Enhanced Thermoelectric Properties of Misfit Bi2Sr2-xCaxCo2Oy: Isovalent Substitutions and Selective Phonon Scattering
Abstract
1. Introduction
2. Experimental Methods
3. Results and Discussion
3.1. Structural and Elementary Characterization
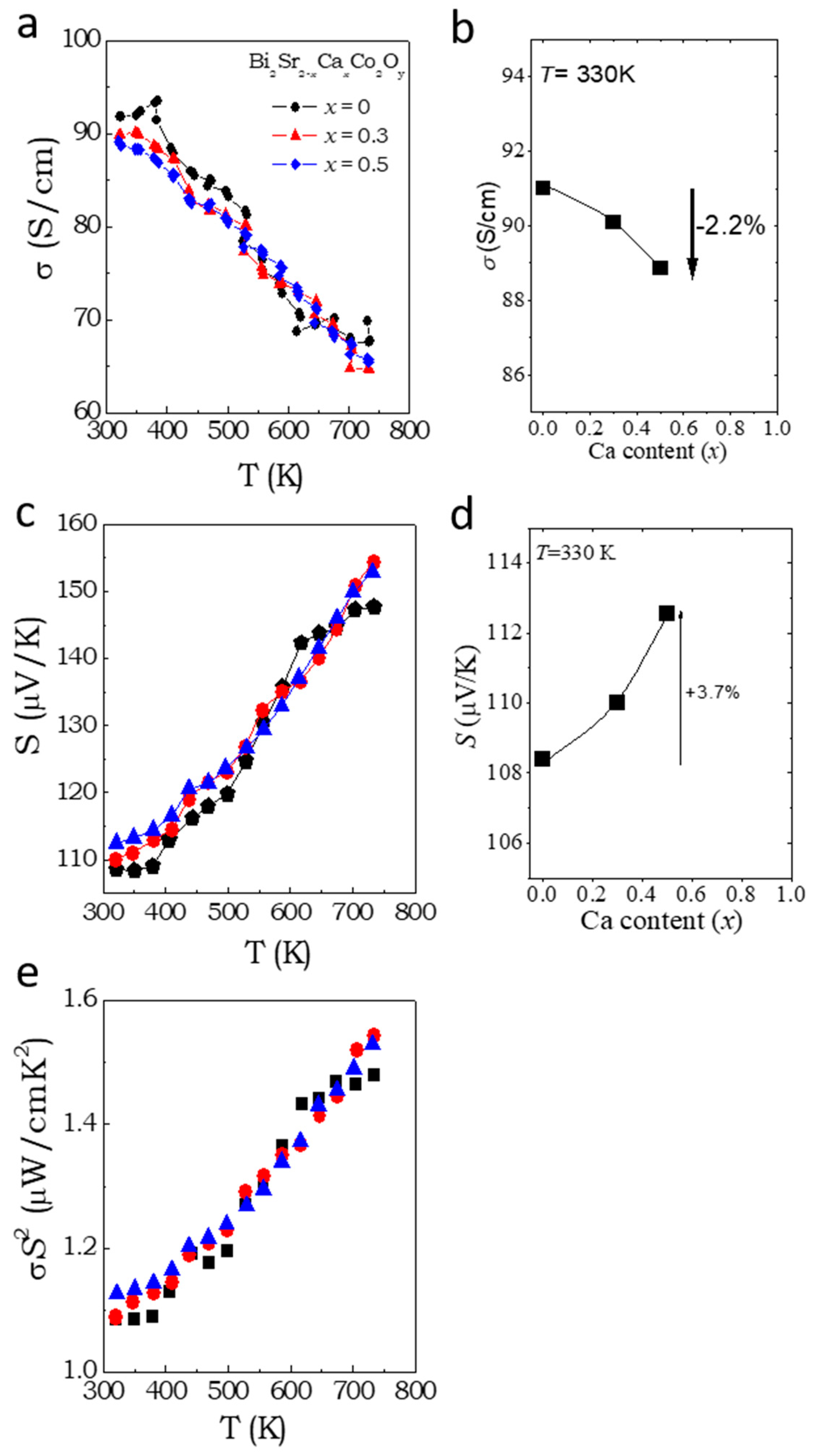
3.2. Thermoelectric Transport Properties
4. Summary
Author Contributions
Funding
Institutional Review Board Statement
Informed Consent Statement
Data Availability Statement
Acknowledgments
Conflicts of Interest
References
- Sootsman, J.R.; Chung, D.Y.; Kanatzidis, M.G. New and Old Concepts in Thermoelectric Materials. Angew. Chemie Int. Ed. 2009, 48, 8616–8639. [Google Scholar] [CrossRef]
- Snyder, G.J.; Toberer, E.S. Complex Thermoelectric Materials. Nat. Mater. 2008, 7, 105–114. [Google Scholar] [CrossRef]
- Chen, C.; Wang, T.; Yu, Z.; Hutabalian, Y.; Vankayala, R.K.; Chen, C.; Hsieh, W.; Jeng, H.; Wei, D.; Chen, Y. Modulation Doping Enables Ultrahigh Power Factor and Thermoelectric ZT in N-Type Bi 2 Te 2.7 Se 0.3. Adv. Sci. 2022, 9, 2201353. [Google Scholar] [CrossRef]
- Terada, T.; Uematsu, Y.; Ishibe, T.; Naruse, N.; Sato, K.; Nguyen, T.Q.; Kobayashi, E.; Nakano, H.; Nakamura, Y. Giant Enhancement of Seebeck Coefficient by Deformation of Silicene Buckled Structure in Calcium-Intercalated Layered Silicene Film. Adv. Mater. Interfaces 2022, 9, 2101752. [Google Scholar] [CrossRef]
- Su, L.; Wang, D.; Wang, S.; Qin, B.; Wang, Y.; Qin, Y.; Jin, Y.; Chang, C.; Zhao, L.-D. High Thermoelectric Performance Realized through Manipulating Layered Phonon-Electron Decoupling. Science 2022, 375, 1385–1389. [Google Scholar] [CrossRef]
- Ahmad, M.; Agarwal, K.; Munoz, S.G.; Ghosh, A.; Kodan, N.; Kolosov, O.V.; Mehta, B.R. Engineering Interfacial Effects in Electron and Phonon Transport of Sb2 Te3 /MoS2 Multilayer for Thermoelectric ZT Above 2.0. Adv. Funct. Mater. 2022, 32, 2206384. [Google Scholar] [CrossRef]
- Fergus, J.W. Oxide Materials for High Temperature Thermoelectric Energy Conversion. J. Eur. Ceram. Soc. 2012, 32, 525–540. [Google Scholar] [CrossRef]
- Nag, A.; Shubha, V. Oxide Thermoelectric Materials: A Structure—Property Relationship. J. Electron. Mater. 2014, 43, 962–977. [Google Scholar] [CrossRef]
- Chatterjee, A.; Chavez-Angel, E.; Ballesteros, B.; Caicedo, J.M.; Padilla-Pantoja, J.; Leborán, V.; Sotomayor Torres, C.M.; Rivadulla, F.; Santiso, J. Large Thermoelectric Power Variations in Epitaxial Thin Films of Layered Perovskite GdBaCo2O5.5±δ with a Different Preferred Orientation and Strain. J. Mater. Chem. A 2020, 8, 19975–19983. [Google Scholar] [CrossRef]
- Bhansali, S.; Khunsin, W.; Chatterjee, A.; Santiso, J.; Abad, B.; Martin-Gonzalez, M.; Jakob, G.; Sotomayor Torres, C.M.; Chávez-Angel, E. Enhanced Thermoelectric Properties of Lightly Nb Doped SrTiO3 Thin Films. Nanoscale Adv. 2019, 1, 3647–3653. [Google Scholar] [CrossRef]
- Chatterjee, A.; Lan, Z.; Christensen, D.V.; Bauitti, F.; Morata, A.; Chavez-Angel, E.; Sanna, S.; Castelli, I.E.; Chen, Y.; Tarancon, A.; et al. On the Thermoelectric Properties of Nb-Doped SrTiO3 Epitaxial Thin Films. Phys. Chem. Chem. Phys. 2022, 24, 3741–3748. [Google Scholar] [CrossRef]
- Terasaki, I.; Sasago, Y.; Uchinokura, K. Large Thermoelectric Power in NaCo2O4 Single Crystals. Phys. Rev. B 1997, 56, R12685–R12687. [Google Scholar] [CrossRef]
- Zhao, L.-D.; He, J.; Berardan, D.; Lin, Y.; Li, J.-F.; Nan, C.-W.; Dragoe, N. BiCuSeO Oxyselenides: New Promising Thermoelectric Materials. Energy Environ. Sci. 2014, 7, 2900–2924. [Google Scholar] [CrossRef]
- Chen, Y.-X.; Qin, W.; Mansoor, A.; Abbas, A.; Li, F.; Liang, G.; Fan, P.; Muzaffar, M.U.; Jabar, B.; Ge, Z.; et al. Realizing High Thermoelectric Performance via Selective Resonant Doping in Oxyselenide BiCuSeO. Nano Res. 2023, 16, 1679–1687. [Google Scholar] [CrossRef]
- Yamauchi, H.; Sakai, K.; Nagai, T.; Matsui, Y.; Karppinen, M. Parent of Misfit-Layered Cobalt Oxides: [Sr2 O2]q CoO2. Chem. Mater. 2006, 18, 155–158. [Google Scholar] [CrossRef]
- Funahashi, R.; Shikano, M. Bi2Sr2Co2Oy Whiskers with High Thermoelectric Figure of Merit. Appl. Phys. Lett. 2002, 81, 1459–1461. [Google Scholar] [CrossRef]
- Koumoto, K.; Terasaki, I.; Funahashi, R. Complex Oxide Materials for Potential Thermoelectric Applications. MRS Bull. 2006, 31, 206–210. [Google Scholar] [CrossRef]
- Leligny, H.; Grebille, D.; Pérez, O.; Masset, A.C.; Hervieu, M.; Raveau, B. A Five-Dimensional Structural Investigation of the Misfit Layer Compound [Bi0.87SrO2] 2 [CoO2]1.82. Acta Crystallogr. Sect. B Struct. Sci. 2000, 56, 173–182. [Google Scholar] [CrossRef]
- Li, L.; Yan, X.-J.; Dong, S.-T.; Lv, Y.-Y.; Li, X.; Yao, S.-H.; Chen, Y.-B.; Zhang, S.-T.; Zhou, J.; Lu, H.; et al. Ultra-Low Thermal Conductivities along c -Axis of Naturally Misfit Layered Bi2[AE]2Co2Oy (AE = Ca, Ca0.5Sr0.5, Sr, Ba) Single Crystals. Appl. Phys. Lett. 2017, 111, 033902. [Google Scholar] [CrossRef]
- Terasaki, I.; Tanaka, H.; Satake, A.; Okada, S.; Fujii, T. Out-of-Plane Thermal Conductivity of the Layered Thermoelectric Oxide Bi2−xPbxSr2Co2Oy. Phys. Rev. B 2004, 70, 214106. [Google Scholar] [CrossRef]
- Satake, A.; Tanaka, H.; Ohkawa, T.; Fujii, T.; Terasaki, I. Thermal Conductivity of the Thermoelectric Layered Cobalt Oxides Measured by the Harman Method. J. Appl. Phys. 2004, 96, 931–933. [Google Scholar] [CrossRef]
- Yang, G.; Ramasse, Q.; Klie, R.F. Direct Measurement of Charge Transfer in Thermoelectric Ca3Co4O9. Phys. Rev. B 2008, 78, 153109. [Google Scholar] [CrossRef]
- Brouet, V.; Nicolaou, A.; Zacchigna, M.; Tejeda, A.; Patthey, L.; Hébert, S.; Kobayashi, W.; Muguerra, H.; Grebille, D. Direct Observation of Strong Correlations near the Band Insulator Regime of Bi Misfit Cobaltates. Phys. Rev. B 2007, 76, 100403. [Google Scholar] [CrossRef]
- Yamamoto, T.; Uchinokura, K.; Tsukada, I. Physical Properties of the Misfit-Layered (Bi,Pb)-Sr-Co-O System: Effect of Hole Doping into a Triangular Lattice Formed by Low-Spin Co Ions. Phys. Rev. B 2002, 65, 184434. [Google Scholar] [CrossRef]
- Lee, M.; Viciu, L.; Li, L.; Wang, Y.; Foo, M.L.; Watauchi, S.; Pascal, R.A., Jr.; Cava, R.J.; Ong, N.P. Large Enhancement of the Thermopower in NaxCoO2 at High Na Doping. Nat. Mater. 2006, 5, 537–540. [Google Scholar] [CrossRef]
- Hsu, H.C.; Lee, W.L.; Wu, K.K.; Kuo, Y.K.; Chen, B.H.; Chou, F.C. Enhanced Thermoelectric Figure-of-Merit ZT for Hole-Doped Bi2Sr2Co2Oy through Pb Substitution. J. Appl. Phys. 2012, 111, 103709. [Google Scholar] [CrossRef]
- Itoh, T.; Terasaki, I. Thermoelectric Properties of Bi2.3-xPbxSr2.6Co2Oy Single Crystals. Jpn. J. Appl. Phys. 2000, 39, 6658. [Google Scholar] [CrossRef]
- Kobayashi, W.; Hebert, S.; Muguerra, H.; Grebille, D.; Pelloquin, D.; Maignan, A. Thermoelectric Properties in the Misfit-Layered-Cobalt Oxides [Bi2A2O4][CoO2]B1/B2 (A = Ca, Sr, Ba, B1/B2 = 1.65, 1.82, 1.98) Single Crystals. In Proceedings of the 2007 26th International Conference on Thermoelectrics, Jeju, Republic of Korea, 3–7 June 2007; pp. 117–120. [Google Scholar]
- Funahashi, R.; Matsubara, I.; Sodeoka, S. Thermoelectric Properties of Bi2Sr2Co2Ox Polycrystalline Materials. Appl. Phys. Lett. 2000, 76, 2385–2387. [Google Scholar] [CrossRef]
- Yin, L.H.; Ang, R.; Huang, Z.H.; Liu, Y.; Tan, S.G.; Huang, Y.N.; Zhao, B.C.; Song, W.H.; Sun, Y.P. Exotic Reinforcement of Thermoelectric Power Driven by Ca Doping in Layered Bi2Sr2−xCaxCo2OY. Appl. Phys. Lett. 2013, 102, 141907. [Google Scholar] [CrossRef]
- Yin, L.H.; Ang, R.; Huang, Y.N.; Jiang, H.B.; Zhao, B.C.; Zhu, X.B.; Song, W.H.; Sun, Y.P. The Contribution of Narrow Band and Modulation of Thermoelectric Performance in Doped Layered Cobaltites Bi2Sr2Co2Oy. Appl. Phys. Lett. 2012, 100, 173503. [Google Scholar] [CrossRef]
- Huang, Y.; Zhao, B.; Lin, S.; Sun, Y. Optimization of Thermoelectric Properties in Layered Bi2Sr2Co2Oy via High-Magnetic-Field Sintering. J. Alloys Compd. 2017, 705, 745–748. [Google Scholar] [CrossRef]
- Dames, C. Measuring the Thermal Conductivity of Thin Films: 3 Omega and Related Electrothermal Methods. Annu. Rev. Heat Transf. 2013, 16, 7–49. [Google Scholar] [CrossRef]
- Hay, B.; Filtz, J.R.; Hameury, J.; Rongione, L. Uncertainty of Thermal Diffusivity Measurements by Laser Flash Method. Int. J. Thermophys. 2005, 26, 1883–1898. [Google Scholar] [CrossRef]
- Shannon, R.D. Revised Effective Ionic Radii and Systematic Studies of Interatomic Distances in Halides and Chalcogenides. Acta Crystallogr. Sect. A 1976, 32, 751–767. [Google Scholar] [CrossRef]
- Takeuchi, T.; Kondo, T.; Takami, T.; Takahashi, H.; Ikuta, H.; Mizutani, U.; Soda, K.; Funahashi, R.; Shikano, M.; Mikami, M.; et al. Contribution of Electronic Structure to the Large Thermoelectric Power in Layered Cobalt Oxides. Phys. Rev. B 2004, 69, 125410. [Google Scholar] [CrossRef]
- Kobayashi, W.; Muguerra, H.; Hébert, S.; Grebille, D.; Maignan, A. Metallicity and Positive Magnetoresistance Induced by Pb Substitution in a Misfit Cobaltate Crystal. J. Phys. Condens. Matter 2009, 21, 235404. [Google Scholar] [CrossRef]
- Limelette, P.; Hébert, S.; Muguerra, H.; Frésard, R.; Simon, C. Dual Electronic States in Thermoelectric Cobalt Oxide [Bi1.7Ca2O4]0.59CoO2. Phys. Rev. B 2008, 77, 235118. [Google Scholar] [CrossRef]
- Chaikin, P.M.; Beni, G. Thermopower in the Correlated Hopping Regime. Phys. Rev. B 1976, 13, 647–651. [Google Scholar] [CrossRef]
- Carleschi, E.; Malvestuto, M.; Zacchigna, M.; Nicolaou, A.; Brouet, V.; Hébert, S.; Muguerra, H.; Grebille, D.; Parmigiani, F. Electronic Structure and Charge Transfer Processes in a Bi-Ca Misfit Cobaltate. Phys. Rev. B 2009, 80, 035114. [Google Scholar] [CrossRef]
- Morita, Y.; Poulsen, J.; Sakai, K.; Motohashi, T.; Fujii, T.; Terasaki, I.; Yamauchi, H.; Karppinen, M. Oxygen Nonstoichiometry and Cobalt Valence in Misfit-Layered Cobalt Oxides. J. Solid State Chem. 2004, 177, 3149–3155. [Google Scholar] [CrossRef]
- Koshibae, W.; Maekawa, S. Effects of Spin and Orbital Degeneracy on the Thermopower of Strongly Correlated Systems. Phys. Rev. Lett. 2001, 87, 236603. [Google Scholar] [CrossRef] [PubMed]
- Koshibae, W.; Tsutsui, K.; Maekawa, S. Thermopower in Cobalt Oxides. Phys. Rev. B 2000, 62, 6869–6872. [Google Scholar] [CrossRef]
- Rivas-Murias, B.; Manuel Vila-Fungueiriño, J.; Rivadulla, F. High Quality Thin Films of Thermoelectric Misfit Cobalt Oxides Prepared by a Chemical Solution Method. Sci. Rep. 2015, 5, 11889. [Google Scholar] [CrossRef]
- Diao, Z.; Lee, H.N.; Chisholm, M.F.; Jin, R. Thermoelectric Properties of Bi2Sr2Co2Oy Thin Films and Single Crystals. Phys. B Condens. Matter 2017, 511, 42–46. [Google Scholar] [CrossRef]
- Xiao, P.; Chavez-Angel, E.; Chaitoglou, S.; Sledzinska, M.; Dimoulas, A.; Sotomayor Torres, C.M.; El Sachat, A. Anisotropic Thermal Conductivity of Crystalline Layered SnSe2. Nano Lett. 2021, 21, 9172–9179. [Google Scholar] [CrossRef]
- Graczykowski, B.; El Sachat, A.; Reparaz, J.S.; Sledzinska, M.; Wagner, M.R.; Chavez-Angel, E.; Wu, Y.; Volz, S.; Wu, Y.; Alzina, F.; et al. Thermal Conductivity and Air-Mediated Losses in Periodic Porous Silicon Membranes at High Temperatures. Nat. Commun. 2017, 8, 415. [Google Scholar] [CrossRef]
- Zhao, L.-D.; Lo, S.-H.; He, J.; Li, H.; Biswas, K.; Androulakis, J.; Wu, C.-I.; Hogan, T.P.; Chung, D.-Y.; Dravid, V.P.; et al. High Performance Thermoelectrics from Earth-Abundant Materials: Enhanced Figure of Merit in PbS by Second Phase Nanostructures. J. Am. Chem. Soc. 2011, 133, 20476–20487. [Google Scholar] [CrossRef]





| Composition | Crystallinity | Method of Synthesis | κ (W/mK) | T (K) | Sintering Method | Method of Measurement | Reference |
|---|---|---|---|---|---|---|---|
| Bi2Sr2Co2Oy | Single crystal | Floating zone technique | 1.8 | 300 | - | 4 probe method in PPMS | Diao, et al. [45] |
| Bi2Sr2Co2Oy | Whisker | Sintered precursor (SP) method | 2.2 (in-plane) | 300 | - | Diffusivity | Funahashi, et al. [16] |
| Bi2Sr2Co2Oy | Single crystal | traveling-solvent floating-zone method | 2.0 (b-axis) 2.4 (a-axis) | 300 | - | Herman method | Satake, et al. [21] |
| Bi2Sr2Co2Oy | Single crystal | Flux method | 0.24 (ab-plane) | 300 | - | Time domain thermoreflectance | Li, et al. [19] |
| Bi2-xPbxSr2Co2Oy | Single crystal | traveling-solvent-floating-zone technique | 0.45 (along a-axis) 3.0 (along b & c-axes) | 300 | - | Steady state method | Terasaki, et al. [20] |
| Bi2-xPbxSr2Co2Oy | Single crystal | optical floating-zone method | 4.4 (x = 0) 3.0 (x = 0.35) 2.8 (x = 0.55) | 300 | - | Closed cycle refrigerator (direct heat pulse) | Hsu, et al. [26] |
| Bi2Sr2Co2Oy | Polycrystalline | Solid state heat treatment | 0.8–1.4 | 400 | Sintered at 1113 K in air | Laser flash | Funahashi, et al. [29] |
| Bi2Sr2-xCaxCo2Oy | Polycrystalline | Sol-gel | 3.5 (x = 0) 2.0 (x = 0.3) 2.8 (x = 0.5) | 300 | Sintered at 1073 K | 4 probe method in PPMS | Yin, et al. [30,31] |
| Bi2Sr2Co2Oy | Polycrystalline | Sol-gel | 1.8 (0 Tesla) 1.6 (4 Tesla) 1.5 (8 Tesla) | 300 | high magnetic field sintering | 4 probe method in PPMS | Huang, et al. [32] |
| Bi2Sr2-xCaxCo2Oy | polycrystalline | Solid state reactions at high temperature | 1.6 (x = 0) 1.2 (x = 0.3) 1.3 (x = 0.5) | 340 | Spark plasma sintered | Laser flash | This work |
Disclaimer/Publisher’s Note: The statements, opinions and data contained in all publications are solely those of the individual author(s) and contributor(s) and not of MDPI and/or the editor(s). MDPI and/or the editor(s) disclaim responsibility for any injury to people or property resulting from any ideas, methods, instructions or products referred to in the content. |
© 2023 by the authors. Licensee MDPI, Basel, Switzerland. This article is an open access article distributed under the terms and conditions of the Creative Commons Attribution (CC BY) license (https://creativecommons.org/licenses/by/4.0/).
Share and Cite
Chatterjee, A.; Banik, A.; El Sachat, A.; Caicedo Roque, J.M.; Padilla-Pantoja, J.; Sotomayor Torres, C.M.; Biswas, K.; Santiso, J.; Chavez-Angel, E. Enhanced Thermoelectric Properties of Misfit Bi2Sr2-xCaxCo2Oy: Isovalent Substitutions and Selective Phonon Scattering. Materials 2023, 16, 1413. https://doi.org/10.3390/ma16041413
Chatterjee A, Banik A, El Sachat A, Caicedo Roque JM, Padilla-Pantoja J, Sotomayor Torres CM, Biswas K, Santiso J, Chavez-Angel E. Enhanced Thermoelectric Properties of Misfit Bi2Sr2-xCaxCo2Oy: Isovalent Substitutions and Selective Phonon Scattering. Materials. 2023; 16(4):1413. https://doi.org/10.3390/ma16041413
Chicago/Turabian StyleChatterjee, Arindom, Ananya Banik, Alexandros El Sachat, José Manuel Caicedo Roque, Jessica Padilla-Pantoja, Clivia M. Sotomayor Torres, Kanishka Biswas, José Santiso, and Emigdio Chavez-Angel. 2023. "Enhanced Thermoelectric Properties of Misfit Bi2Sr2-xCaxCo2Oy: Isovalent Substitutions and Selective Phonon Scattering" Materials 16, no. 4: 1413. https://doi.org/10.3390/ma16041413
APA StyleChatterjee, A., Banik, A., El Sachat, A., Caicedo Roque, J. M., Padilla-Pantoja, J., Sotomayor Torres, C. M., Biswas, K., Santiso, J., & Chavez-Angel, E. (2023). Enhanced Thermoelectric Properties of Misfit Bi2Sr2-xCaxCo2Oy: Isovalent Substitutions and Selective Phonon Scattering. Materials, 16(4), 1413. https://doi.org/10.3390/ma16041413

