Electrophoretic Deposition of Co3O4 Particles/Reduced Graphene Oxide Composites for Efficient Non-Enzymatic H2O2 Sensing
Abstract
:1. Introduction
2. Materials and Methods
2.1. Chemicals
2.2. Preparation of the Co3O4/rGO/ITO Interfaces
2.3. Instrumentation
3. Results and Discussion
3.1. Characterization of the Co3O4/rGO Composites
3.2. Electrocatalytic Performance of Co3O4/rGO in H2O2 Reduction

3.3. Optimization of Deposition Conditions
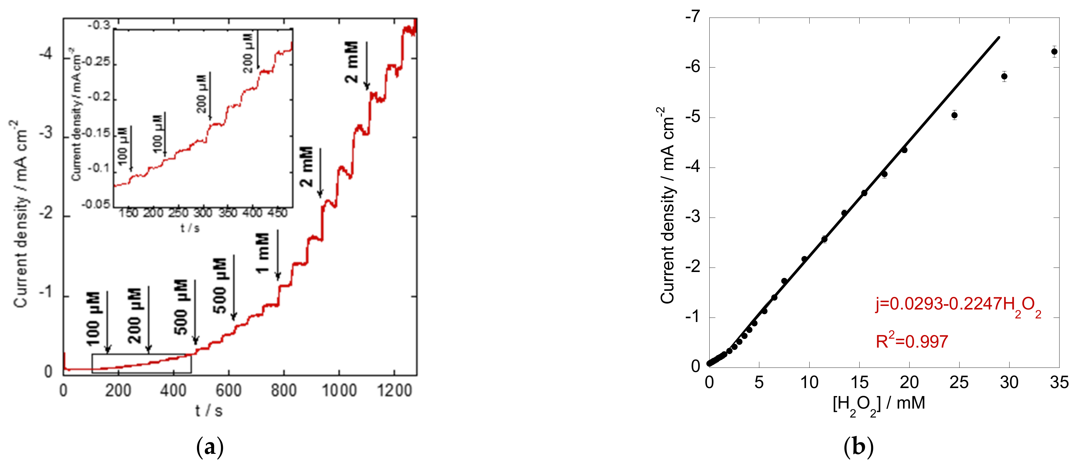
3.4. Amperometric Detection of H2O2
3.5. Selectivity, Reproducibility, and Long-Term Stability
3.6. Real Sample Analysis
4. Conclusions
Author Contributions
Funding
Institutional Review Board Statement
Informed Consent Statement
Data Availability Statement
Conflicts of Interest
References
- Burek, B.; Bormann, S.; Hollmann, F.; Bloh, J.; Holtmann, D. Hydrogen peroxide driven biocatalysis. Green Chem. 2019, 21, 3232–3249. [Google Scholar] [CrossRef]
- Ju, J.; Chen, W. In situ growth of surfactant-free gold nanoparticles on nitrogen-doped graphene quantum dots for electrochemical detection of hydrogen peroxide in biological environments. Anal. Chem. 2015, 87, 1903–1910. [Google Scholar] [CrossRef] [PubMed]
- Salimi, A.; Hallaj, R.; Soltanian, S.; Mamkhezri, H. Nanomolar detection of hydrogen peroxide on glassy carbon electrode modified with electrodeposited cobalt oxide nanoparticles. Anal. Chim. Acta 2007, 594, 24–31. [Google Scholar] [CrossRef]
- Thirumalraj, B.; Rajkumar, C.; Chen, S.-M.; Barathi, P. Highly stable biomolecule supported by gold nanoparticles/graphene nanocomposite as a sensing platform for H2O2 biosensor application. J. Mater. Chem. B 2016, 4, 6335–6343. [Google Scholar] [CrossRef] [PubMed]
- Wu, P.; Cai, Z.; Gao, Y.; Zhang, H.; Cai, C. Enhancing the electrochemical reduction of hydrogen peroxide based on nitrogen-doped graphene for measurement of its releasing process from living cells. Chem. Commun. 2011, 47, 11327–11329. [Google Scholar] [CrossRef]
- Das, P.; Das, M.; Chinnadayyala, S.R.; Singha, I.M.; Goswami, P. Recent advances on developing 3rd generation enzyme electrode for biosensor applications. Biosens. Bioelectron. 2016, 79, 386–397. [Google Scholar] [CrossRef]
- Thatikayala, D.; Ponnamma, D.; Sadasivuni, K.K.; Cabibihan, J.-J.; Al-Ali, A.K.; Malik, R.A.; Min, B. Progress of advanced nanomaterials in the non-enzymatic electrochemical sensing of glucose and H2O2. Biosensors 2020, 10, 151. [Google Scholar] [CrossRef]
- Kogularasu, S.; Govindasamy, M.; Chen, S.-M.; Akilarasan, M.; Mani, V. 3D graphene oxide-cobalt oxide polyhedrons for highly sensitive non-enzymatic electrochemical determination of hydrogen peroxide. Sens. Actuators B Chem. 2017, 253, 773–783. [Google Scholar] [CrossRef]
- Zhang, T.; He, C.; Sun, F.; Ding, Y.; Wang, M.; Peng, L.; Wang, J.; Lin, Y. Co3O4 nanoparticles anchored on nitrogen-doped reduced graphene oxide as a multifunctional catalyst for H2O2 reduction, oxygen reduction and evolution reaction. Sci. Rep. 2017, 7, 43638. [Google Scholar] [CrossRef]
- Hoa, L.T.; Chung, J.S.; Hur, S.H. A highly sensitive enzyme-free glucose sensor based on Co3O4 nanoflowers and 3D graphene oxide hydrogel fabricated via hydrothermal synthesis. Sens. Actuators B Chem. 2016, 223, 76–82. [Google Scholar] [CrossRef]
- Abd-Elrahim, A.G.; Chun, D.-M. Fabrication of efficient nanostructured Co3O4-graphene bifunctional catalysts: Oxygen evolution, hydrogen evolution, and H2O2 sensing. Ceram. Int. 2020, 46, 23479–23498. [Google Scholar] [CrossRef]
- Wu, Q.; Sheng, Q.; Zheng, J. Non enzymatic amperometric sensing of hydrogen peroxide using a glassy carbon electrode modified with a sandwich-structured nanocomposite consisting of silver nanoparticles, Co3O4 and reduced graphene oxide. Microchim. Acta 2016, 183, 1943–1951. [Google Scholar] [CrossRef]
- Zhang, X.; Mao, Z.; Zhao, Y.; Wu, Y.; Liu, C.; Wang, X. Highly sensitive electrochemical sensing platform: Carbon cloth enhanced performance of Co3O4/rGO nanocomposite for detection of H2O2. J. Mater. Sci. 2020, 55, 5445–5457. [Google Scholar] [CrossRef]
- Zhang, D.; Zou, W. Decorating reduced graphene oxide with Co3O4 hollow spheres and their application in supercapacitor materials. Curr. Appl. Phys. 2013, 13, 1796–1800. [Google Scholar] [CrossRef]
- Huang, S.; Jin, Y.; Jia, M. Preparation of graphene/Co3O4 composites by hydrothermal method and their electrochemical properties. Electrochim. Acta 2013, 95, 139–145. [Google Scholar] [CrossRef]
- Yang, S.; Liu, Y.; Hao, Y.; Yang, X.; Cao, B. Oxygen-vacancy abundant ultrafine Co3O4/graphene composites for high-rate supercapacitor electrodes. Adv. Sci. 2018, 5, 1700659. [Google Scholar] [CrossRef]
- Dong, X.C.; Xu, H.; Wang, X.W.; Huang, Y.X.; Chan Park, M.B.; Zhang, H.; Wang, L.H.; Huang, W.; Chen, P. 3D graphene–cobalt oxide electrode for high-performance supercapacitor and enzymeless glucose detection. ACS Nano 2012, 6, 3206–3213. [Google Scholar] [CrossRef]
- Sun, H.; Sun, X.; Hu, T.; Yu, M.; Lu, F.; Lian, J. Graphene-wrapped mesoporous cobalt oxide hollow spheres anode for high-rate and long-life lithium ion batteries. J. Phys. Chem. C 2014, 118, 2263–2272. [Google Scholar] [CrossRef]
- Shen, K.; Zhai, S.; Wang, S.; Ru, Q.; Hou, X.; San Hui, K.; Nam Hui, K.; Chen, F. Recent progress in binder-free electrodes synthesis for electrochemical energy storage application. Batter. Supercaps 2021, 4, 860–880. [Google Scholar] [CrossRef]
- Daryakenari, A.A.; Mosallanejad, B.; Zare, E.; Ahmadidaryakenari, M.; Delaunay, J.J. Highly efficient electrocatalysts fabricated via electrophoretic deposition for alcohol oxidation, oxygen reduction, hydrogen evolution, and oxygen evolution reactions. Int. J. Hydrog. Energy 2020, 46, 7263–7283. [Google Scholar] [CrossRef]
- Oakes, L.; Westover, A.; Mahjouri-Samani, M.; Chatterjee, S.; Puretzky, A.A.; Rouleau, C.; Geohegan, D.B.; Pint, C.L. Uniform, homogenous coatings of carbon nanohorns on arbitrary substrates from common solvents. ACS Appl. Mater. Interfaces 2013, 5, 13153–13160. [Google Scholar] [CrossRef] [PubMed]
- Zheng, C.; Zhou, X.; Cao, H.; Wang, G.; Liu, Z. Synthesis of porous graphene/activated carbon composite with high packing density and large specific surface area for supercapacitor electrode material. J. Power Sources 2014, 258, 290–296. [Google Scholar] [CrossRef]
- Besra, L.; Liu, M. A review on fundamentals and applications of electrophoretic deposition (EPD). Prog. Mater Sci. 2007, 52, 1–61. [Google Scholar] [CrossRef]
- Wang, Q.; Wang, Q.; Li, M.; Szunerits, S.; Boukherroub, R. Preparation of reduced graphene oxide/Cu nanoparticle composites through electrophoretic deposition: Application for nonenzymatic glucose sensing. RSC Adv. 2015, 5, 15861–15869. [Google Scholar] [CrossRef]
- Wu, X.; Wang, B.; Li, S.; Liu, J.; Yu, M. Electrophoretic deposition of hierarchical Co3O4@ graphene hybrid films as binder-free anodes for high-performance lithium-ion batteries. RSC Adv. 2015, 5, 33438–33444. [Google Scholar] [CrossRef]
- Wang, Q.; Ma, Y.; Jiang, X.; Yang, N.; Coffinier, Y.; Belkhalfa, H.; Dokhane, N.; Li, M.; Boukherroub, R.; Szunerits, S. Electrophoretic deposition of carbon nanofibers/Co(OH)2 nanocomposites: Application for non-enzymatic glucose sensing. Electroanalysis 2016, 28, 119–125. [Google Scholar] [CrossRef]
- Thakur, S.; Karak, N. Green reduction of graphene oxide by aqueous phytoextracts. Carbon 2012, 50, 5331–5339. [Google Scholar] [CrossRef]
- Jiang, Y.; Zheng, B.; Du, J.; Liu, G.; Guo, Y.; Xiao, D. Electrophoresis deposition of Ag nanoparticles on TiO2 nanotube arrays electrode for hydrogen peroxide sensing. Talanta 2013, 112, 129–135. [Google Scholar] [CrossRef]
- Redmond, P.L.; Hallock, A.J.; Brus, L.E. Electrochemical ostwald ripening of colloidal ag particles on conductive substrates. Nano Lett. 2005, 5, 131–135. [Google Scholar] [CrossRef]
- Chen, Y.; Ji, X.; Wang, X. Microwave-assisted synthesis of spheroidal vaterite CaCO3 in ethylene glycol–water mixed solvents without surfactants. J. Cryst. Growth 2010, 312, 3191–3197. [Google Scholar] [CrossRef]
- Choi, B.G.; Chang, S.-J.; Lee, Y.B.; Bae, J.S.; Kim, H.J.; Huh, Y.S. 3D heterostructured architectures of Co3O4 nanoparticles deposited on porous graphene surfaces for high performance of lithium ion batteries. Nanoscale 2012, 4, 5924–5930. [Google Scholar] [CrossRef]
- Liu, M.; He, S.; Chen, W. Co3O4 nanowires supported on 3D N-doped carbon foam as an electrochemical sensing platform for efficient H2O2 detection. Nanoscale 2014, 6, 11769–11776. [Google Scholar] [CrossRef]
- Yan, J.; Wei, T.; Qiao, W.; Shao, B.; Zhao, Q.; Zhang, L.; Fan, Z. Rapid microwave-assisted synthesis of graphene nanosheet/Co3O4 composite for supercapacitors. Electrochim. Acta 2010, 55, 6973–6978. [Google Scholar] [CrossRef]
- Gao, P.; Zeng, Y.; Tang, P.; Wang, Z.; Yang, J.; Hu, A.; Liu, J. Understanding the synergistic effects and structural evolution of Co(OH)2 and Co3O4 toward boosting electrochemical charge storage. Adv. Funct. Mater. 2022, 32, 2108644. [Google Scholar] [CrossRef]
- Biesinger, M.C.; Payne, B.P.; Grosvenor, A.P.; Lau, L.W.; Gerson, A.R.; Smart, R.S.C. Resolving surface chemical states in XPS analysis of first row transition metals, oxides and hydroxides: Cr, Mn, Fe, Co and Ni. Appl. Surf. Sci. 2011, 257, 2717–2730. [Google Scholar] [CrossRef]
- Jamil, M.F.; Biçer, E.; Kaplan, B.Y.; Gürsel, S.A. One-step fabrication of new generation graphene-based electrodes for polymer electrolyte membrane fuel cells by a novel electrophoretic deposition. Int. J. Hydrog. Energy 2021, 46, 5653–5663. [Google Scholar] [CrossRef]
- Pourzare, K.; Farhadi, S.; Mansourpanah, Y. Graphene oxide/Co3O4 nanocomposite: Synthesis, characterization, and its adsorption capacity for removal of organic dye pollutants from water. Acta Chim. Slov. 2017, 64, 945–958. [Google Scholar] [CrossRef]
- Abarca, G.; Ríos, P.L.; Povea, P.; Cerda-Cavieres, C.; Morales-Verdejo, C.; Arroyo, J.L.; Camarada, M.B. Nanohybrids of reduced graphene oxide and cobalt hydroxide (Co(OH)2|rGO) for the thermal decomposition of ammonium perchlorate. RSC Adv. 2020, 10, 23165–23172. [Google Scholar] [CrossRef]
- Xiong, S.; Yuan, C.; Zhang, X.; Xi, B.; Qian, Y. Controllable synthesis of mesoporous Co3O4 nanostructures with tunable morphology for application in supercapacitors. Chem. A Eur. J. 2009, 15, 5320–5326. [Google Scholar] [CrossRef]
- Yang, Y.; Huang, J.; Zeng, J.; Xiong, J.; Zhao, J. Direct electrophoretic deposition of binder-free Co3O4/graphene sandwich-like hybrid electrode as remarkable lithium ion battery anode. ACS Appl. Mater. Interfaces 2017, 9, 32801–32811. [Google Scholar] [CrossRef]
- Yang, J.; Gunasekaran, S. A low-potential, H2O2-assisted electrodeposition of cobalt oxide/hydroxide nanostructures onto vertically-aligned multi-walled carbon nanotube arrays for glucose sensing. Electrochim. Acta 2011, 56, 5538–5544. [Google Scholar] [CrossRef]
- Kubendhiran, S.; Thirumalraj, B.; Chen, S.-M.; Karuppiah, C. Electrochemical co-preparation of cobalt sulfide/reduced graphene oxide composite for electrocatalytic activity and determination of H2O2 in biological samples. J. Colloid Interface Sci. 2018, 509, 153–162. [Google Scholar] [CrossRef] [PubMed]
- Bach, L.; Thi, M.; Son, N.; Bui, Q.; Nhac-Vu, H.-T.; Ai-Le, P. Mesoporous gold nanoparticles supported cobalt nanorods as a free-standing electrochemical sensor for sensitive hydrogen peroxide detection. J. Electroanal. Chem. 2019, 848, 113359. [Google Scholar] [CrossRef]
- Wu, Z.; Sun, L.P.; Zhou, Z.; Li, Q.; Huo, L.H.; Zhao, H. Efficient nonenzymatic H2O2 biosensor based on zif-67 MOF derived co nanoparticles embedded n-doped mesoporous carbon composites. Sens. Actuators B Chem. 2018, 276, 142–149. [Google Scholar] [CrossRef]
- Ullah, R.; Rasheed, M.A.; Abbas, S.; Rehman, K.-u.; Shah, A.; Ullah, K.; Khan, Y.; Bibi, M.; Ahmad, M.; Ali, G. Electrochemical sensing of H2O2 using cobalt oxide modified TiO2 nanotubes. Curr. Appl. Phys. 2022, 38, 40–48. [Google Scholar] [CrossRef]
- Liu, D.; Chen, T.; Zhu, W.; Cui, L.; Asiri, A.M.; Lu, Q.; Sun, X. Cobalt phosphide nanowires: An efficient electrocatalyst for enzymeless hydrogen peroxide detection. Nanotechnology 2016, 27, 33LT01. [Google Scholar] [CrossRef]
- Lee, K.K.; Loh, P.Y.; Sow, C.H.; Chin, W.S. CoOOH nanosheet electrodes: Simple fabrication for sensitive electrochemical sensing of hydrogen peroxide and hydrazine. Biosens. Bioelectron. 2013, 39, 255–260. [Google Scholar] [CrossRef]
- Thanh, T.D.; Balamurugan, J.; Lee, S.H.; Kim, N.H.; Lee, J.H. Novel porous gold-palladium nanoalloy network-supported graphene as an advanced catalyst for non-enzymatic hydrogen peroxide sensing. Biosens. Bioelectron. 2016, 85, 669–678. [Google Scholar] [CrossRef]
- Han, L.; Yang, D.-P.; Liu, A. Leaf-templated synthesis of 3D hierarchical porous cobalt oxide nanostructure as direct electrochemical biosensing interface with enhanced electrocatalysis. Biosens. Bioelectron. 2015, 63, 145–152. [Google Scholar] [CrossRef]
- Han, L.; Wang, Q.; Tricard, S.; Liu, J.; Fang, J.; Zhao, J.; Shen, W. Amperometric detection of hydrogen peroxide utilizing synergistic action of cobalt hexacyanoferrate and carbon nanotubes chemically modified with platinum nanoparticles. RSC Adv. 2013, 3, 281–287. [Google Scholar] [CrossRef]
- Wang, Q.; Wang, Q.; Li, M.; Szunerits, S.; Boukherroub, R. One-step synthesis of Au nanoparticle–graphene composites using tyrosine: Electrocatalytic and catalytic properties. New J. Chem. 2016, 40, 5473–5482. [Google Scholar] [CrossRef]







| Electrodes | Linear Range (mM) | Sensitivity (mA mM−1 cm−2) | Limit of Detection (LOD) | Ref. |
|---|---|---|---|---|
| Co3O4/ATNTs | 1.27–26.8 | 0.03953 | 6.71 | [45] |
| CoS/RGO | 0.0001–2.5424 | 0.002519 | 0.042 | [42] |
| CoP nanowires | 0.01–12 | 0.0268 | 0.48 | [46] |
| Co3O4/NC | 0.01–1.4 | 0.23 | 1.4 | [32] |
| CoOOH nanosheets | 0.004–0.016 | 0.099 | 40 | [47] |
| AuPd@GR | 0.005–11.5 | 0.18686 | 1 | [48] |
| Nf/porous Co3O4 nanoparticles | 0.001–0.3 | 0.03897 | 0.24 | [49] |
| Co-Pt/CNTs | 0.0002–1.25 | 0.744 | 0.1 | [50] |
| rGO/Au NPs | 0.02–25 | 0.04646 | 20 | [51] |
| Co3O4/rGO | 0.1–19.5 | 0.2247 | 10 | This work |
| Spiked (mM) | Found (mM) | Recovery (%) | RSD (%, n = 3) |
|---|---|---|---|
| 1 | 0.98 | 98 | 2.58 |
| 2 | 2.03 | 101.5 | 2.05 |
Disclaimer/Publisher’s Note: The statements, opinions and data contained in all publications are solely those of the individual author(s) and contributor(s) and not of MDPI and/or the editor(s). MDPI and/or the editor(s) disclaim responsibility for any injury to people or property resulting from any ideas, methods, instructions or products referred to in the content. |
© 2023 by the authors. Licensee MDPI, Basel, Switzerland. This article is an open access article distributed under the terms and conditions of the Creative Commons Attribution (CC BY) license (https://creativecommons.org/licenses/by/4.0/).
Share and Cite
Wang, Q.; Wang, Y.; Xiao, G.; Zhu, X. Electrophoretic Deposition of Co3O4 Particles/Reduced Graphene Oxide Composites for Efficient Non-Enzymatic H2O2 Sensing. Materials 2023, 16, 1261. https://doi.org/10.3390/ma16031261
Wang Q, Wang Y, Xiao G, Zhu X. Electrophoretic Deposition of Co3O4 Particles/Reduced Graphene Oxide Composites for Efficient Non-Enzymatic H2O2 Sensing. Materials. 2023; 16(3):1261. https://doi.org/10.3390/ma16031261
Chicago/Turabian StyleWang, Qian, Yuzhe Wang, Guiyong Xiao, and Xinde Zhu. 2023. "Electrophoretic Deposition of Co3O4 Particles/Reduced Graphene Oxide Composites for Efficient Non-Enzymatic H2O2 Sensing" Materials 16, no. 3: 1261. https://doi.org/10.3390/ma16031261
APA StyleWang, Q., Wang, Y., Xiao, G., & Zhu, X. (2023). Electrophoretic Deposition of Co3O4 Particles/Reduced Graphene Oxide Composites for Efficient Non-Enzymatic H2O2 Sensing. Materials, 16(3), 1261. https://doi.org/10.3390/ma16031261

