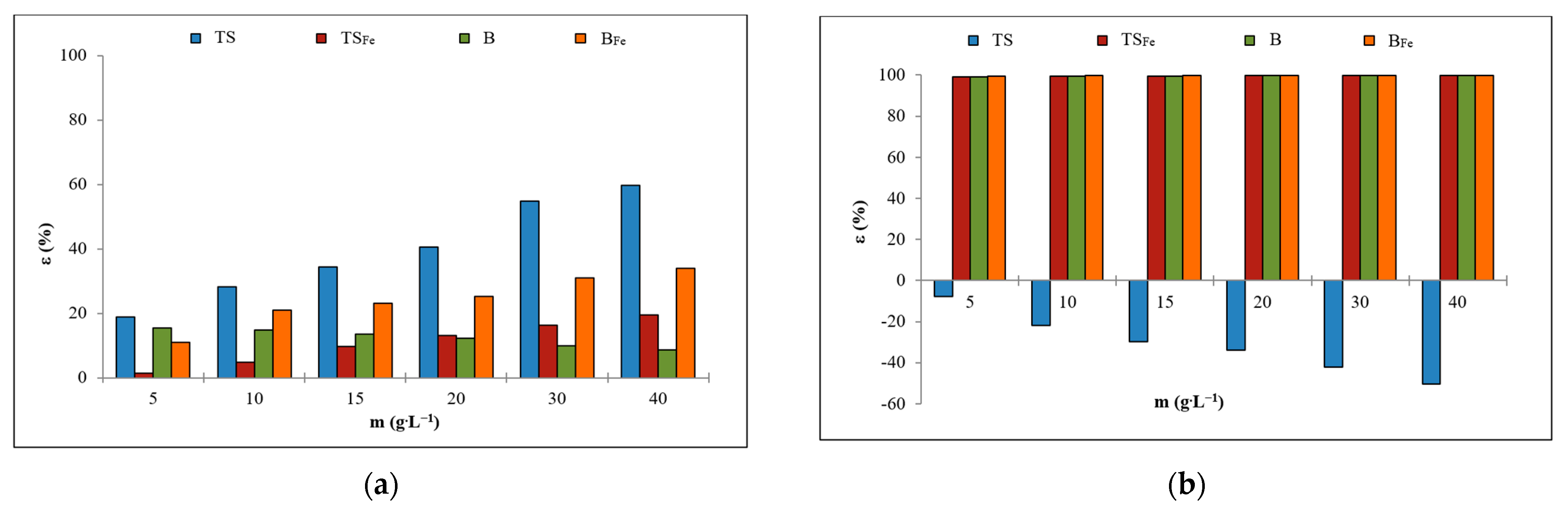
3.4. Simultaneous Adsorption of NH4+ and PO43− on Original and Modified B/BFe and TS/TSFe
3.5. Leaching Experiments
4. Conclusions
Author Contributions
Funding
Institutional Review Board Statement
Informed Consent Statement
Data Availability Statement
Acknowledgments
Conflicts of Interest
References
- Correia, S.; Souza, F.; Dienstmann, G.; Segadães, A. Assessment of the recycling potential of fresh concrete waste using a factorial design of experiments. Waste Manag. 2009, 29, 2886–2891. [Google Scholar] [CrossRef] [PubMed]
- Xuan, D.; Zhan, B.; Poon, C.S.; Zheng, W. Innovative reuse of concrete slurry waste from ready-mixed concrete plants in construction products. J. Hazard. Mater. 2016, 312, 65–72. [Google Scholar] [CrossRef] [PubMed]
- dos Reis, G.S.; Thue, P.S.; Cazacliu, B.G.; Lima, E.C.; Sampaio, C.H.; Quattrone, M.; Ovsyannikova, E.; Kruse, A.; Dotto, G.L. Effect of concrete carbonation on phosphate removal through adsorption process and its potential application as fertilizer. J. Clean. Prod. 2020, 256, 120416. [Google Scholar] [CrossRef]
- Doušová, B.; Bedrnová, E.; Reiterman, P.; Keppert, M.; Koloušek, D.; Lhotka, M.; Mastný, L. Adsorption Properties of Waste Building Sludge for Environmental Protection. Minerals 2021, 11, 309. [Google Scholar]
- Martins, V.J.; Garcia, S.C.D.; Aguilar, P.T.M.; José dos Santos, W. Influence of replacing Portland cement with three different concrete sludge wastes. Constr. Build. Mater. 2021, 303, 124519. [Google Scholar] [CrossRef]
- Schoon, J.; De Buysser, K.; Van Driessche, I.; De Belie, N. Feasibility Study of the Use of Concrete Sludge As Alternative Raw Material for Portland Clinker Production. J. Mater. Civ. Eng. 2015, 27, 04014272. [Google Scholar] [CrossRef]
- Yang, Z.X.; Ha, N.R.; Hwang, K.H.; Lee, J.K. A Study of the performance of a concrete sludge-based geopolymer. J. Ceram. Process. Res. 2009, 10, S72–S74. [Google Scholar]
- Dos Reis, S.G.; Cazacliu, G.B.; Correa, R.C.; Ovsyannikova, E.; Andrea Kruse, A.; Sampaio, H.C.; Lima, C.E.; Dotto, L.G. Ad-sorption and recovery of phosphate from aqueous solution by the construction and demolition wastes sludge and its potential use as phosphate-based fertilizer. J. Environ. Chem. Eng. 2020, 8, 103605. [Google Scholar]
- Doušová, B.; Reiterman, P.; Keppert, M.; Lhotka, M.; Koloušek, D.; Mastný, L.; Bedrnová, E. Assumptions of Powdered Building Wastes for Selective Adsorption of Lead and Cesium from Water. AIP Conf. Proc. 2020, 2210, 020006. [Google Scholar]
- Sun, D.; Hale, L.; Kar, G.; Soolanayakanahally, R.; Adl, S. Phosphorus recovery and reuse by pyrolysis: Applications for agriculture and environment. Chemosphere 2018, 194, 682–691. [Google Scholar] [CrossRef]
- Guaya, D.; Cobos, H.; Camacho, J.; López, C.M.; Valderrama, C.; Cortina, J.L. LTA and FAU-X Iron-Enriched Zeolites: Use for Phosphate Removal from Aqueous Medium. Materials 2022, 15, 5418. [Google Scholar] [CrossRef] [PubMed]
- Hermassi, M.; Valderrama, C.; Moreno, N.; Font, O.; Querol, X.; Batis, N.H.; Cortina, J.L. Fly ash as reactive sorbent for phosphate removal from treated waste water as a potential slow release fertilizer. J. Environ. Chem. Eng. 2016, 5, 160–169. [Google Scholar] [CrossRef]
- Iqhrammullah, M.; Saleha, S.; Maulina, F.P.; Idroes, R. Polyurethane film prepared from ball-milled algal polyol particle and activated carbon filler for NH3–N removal. Heliyon 2020, 6, e04590. [Google Scholar] [CrossRef]
- Doušová, B.; Koloušek, D.; Lhotka, M.; Keppert, M.; Urbanová, M.; Kobera, L.; Brus, J. Waste Brick Dust as Potential Sorbent of Lead and Cesium from Contaminated Water. Materials 2019, 12, 1647. [Google Scholar] [CrossRef] [PubMed]
- Doušová, B.; Koloušek, D.; Keppert, M.; Machovic, V.; Lhotka, M.; Urbanova, M.; Holcova, L. Use of waste ceramics in ad-sorption technologies. Appl. Clay Sci. 2016, 8, 145–152. [Google Scholar] [CrossRef]
- Jeong, Y.; Fan, M.; Singh, S.; Chuang, C.-L.; Saha, B.; van Leeuwen, J.H. Evaluation of iron oxide and aluminum oxide as potential arsenic(V) adsorbents. Chem. Eng. Process.-Process Intensif. 2007, 46, 1030–1039. [Google Scholar] [CrossRef]
- Wang, C.; Boithias, L.; Ning, Z.; Han, Y.; Sauvage, S.; Sánchez-Pérez, J.-M.; Kuramochi, K.; Hatano, R. Comparison of Langmuir and Freundlich adsorption equations within the SWAT-K model for assessing potassium environmental losses at basin scale. Agric. Water Manag. 2017, 180, 205–211. [Google Scholar] [CrossRef]
- Maji, S.K.; Pal, A.; Pal, T. Arsenic removal from real-life groundwater by adsorption on laterite soil. J. Hazard. Mater. 2008, 151, 811–820. [Google Scholar] [CrossRef]
- Doušová, B.; Grygar, T.; Martaus, A.; Fuitová, L.; Koloušek, D.; Machovič, V. Sorption of AsV on aluminosilicates treated with FeII nanoparticles. J. Colloid Interface Sci. 2006, 302, 424–431. [Google Scholar]
- Bonnin, D. Method of removing arsenic species from an aqueous medium using modified zeolite minerals. U.S. Patent No. 6,042,731, 28 March 2000. [Google Scholar]
- Doušová, B.; Fuitová, L.; Grygar, T.; Machovič, V.; Koloušek, D.; Herzogová, L.; Miloslav, L. Modified aluminosilicates as low-cost sorbents of As(III) from anoxic groundwater. J. Hazard. Mater. 2009, 165, 134–140. [Google Scholar]
- Doušová, B.; Machovič, V.; Lhotka, M.; Reiterman, P.; Bedrnová, E.; Koloušek, D. Mechanism of chromate adsorption on Fe-modified concrete slurry waste. Colloids Surf. A 2022, 650, 129650. [Google Scholar] [CrossRef]
- CEN. Characterization of Waste-Leaching-Compliance Test for Leaching of Granular Waste Materials and Sludges. Part 2. One Stage Batch Test at a Liquid to Solid Ratio of 10 L/kg for Materials with Particle Size below 4 mm (without or with Size Reduction), EN 12457-2; Comite Europeen de Normalisation: Brussels, Belgium, 2002. [Google Scholar]
- Stanovení Amoniakálního Dusíku ve Vodě, 2007. Masarykova Střední Škola Chemická: Návody na Chemické Rozbory. Available online: http://old.mssch.cz/2004-2009/old.mssch.cz/index9b0f.html?kat=189&idclanek=692 (accessed on 2 February 2022).
- Malát, M. Metody stanovení fosforu. In Absorpční Anorganická Fotometrie; Academia: Prague, Czech Republic, 1973; pp. 470–473. [Google Scholar]







| Sample | Chemical Composition (% wt.) | SBET (m2·g−1) | pHZPC | ||||||
|---|---|---|---|---|---|---|---|---|---|
| SiO2 | Al2O3 | Fe2O3 | TiO2 | CaO | MgO | P2O5 | |||
| B | 32.3 | 6.6 | 1.3 | <0.1 | 46.9 | 1.8 | 0.2 | 38.2 | 10.3 |
| BFe | 26.6 | 4.3 | 29.8 | 0.4 | 18.7 | 2.1 | 0.1 | 118.2 | 7.5 |
| TS | 85.3 | 35.0 | 0.01 | 0.0 | 3.6 | 1.8 | 0.6 | 2.1 | 6.2 |
| TSFe | 75.6 | 28.9 | 5.4 | 0.06 | 2.8 | 1.9 | 0.4 | 14.9 | 6.7 |
| Ion | Sorbent | qmax. (mmol·g−1) | Langmuir Model | Freundlich Model | ||||||
|---|---|---|---|---|---|---|---|---|---|---|
| Qt * (mmol·g−1) | KL * (L·mmol−1) | R2 * | RMSE | 1/n * | KF * (mmol·g−1) | R2 * | RMSE | |||
| NH4+ | B | 0.06 | -** | -** | -** | -** | -** | -** | -** | -** |
| BFe | 0.04 | -** | -** | -** | -** | 0.95 | 0.008 | 0.565 | 0.001 | |
| TS | 0.06 | 0.09 | 0.62 | 0.897 | 0.004 | 0.62 | 0.032 | 0.894 | 0.002 | |
| TSFe | 0.01 | -** | -** | -** | -** | 0.96 | 0.005 | 0.496 | 0.001 | |
| PO43− | B | 0.06 | 0.03 | 1922.39 | 0.944 | 0.011 | 0.69 | 2.36 | 0.935 | 0.006 |
| BFe | 0.07 | 0.07 | 1868.00 | 0.966 | 0.007 | 0.80 | 8.89 | 0.952 | 0.004 | |
| TS | -*** | -** | -** | -** | -** | -** | -** | -** | -** | |
| TSFe | 0.06 | 0.04 | 1439.24 | 0.978 | 0.007 | 0.68 | 2.33 | 0.956 | 0.004 | |
| Adsorption System | Pseudo-First-Order Kinetics Model | Pseudo-Second-Order Kinetics Model | ||
|---|---|---|---|---|
| R2 | k1 (h−1) | R2 | k2 (g·mmol−1·h−1) | |
| PO43−—B | 0.782 | 0.11 | 0.999 | 124.8 |
| PO43−—BFe | 0.934 | 0.20 | 0.999 | 39.3 |
| PO43−—TSFe | 0.983 | 0.21 | 0.999 | 20.3 |
| NH4+—TS | 0.983 | 0.31 | 0.999 | 11.6 |
Disclaimer/Publisher’s Note: The statements, opinions and data contained in all publications are solely those of the individual author(s) and contributor(s) and not of MDPI and/or the editor(s). MDPI and/or the editor(s) disclaim responsibility for any injury to people or property resulting from any ideas, methods, instructions or products referred to in the content. |
© 2023 by the authors. Licensee MDPI, Basel, Switzerland. This article is an open access article distributed under the terms and conditions of the Creative Commons Attribution (CC BY) license (https://creativecommons.org/licenses/by/4.0/).
Share and Cite
Bedrnová, E.; Doušová, B.; Koloušek, D.; Maxová, K.; Angelis, M. Adsorption of Phosphate and Ammonium on Waste Building Sludge. Materials 2023, 16, 1448. https://doi.org/10.3390/ma16041448
Bedrnová E, Doušová B, Koloušek D, Maxová K, Angelis M. Adsorption of Phosphate and Ammonium on Waste Building Sludge. Materials. 2023; 16(4):1448. https://doi.org/10.3390/ma16041448
Chicago/Turabian StyleBedrnová, Eva, Barbora Doušová, David Koloušek, Kateřina Maxová, and Milan Angelis. 2023. "Adsorption of Phosphate and Ammonium on Waste Building Sludge" Materials 16, no. 4: 1448. https://doi.org/10.3390/ma16041448
APA StyleBedrnová, E., Doušová, B., Koloušek, D., Maxová, K., & Angelis, M. (2023). Adsorption of Phosphate and Ammonium on Waste Building Sludge. Materials, 16(4), 1448. https://doi.org/10.3390/ma16041448

