The Influence of Recycled Materials on Cold Mix with Foamed Bitumen Properties
Abstract
1. Introduction
2. Purpose and Scope of Research
- the amount of air void content Vm according to EN 12697-8 [15],
- the determination of axial compression strength at +25 °C according to EN 13286-41 [16],
- indirect tensile strength (ITS) at +25 °C according to EN 12697-23 [17],
- water resistance, TSR according to Wirtgen 2006 [18],
- water and frost resistance WRW+M according to AASHTO T283 [19],
- the determination of the stiffness modulus using the indirect tensile test (IT-CY) at 13 °C according to standard EN 12697-26 Appendix C [20],
- the determination of the dynamicdynamic modulus according to EN 12697-26 Appendix D [20].
3. Experiment Plan
3.1. Materials
3.1.1. Reclaimed Asphalt Pavement (RAP)
3.1.2. Recycled Cement Concrete (RC)
3.1.3. Recycled Aggregate (RA)
3.1.4. Bituminous Binder, Portland Cement
3.1.5. Virgin Aggregate 0/31.5 (VA)
3.1.6. FB-RCM Mix Design
3.1.7. Preparation of the Samples and Compaction
4. Testing Methods
4.1. Air Void Content
4.2. Axial Compression Strength
4.3. Indirect Tensile Strength
4.4. Weather Resistance
4.4.1. Water Resistance (TSR)
4.4.2. Water and Frost Resistance (WRW+M)
- The control group (without curing) was stored in the laboratory at ambient temperature, until the moment of the first indirect tensile strength test.
- Curing simulated exposure to water and frost. The second group underwent the B curing process (resistance to water and frost), which was similar to the modified procedure [59]. The samples were stored in water at a temperature of 20 °C and under a negative pressure of 200 hPa for 30 minutes. They were then placed in a water bath at a temperature of 60 °C and were kept there for 24 h. The next phase consisted of two freezing-defrosting cycles (−18 °C for 4 h, 20 °C for 4 h).
4.5. Stiffness Modulus (Sm)
4.6. DynamicDynamic Modulus |E*|
5. Test Results
5.1. Test Results of the Research on the Effect of Recycled Materials on Physical and Mechanical Properties
5.2. The Results of Testing the Effect of Recycled Materials on Water and Frost Resistance
5.3. Definition of the Stiffness Modulus Using the Indirect Tension Test
5.4. The Assessment of the Effect of Recycled Materials on Rheological Properties
6. Conclusions
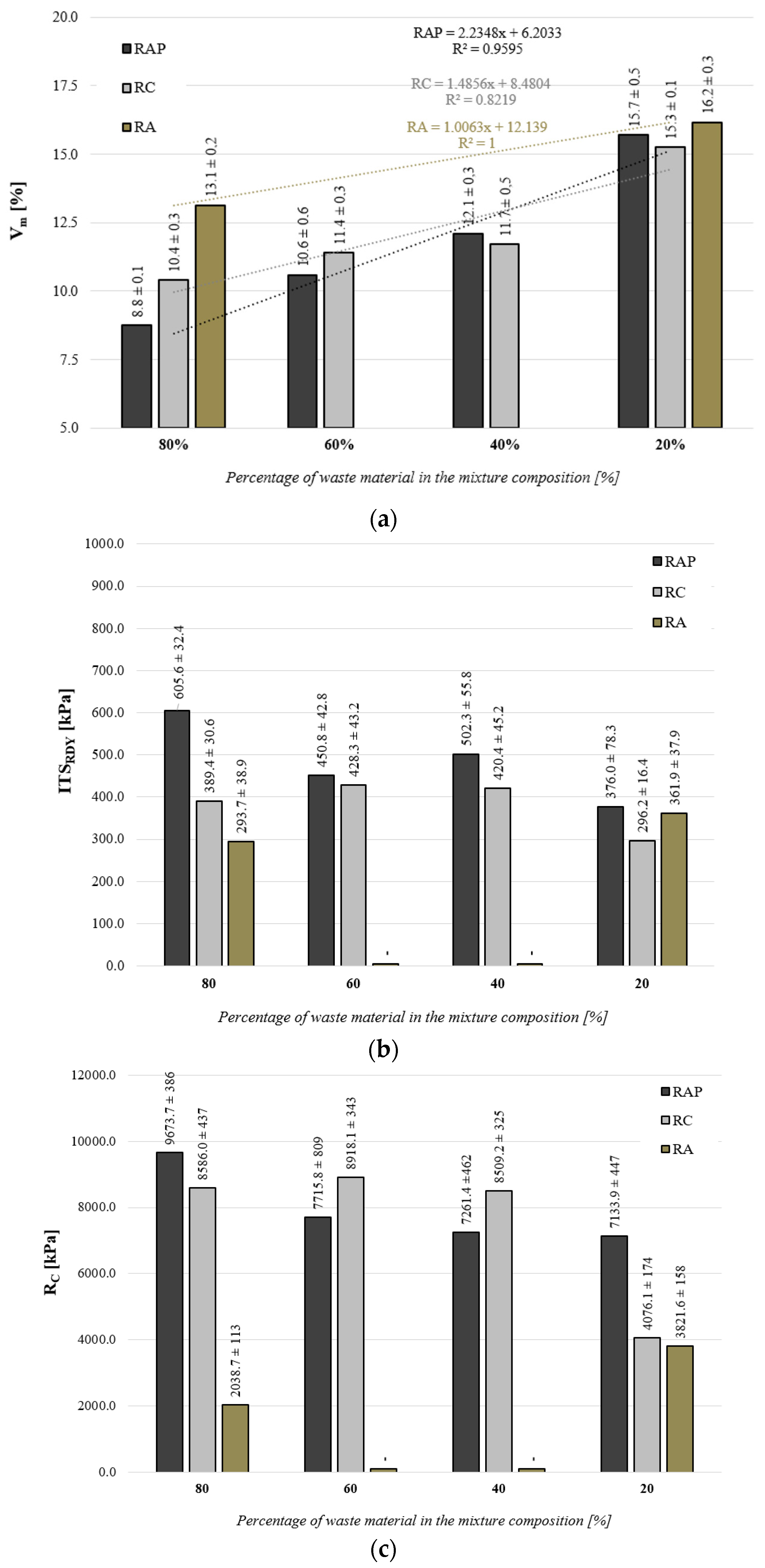
- Increasing the proportional amount of recycled material in the composition of a cold recycled mix with foamed bitumen reduces the amount of air void content in the mix, irrespective of the type of recycled material used for the obtained grain size of the designed FB-RCM mixes. Comparing the obtained results of air voids (Vm), it should be noted that the minimum air voids were obtained for mixtures with a maximum content of marginal materials, equal to 80%. For FB-RCM with RAP, it was 8.8% and for reclaimed cement concrete (RC) with recycled aggregate (RA), it was 13.1%. In contrast, the highest air void was found for the FB-RCM with 20% recycled material (RAP, RC and RA), the average values of which were approximately 15%.
- The content of reclaimed asphalt pavement in the FB-RCM mix should be limited to between 40% and 60%. The reason for this is the need to ensure an optimum amount of air void content, which in the case of its proportional content below or above the proposed range exceeds the acceptable values of the air void content parameter, i.e., between 8% and 15%.
- The FB-RCM mixture contained 40–60% of reclaimed asphalt pavement (RAP) and demonstrated indirect tension strength in the range between 450 kPa and 500 kPa. The maximum value of indirect tensile strength, equal to 605 kPa, was achieved for the FB-RCM mixture containing reclaimed asphalt (RAP) in the amount of 80%.
- The maximum compressive strengths (RC) were obtained for the FB-RCM with the maximum of reclaimed cement concrete (RC) and this relationship correlates with changes in indirect tensile strength (ITSDRY). FB-RCM mixtures containing RAP and RC have an average compressive strength of 7.7 MPa.
- FB-RCM mixtures with recycled aggregate (RA) demonstrate the lowest resistance to water and frost WRW+M = 65%.
- The highest resistance to water (TSR = 98%) and the water and frost resistance (WRW+M = 88%) were observed where RAP was added in the amount of 40 and 60%.
- The maximum value of the stiffness modulus was observed for the FB-RCM mixture with 40% RC content equal to 10,094 MPa and 40% RAP content equal to 99,143 MPa.
- Increasing the amount of reclaimed asphalt pavement in the FB-RCM mix intensifies the changes in the elastic properties in conditions of long load time (below 1 Hz).
Author Contributions
Funding
Institutional Review Board Statement
Informed Consent Statement
Data Availability Statement
Acknowledgments

Conflicts of Interest
References
- Cuadri, A.A.; Roman, C.; García-Morales, M.; Guisado, F.; Moreno, E.; Partal, P. Formulation and processing of recycled-low-density-polyethylene-modified bitumen emulsions for reduced-temperature asphalt technologies. Chem. Eng. Sci. 2016, 156, 197–205. [Google Scholar] [CrossRef]
- Buczyński, P. Rehabilitation reliability of the road pavement structure with recycled base course with foamed bitumen. IOP Conf. Ser. Mater. Sci. Eng. 2018, 356, 012016. [Google Scholar] [CrossRef]
- Iwański, M.; Chomicz-Kowalska, A. Evaluation of the pavement performance. Bull. Pol. Acad. Sci. Tech. Sci. 2015, 63, 97–105. [Google Scholar] [CrossRef]
- Mikolaj, J.; Remek, Ľ.; Kozel, M. Optimization of Bituminous Road Surfacing Rehabilitations Based on Optimization of Road Asset Value. Appl. Sci. 2022, 12, 10466. [Google Scholar] [CrossRef]
- Sedivy, S.; Micechova, L.; Scheber, P. Mechatronics Solutions in Process of Transport Infrastructure Monitoring and Diagnostics. In Mechatronics 2019: Recent Advances Towards Industry 4.0; Szewczyk, R., Krejsa, J., Nowicki, M., Ostaszewska-Liżewska, A., Eds.; Springer International Publishing: Cham, Switzerland, 2020; pp. 141–148. [Google Scholar] [CrossRef]
- Pasetto, M.; Baldo, N. Recycling of waste aggregate in cement bound mixtures for road pavement bases and sub-bases. Constr. Build. Mater. 2016, 108, 112–118. [Google Scholar] [CrossRef]
- Choi, S.; Yeon, J.H.; Won, M.C. Improvements of curing operations for Portland cement concrete pavement. Constr. Build. Mater. 2012, 35, 597–604. [Google Scholar] [CrossRef]
- Piłat, J.; Radziszewski, P. Nawierzchnie asfaltowe: Podręcznik akademicki; Wydawnictwa Komunikacji i Łączności: Warszawa, Poland, 2010. [Google Scholar]
- Vaitkus, A.; Vorobjovas, V.; Kleizienė, R.; Šernas, O.; Gražulytė, J. Modified asphalt mixtures for heavy duty pavement wearing layers. Constr. Build. Mater. 2017, 131, 503–511. [Google Scholar] [CrossRef]
- Niazi, Y.; Jalili, M. Effect of Portland cement and lime additives on properties of cold in-place recycled mixtures with asphalt emulsion. Constr. Build. Mater. 2009, 23, 1338–1343. [Google Scholar] [CrossRef]
- Godenzoni, C.; Graziani, A.; Perraton, D. Dynamic modulus characterisation of cold-recycled mixtures with foamed bitumen and different contents of reclaimed asphalt. Road Mater. Pavement Des. 2016, 18, 130–150. [Google Scholar] [CrossRef]
- Zou, G.; Sun, X.; Liu, X.; Zhang, J. Influence factors on using recycled concrete aggregate in foamed bitumen mixtures based on tensile strength and moisture resistance. Constr. Build. Mater. 2020, 265, 120363. [Google Scholar] [CrossRef]
- Gómez-Meijide, B.; Pérez, I.; Airey, G.; Thom, N. Stiffness of cold asphalt mixtures with recycled aggregates from construction and demolition waste. Constr. Build. Mater. 2015, 77, 168–178. [Google Scholar] [CrossRef]
- Iwański, M.; Chomicz-Kowalska, A. Application of recycled aggregates to the road base mixtures with foamed bitumen in the cold recycling technology. In Proceedings of the 9th International Conference “Environmental Engineerin”, Vilnius, Lithuan, 22–23 May 2014. [Google Scholar]
- PN-EN 12697-8:2005; Mieszanki Mineralno-Asfaltowe—Metody Badań Mieszanek Mineralno-Asfaltowych na Gorąco—Część 8: Oznaczanie Zawartości Wolnej Przestrzeni. Polski Komitet Normalizacyjny: Warsaw, Poland, 2005.
- EN 13286-41; Unbound and Hydraulically Bound Mixtures. Test Method for Determination of the Compressive Strength of Hydraulically Bound Mixtures. European Standard: Warsaw, Poland, 2022.
- EN 12697-23; Bituminous Mixtures. Test Methods. Determination of the Indirect Tensile Strength of Bituminous Specimens. European Standard: Warsaw, Poland, 2017.
- Wirtgen Group. Podręcznik Recyklingu na Zimno; Wirtgen GmbH: Windhagen, Germany, 2006. [Google Scholar]
- AASHTO T 283; Standard Method of Test for Resistance of Compacted Asphalt Mixtures to Moisture-Induced Damage. AASHTO: Washington, DC, USA, 2014.
- EN 12697-26; Bituminous Mixtures. Test Methods. Stiffness. European Standard: Warsaw, Poland, 2018.
- PN-EN 13108-8:2016-07; Mieszanki mineralno-asfaltowe—Wymagania—Część 8: Destrukt asfaltowy. Polski Komitet Normalizacyjny: Warsaw, Poland, 2016.
- WT-2; Nawierzchnie Asfaltowe na Drogach Krajowych. Mieszanki Mineralno-Asfaltowe. GDDKiA: Warszawa, Poland, 2014.
- EN 12697-1; Bituminous Mixtures. Test Methods for Hot Mix Asphalt. Soluble Binder Content. European Standard: Warsaw, Poland, 2020.
- PN-EN 1426:2015-08; Asfalty i Lepiszcza Asfaltowe—Oznaczanie Penetracji Igłą. Polski Komitet Normalizacyjny: Warsaw, Poland, 2015.
- PN-EN 1427:2015-08; Asfalty i Lepiszcza Asfaltowe—Oznaczanie Temperatury Mięknienia—Metoda Pierścień i Kula. Polski Komitet Normalizacyjny: Warsaw, Poland, 2015.
- PN-EN 12593:2015-08; Asfalty i Lepiszcza Asfaltowe—Oznaczanie Temperatury Łamliwości Metodą Fraassa. Polski Komitet Normalizacyjny: Warsaw, Poland, 2015.
- PN-EN 13702-1; Asfalty i Lepiszcza Asfaltowe—Oznaczanie Lepkości Dynamicznej Modyfikowanych Asfaltów—Część 1: Metoda Stożek—Płaszczyzna. Polski Komitet Normalizacyjny: Warsaw, Poland, 2009.
- PN-EN 13398:2012; Asfalty i Lepiszcza Asfaltowe—Oznaczanie Nawrotu Sprężystego Asfaltów Modyfikowanych. Polski Komitet Normalizacyjny: Warsaw, Poland, 2012.
- EN 12591; Bitumen and Bituminous Binders. Specifications for Paving Grade Bitumens. European Standard: Warsaw, Poland, 2009.
- PN-EN 933-1:2012; Badania Geometrycznych Właściwości Kruszyw—Część 1: Oznaczanie Składu Ziarnowego—Metoda Przesiewania. Polski Komitet Normalizacyjny: Warsaw, Poland, 2012.
- PN-EN 13242+A1:2010; Kruszywa do Niezwiązanych i Hydraulicznie Związanych Materiałów Stosowanych w Obiektach Budowlanych i Budownictwie Drogowym. Polski Komitet Normalizacyjny: Warsaw, Poland, 2010.
- PN-EN 933-3:2012; Badania Geometrycznych Właściwości Kruszyw—Część 3: Oznaczanie Kształtu Ziarn za Pomocą Wskaźnika Płaskości. Polski Komitet Normalizacyjny: Warsaw, Poland, 2012.
- PN-EN 933-4:2008; Badania Geometrycznych Właściwości Kruszyw—Część 4: Oznaczanie Kształtu Ziarn—Wskaźnik Kształtu. Polski Komitet Normalizacyjny: Warsaw, Poland, 2008.
- PN-EN 933-9:2009; Badania Geometrycznych Właściwości Kruszyw—Ocena zawartości drobnych Cząstek—Badanie Błękitem Metylenowym. Polski Komitet Normalizacyjny: Warsaw, Poland, 2009.
- PN-EN 1097-2:2010; Badanie Mechanicznych i Fizycznych Właściwości Kruszyw—Część 2: Metody Oznaczania Odporności na Rozdrabnianie. Polski Komitet Normalizacyjny: Warsaw, Poland, 2010.
- PN-EN 1097-6:2013-11; Badania Mechanicznych i Fizycznych Właściwości Kruszyw—Część 6: Oznaczanie Gęstości Ziarn i Nasiąkliwości. Polski Komitet Normalizacyjny: Warsaw, Poland, 2013.
- PN-EN 1367-1:2007; Badania Właściwości Cieplnych i Odporności Kruszyw na Działanie Czynników Atmosferycznych—Część 1: Oznaczenie Mrozoodporności. Polski Komitet Normalizacyjny: Warsaw, Poland, 2007.
- PN-EN 196-3; Metody Badania Cementu—Część 3: Oznaczanie Czasów Wiązania i Stałości Objętości. Polski Komitet Normalizacyjny: Warsaw, Poland, 2010.
- PN-EN 196-1; Metody Badania Cementu—Część 1: Oznaczanie Wytrzymałości. Polski Komitet Normalizacyjny: Warsaw, Poland, 2010.
- PN-EN 196-6:2010; Metody Badania Cementu—Część 6: Oznaczanie Stopnia Zmielenia. Polski Komitet Normalizacyjny: Warsaw, Poland, 2010.
- Iwański, M.; Mazurek, G.; Buczyński, P. Bitumen Foaming Optimisation Process on the Basis of Rheological Properties. Materials 2018, 11, 1854. [Google Scholar] [CrossRef]
- Iwański, M.M. Effect of Hydrated Lime on Indirect Tensile Stiffness Modulus of Asphalt Concrete Produced in Half-Warm Mix Technology. Materials 2020, 13, 4731. [Google Scholar] [CrossRef] [PubMed]
- Iwański, M. Synergistic Effect of F–T Synthetic Wax and Surface-Active Agent Content on the Properties and Foaming Characteristics of Bitumen 50/70. Materials 2021, 14, 300. [Google Scholar] [CrossRef]
- Iwański, M.; Chomicz-Kowalska, A.; Maciejewski, K.; Iwański, M.M.; Radziszewski, P.; Liphardt, A.; Król, J.B.; Sarnowski, M.; Kowalski, K.J.; Pokorski, P. Warm Mix Asphalt Binder Utilizing Water Foaming and Fluxing Using Bio-Derived Agent. Materials 2022, 15, 887. [Google Scholar] [CrossRef] [PubMed]
- Wirtgen, G. Cold Recycling Technology; Wirtgen GmbH: Windhagen, Germany, 2012. [Google Scholar]
- Iwański, M.; Chomicz-Kowalska, A.; Buczyński, P.; Mazurek, G.; Cholewińska, M.; Iwański, M.M.; Ramiączek, P.; Maciejewski, K. Procedury Projektowania Oraz Wytyczne Stosowania Materiałów Odpadowych i z Recyklingu do Technologii Wytwarzania Mieszanek Metodą na Zimno z Asfaltem Spienionym (MCAS); Politechnika Świętokrzyska: Kielce, Poland, 2018. [Google Scholar]
- EN 13286-2; Unbound and Hydraulically Bound Mixtures. Test Methods for Laboratory Reference Density and Water Content. Proctor Compaction. European Standard: Warsaw, Poland, 2010.
- PN-EN 12697-31:2007; Mieszanki Mineralno-Asfaltowe—Metody Badań Mieszanek Mineralno-Asfaltowych na Gorąco—Część 31: Próbki Przygotowane w Prasie Żyratorowej. Polski Komitet Normalizacyjny: Warsaw, Poland, 2007.
- Grilli, A.; Graziani, A.; Bocci, M. Compactability and thermal sensitivity of cement–bitumen-treated materials. Road Mater. Pavement Des. 2012, 13, 599–617. [Google Scholar] [CrossRef]
- Jaskula, P.; Rys, D. Effect of interlayer bonding quality of asphalt layers on pavement performance. IOP Conf. Ser. Mater. Sci. Eng. 2017, 236, 12005. [Google Scholar] [CrossRef]
- Dołżycki, B. Instrukcja Projektowania i Wbudowania Mieszanek Mineralno-Cementowo-Emulsyjnych (MCE); GDDKiA: Warszawa, Poland, 2014. [Google Scholar]
- Zawadzki, J.; Matras, J.; Mechowski, T.; Sybilski, D. Warunki Techniczne Wykonywania Warstw Podbudowy z Mieszanki Mineralno Cementowo-Emulsyjnej (MCE). Wydanie II Uzupełnione. Informacje, Instrukcje. Zeszyt 61; IBDiM: Warsaw, Poland, 1999. [Google Scholar]
- Asphalt Academy. Technical Guideline TG2: Bitumen Stabilised Materials. In A Guideline for the Design and Construction of Bitumen Emulsion and Foamed Bitumen Stabilised Materials, 2. Wyd; Asphalt Academy: Pretoria, South Africa, 2009. [Google Scholar]
- Zawadzki, J.; Chałaczkiewicz, E. Warunki Techniczne Wykonywania Warstw Podbudowy z Mieszanki Mineralno-Cementowo-Emulsyjnej Metodą Recyklingu na Miejscu, (WT—M-M-C-E/97); IBDiM: Warsaw, Poland, 1997. [Google Scholar]
- EN 12697-6; Bituminous Mixtures. Test Methods. Determination of Bulk Density of Bituminous Specimens. European Standard: Warsaw, Poland, 2020.
- EN 12697-5; Bituminous. European Standard: Warsaw, Poland, 2018.
- EN 12697-30; Bituminous Mixtures. Test Mixtures. Test Methods. Determination of the Maximum DensityMethods. Specimen Preparation by Impact Compactor. European Standard: Warsaw, Poland, 2018.
- Iwanski, M. Wytyczne w Zakresie Technologii Recyklingu Głębokiego na Zimno z Asfaltem Spienionym oraz Dedykowanym Spoiwem (MSAS); Politechnka Świętokrzyska: Kielce, Poland, 2020. [Google Scholar]
- ASTM D4867/D4867M; Standard Test Method for Effect of Moisture on Asphalt Concrete Paving Mixtures. ASTM: West Conshohocken, PA, USA, 2018.
- Judycki, J.; Jaskula, P. Badania oddziaływania wody i mrozu na betony asfaltowe o zwiększonej odporności na deformacje trwałe. Drogownictwo 1999, 12, 367–371. [Google Scholar]
- Iwański, M.; Chomicz-Kowalska, A. Właściwości recyklowanej podbudowy z asfaltem spienionym. Drogownictwo 2011, 9, 271–277. [Google Scholar]
- Iwański, M.; Chomicz-Kowalska, A. Water and frost resistance of the recycled base rehabiliteated with foamed bitumen technology. In Proceedings of the International Conference 2010, Vilnius, Lithuania, 19–20 May 2010; pp. 99–105. [Google Scholar]
- Buczyński, P. The Frost Resistance of Recycled Cold Mixes with Foamed Bitumen and Different Types of Road Binders. Procedia Eng. 2016, 161, 54–59. [Google Scholar] [CrossRef]
- Martinez-Arguelles, G.; Giustozzi, F.; Crispino, M.; Flintsch, G.W. Investigating physical and rheological properties of foamed bitumen. Constr. Build. Mater. 2014, 72, 423–433. [Google Scholar] [CrossRef]
- Rowe, G.M.; Sharrock, M.J. Alternate Shift Factor Relationship for Describing Temperature Dependency of Viscoelastic Behavior of Asphalt Materials. Transp. Res. Rec. J. Transp. Res. Board 2011, 2207, 125–135. [Google Scholar] [CrossRef]
- Bonaquist, R.F. Refining the Simple Performance Tester for Use in Routine Practice; Transportation Research Board: Washington, DC, USA, 2008. [Google Scholar]
- Witczak, M.; Root, R. Summary of Complex Modulus Laboratory Test Procedures and Results. In Fatigue and Dynamic Testing of Bituminous Mixtures; Puzinauskas, V., Ed.; ASTM International: West Conshohocken, PA, USA, 1974; pp. 67–94. [Google Scholar] [CrossRef]
- Yusoff, N.; Airey, G.; Hainin, M. Predictability of Complex Modulus Using Rheological Models. Asian J. Sci. Res. 2009, 3, 18–30. [Google Scholar] [CrossRef]
- Mazurek, G.; Iwański, M. Relaxation Modulus of SMA with Polymer Modified and Highly Polymer Modified Bitumen. Procedia Eng. 2017, 172, 731–738. [Google Scholar] [CrossRef]
- Judycki, J. Katalog Typowych Konstrukcji Nawierzchni Podatnych i Półsztywnych; GDDKiA: Warszawa, Poland, 2014. [Google Scholar]
- Jaskula, P. Niszczące oddziaływanie wody i mrozu na miesznki mineralno-asfaltowe—Przegląd literatury. Drog. I Mosty 2004, 4, 5–44. [Google Scholar]
- Buczyński, P.; Iwański, M. Complex modulus change within the linear viscoelastic region of the mineral-cement mixture with foamed bitumen. Constr. Build. Mater. 2018, 172, 52–62. [Google Scholar] [CrossRef]
- Stępień, J.; Maciejewski, K. Using Reclaimed Cement Concrete in Pavement Base Mixes with Foamed Bitumen Produced in Cold Recycling Technology. Materials 2022, 15, 5175. [Google Scholar] [CrossRef]










| Asphalt Parameter | Unit | Result | Confidence Interval | Range | 
|---|---|---|---|---|
| Qty of binder, EN 12697-1 [23] | % | 5.0 | ±0.27 | 0.7 | 
| Penetration at 25 °C, EN 1426 [24] | 0.1·mm | 60 | ±0.9 | 3.8 | 
| Softening point, EN 1427 [25] | °C | 50 | ±0.27 | 0.3 | 
| Fraass breaking point, EN 12,593 [26], | °C | −4.7 | ±0.65 | 1.0 | 
| Dynamic viscosity at 60 °C, EN 13702-1 [27] | Pa·s | 474.7 | ±20.5 | 36.0 | 
| Elastic recovery, EN 13,398 [28] | % | 11.7 | ±1.7 | 3.0 | 
| Sieve size (mm) | 0.063 | 0.125 | 0.50 | 1.0 | 2.0 | 4.0 | 8.0 | 16.0 | 31.5 | 
| Passing % | 0.4 | 0.9 | 6.4 | 11.2 | 18.9 | 32.8 | 56.5 | 89.8 | 100.0 | 
| Aggregate | Result | with Continuous Gradation | |
|---|---|---|---|
| Grain size | d/D | – | 0/63 | 
| Gradation and tolerance | Categories | – | GA85, GTA20 | 
| Grain shape–flatness indicator | Category | 16.0 | FI20 | 
| Grain shape–shape indicator | Category | 13.0 | SI20 | 
| Amount of crushed and rounded grains | Category | 100% | C90/3 | 
| Amount of dust | Category | 4.2 | f5 | 
| Crushing resistance | Category | 31.0 | LA40 | 
| Bulk density of grains ρa | Declared value | 2.280 | 2.280 Mg/m3 | 
| Absorption | Category | 4.9 | WA244.9 | 
| Frost resistance | Category | 3.2 | F4 | 
| No. | Properties | Test According to | Result | Category According to PN-EN 13,242 | 
|---|---|---|---|---|
| 1 | Gradation | EN 933-1 [30] | - | GA85 | 
| 2 | Flatness index% | EN 933-3 [32] | 17 | FI20 | 
| 3 | Shape index % | EN 933-4 [33] | 22 | SI40 | 
| 4 | Fines content % | EN 933-1 [30] | 5.8 | f7 | 
| 5 | Filler quality MBF g/kg | EN 933-9 [34] | 3.8 | MBF10 | 
| 6 | Crushing resistance—Los Angeles coefficient, (10/14 mm) % * | EN 1097-2 [35] | 36 | LA40 | 
| 8 | Grain density, Mg/m3 *–ρa | EN 1097-6 [36] | 2.65 | declared value | 
| 9 | Absorption % * | EN 1097-6 [36] | 1.2 | WA242 | 
| 10 | Frost resistance % * | EN 1367-1 [37] | 0.3 | F1 | 
| Property | Unit | Result | 
|---|---|---|
| Penetration at 25 °C | 0.1 mm | 59 | 
| Softening point | °C | 49.5 | 
| Fraass breaking point | °C | −13 | 
| Kinetic viscosity at 135 °C | mm2/s | 488 | 
| Dynamic viscosity at 60 °C | Pa·s | 290 | 
| Property | Testing Method | Unit | Result | 
|---|---|---|---|
| Beginning of setting | EN 196-3 [38] | min | 182 | 
| Compression strength | EN 196-1 [39] | ||
| after 2 days | MPa | 31.9 | |
| after 28 days | MPa | 57.8 | |
| Soundness | EN 196-3 [38] | mm | 0.6 | 
| Specific surface area | EN 196-6 [40] | cm2/g | 4282 | 
| Mix | FB | CEM I 42.5 R | RA | VA 0/31.5 | 
|---|---|---|---|---|
| [%] | [%] | [%] | [%] | |
| FB-RCM (80 RA + 20 VA) | 2.5 | 2.0 | 75.9 | 17.5 | 
| FB-RCM (20 RA + 80 VA) | 17.5 | 75.9 | 
| Mix | FB | CEM I 42.5 R | RAP | VA 0/31.5 | 
|---|---|---|---|---|
| [%] | [%] | [%] | [%] | |
| FB-RCM (80 RAP + 20 VA) | 2.5 | 2.0 | 78.0 | 17.5 | 
| FB-RCM (60 RAP + 40 VA) | 58.5 | 37.0 | ||
| FB-RCM (40 RAP + 60 VA) | 39.0 | 56.5 | ||
| FB-RCM (20 RAP + 80 VA) | 17.5 | 78.0 | 
| Mix | FB | CEM I 42. 5R | RC | VA 0/31.5 | 
|---|---|---|---|---|
| [%] | [%] | [%] | [%] | |
| FB-RCM (80 RC + 20 VA) | 2.5 | 2.0 | 78.0 | 17.5 | 
| FB-RCM (60 RC + 40 VA) | 58.5 | 37.0 | ||
| FB-RCM (40 RC + 60 VA) | 39.0 | 56.5 | ||
| FB-RCM (20 RC + 80 VA) | 17.5 | 78.0 | 
| Mix | Testing Method | Unit | OMC | 
|---|---|---|---|
| FB-RCM 20% RAP + 80% VA | EN 13286-2 [47] | % | 6.6 | 
| FB-RCM 40% RAP + 60% VA | 6.1 | ||
| FB-RCM 60% RAP + 40% VA | 5.8 | ||
| FB-RCM 80% RAP + 20% VA | 5.6 | ||
| FB-RCM 20% RC + 80% VA | 5.8 | ||
| FB-RCM 40% RC + 60% VA | 6.1 | ||
| FB-RCM 60% RC + 40% VA | 6.6 | ||
| FB-RCM 80% RC + 20% VA | 7.3 | ||
| FB-RCM 20% RA + 80% VA | 5.5 | ||
| FB-RCM 80% RA + 20% VA | 5.7 | 
| No. | Property | Test Standard | 
|---|---|---|
| 1. | air void content (Vm) | EN 12697-8 [15] | 
| 2. | axial compression strength (Rc) | EN 13286-41 [16] | 
| 3. | indirect tensile strength (ITS) | EN 12697-23 [17] | 
| 4. | water resistance (TSR) | Wirtgen [18] | 
| 5. | water and frost resistance | AASHTO T 283 [19] | 
| 6. | stiffness modulus Sm | EN 12697-26 [20] (in the IT-CY sample loading arrangement) | 
| 7. | dynamic modulus ǀE*ǀ phase shift angle (φ) | EN 12697-26 [20] (in the DTC-CY sample loading arrangement) | 
| Mix FB-RCM | Model Adaptation Parameters | Module [MPa] | Assessment of Adaptation | ||||||||
|---|---|---|---|---|---|---|---|---|---|---|---|
| a | b | α | β | γ | δ | λ | E ∞ | E0 | RMSE [%] | R2 | |
| 20% RAP | 1.92 | −0.02 | 1.97 | 0.22 | −0.39 | 1.97 | 6.89 | 93 | 8713 | 0.84 | 0.98 | 
| 40% RAP | 1.62 | −0.04 | 2.07 | −0.86 | −0.41 | 2.08 | 3.15 | 119 | 14,377 | 2.15 | 0.96 | 
| 60% RAP | 2.57 | −0.01 | 2.15 | 1.03 | −0.22 | 2.15 | 0.10 | 141 | 19,881 | 2.63 | 0.99 | 
| 80% RAP | 2.49 | −0.01 | 2.02 | 2.01 | −0.35 | 2.02 | 1.05 | 103 | 10,753 | 1.30 | 0.99 | 
| 20% RC | 2.57 | −0.009 | 2.03 | 0.44 | −0.19 | 2.03 | 0.1 | 108 | 11,687 | 1.0 | 0.99 | 
| 40% RC | 2.01 | −0.017 | 2.70 | 0.23 | −0.075 | 2.70 | 0.1 | 502 | 252,230 | 4.84 | 0.97 | 
| 60% RC | 2.84 | −0.007 | 2.05 | 0.86 | −0.16 | 2.05 | 0.1 | 113 | 12,845 | 1.08 | 0.98 | 
| 80% RC | 2.03 | −0.02 | 2.19 | −0.51 | −0.13 | 2.19 | 0.1 | 154 | 23,726 | 3.46 | 0.98 | 
| 20% RA | 2.12 | −0.017 | 2.45 | 0.25 | −0.058 | 2.45 | 0.1 | 258 | 81,269 | 2.71 | 0.97 | 
| 80% RA | 2.17 | −0.015 | 2.56 | 0.29 | −0.06 | 2.56 | 0.1 | 363 | 131,792 | 2.58 | 0.98 | 
| Disclaimer/Publisher’s Note: The statements, opinions and data contained in all publications are solely those of the individual author(s) and contributor(s) and not of MDPI and/or the editor(s). MDPI and/or the editor(s) disclaim responsibility for any injury to people or property resulting from any ideas, methods, instructions or products referred to in the content. | 
© 2023 by the authors. Licensee MDPI, Basel, Switzerland. This article is an open access article distributed under the terms and conditions of the Creative Commons Attribution (CC BY) license (https://creativecommons.org/licenses/by/4.0/).
Share and Cite
Buczyński, P.; Šrámek, J.; Mazurek, G. The Influence of Recycled Materials on Cold Mix with Foamed Bitumen Properties. Materials 2023, 16, 1208. https://doi.org/10.3390/ma16031208
Buczyński P, Šrámek J, Mazurek G. The Influence of Recycled Materials on Cold Mix with Foamed Bitumen Properties. Materials. 2023; 16(3):1208. https://doi.org/10.3390/ma16031208
Chicago/Turabian StyleBuczyński, Przemysław, Juraj Šrámek, and Grzegorz Mazurek. 2023. "The Influence of Recycled Materials on Cold Mix with Foamed Bitumen Properties" Materials 16, no. 3: 1208. https://doi.org/10.3390/ma16031208
APA StyleBuczyński, P., Šrámek, J., & Mazurek, G. (2023). The Influence of Recycled Materials on Cold Mix with Foamed Bitumen Properties. Materials, 16(3), 1208. https://doi.org/10.3390/ma16031208
 
        




 
       