Microstructure and Properties of Ti-Zr-Mo Alloys Fabricated by Laser Directed Energy Deposition
Abstract
1. Introduction
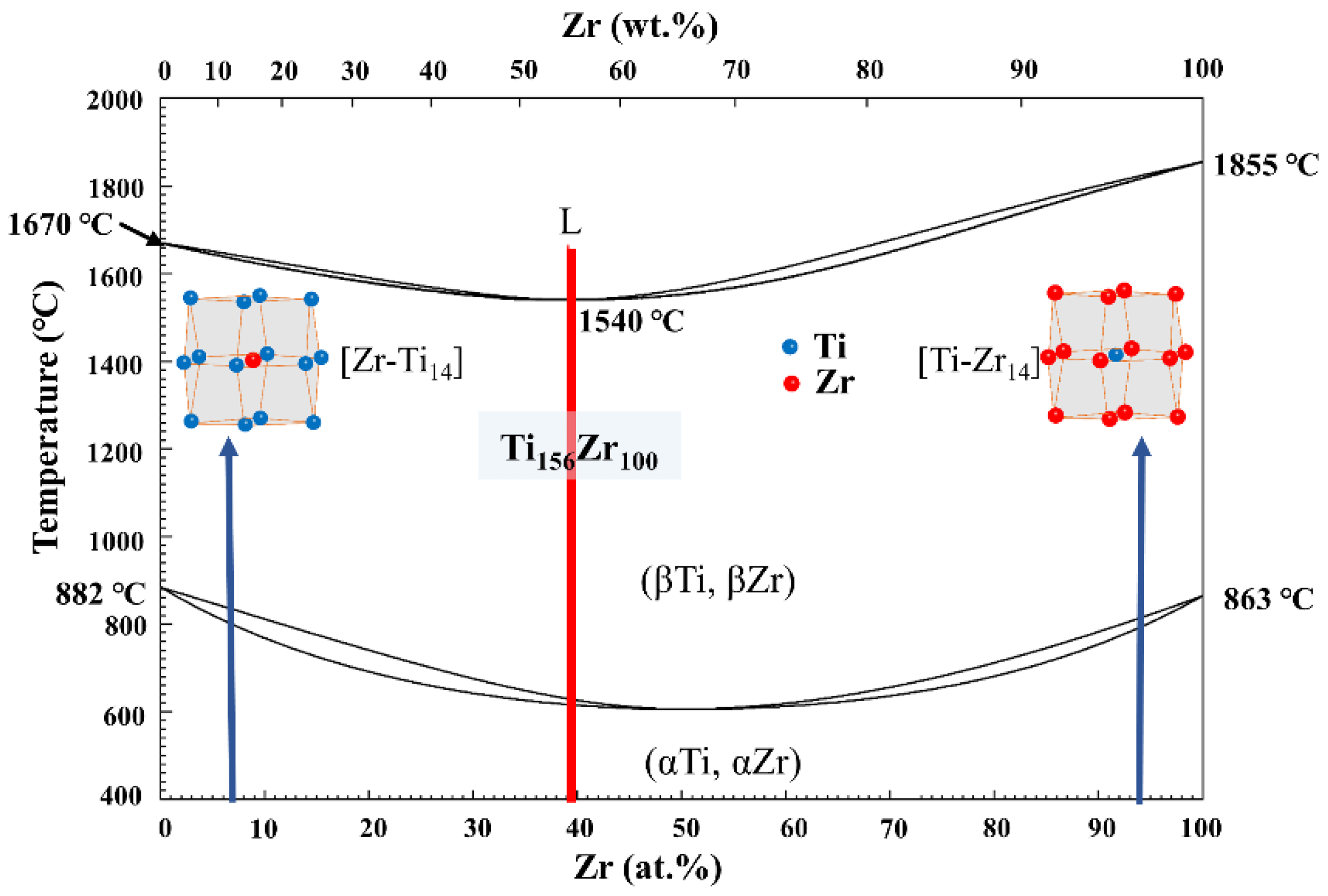
2. Design of Ti-Zr-Mo Alloys
3. Experimental Procedures
4. Results and Discussion
4.1. Microstructure
4.2. Mechanical Properties
4.3. Tribological Properties
4.4. Corrosion Resistance
4.5. Density
4.6. Surface Roughness
5. Conclusions
- (1).
- The microstructural characteristics reveal that all designed alloys are made up of near-equiaxed β grains without obvious texture, which results mainly from high growth restriction factor with different alloys. When increasing Mo content, the β grain is gradually refined and its lattice constant is steadily reduced.
- (2).
- Increasing Mo content can effectively improve the hardness, strength, and wear resistance of the designed alloys due to the refinement of the grain and enhancement of solid solution hardening, but reduce ductility owing to the combination of the decreased plastic flow and increased LAGBs fraction. Under dry sliding friction and wear conditions, the main friction mechanism of the designed alloys is abrasive wear, the increasing hardness with Mo content improves the wear resistance of the designed alloys.
- (3).
- The corrosion resistance of the designed alloys in HCl solution is mainly governed by Mo content through the introduction of more Mo2O5 oxides in the passive film that effectively increases the stability of passive films, leading to enhanced corrosion resistance.
- (4).
- The average porosity and surface roughness of designed alloys in the process of Mo content increases, which is aroused mainly by the interplay of various factors, including raw powder density, convection intensity, fluidity and spreadability of melt.
- (5).
- The Ti60.94Zr36.72Mo2.34 alloy can be considered a promising candidate for L-DED, resulting from a good match of mechanical, tribological, chemical, and forming properties.
Author Contributions
Funding
Institutional Review Board Statement
Informed Consent Statement
Data Availability Statement
Conflicts of Interest
References
- Qiu, C.L.; Liu, Q. Multi-scale microstructural development and mechanical properties of a selectively laser melted beta titanium alloy. Addit. Manuf. 2019, 30, 100893. [Google Scholar] [CrossRef]
- Wen, X.; Wan, M.P.; Huang, C.W.; Tan, Y.B.; Lei, M.; Liang, Y.L.; Cai, X. Effect of microstructure on tensile properties, impact toughness and fracture toughness of TC21 alloy. Mater. Des. 2019, 180, 107898. [Google Scholar] [CrossRef]
- Zhang, J.Q.; Xu, X.Y.; Xue, J.Y.; Liu, S.N.; Deng, Q.H.; Li, F.; Ding, J.; Wang, H.; Chang, H. Hot deformation characteristics and mechanism understanding of Ti–6Al–2Sn–4Zr–6Mo titanium alloy. J. Mater. Res. Technol. 2022, 20, 2591–2610. [Google Scholar] [CrossRef]
- Cen, M.J.; Liu, Y.; Chen, X.; Zhang, H.W.; Li, Y.X. Inclusions in melting process of titanium and titanium alloys. China Foundry 2019, 16, 9. [Google Scholar] [CrossRef]
- Shunmugavel, M.; Polishetty, A.; Littlefair, G. Microstructure and Mechanical Properties of Wrought and Additive Manufactured Ti-6Al-4V Cylindrical Bars. Procedia. Technol. 2015, 20, 231–236. [Google Scholar] [CrossRef]
- Navi, N.U.; Tenenbaum, J.; Sabatani, E.; Kimmel, G.; David, R.B.; Rosen, B.A.; Barkay, Z.; Ezersky, V.; Tiferet, E.; Ganor, Y.I.; et al. Hydrogen effects on electrochemically charged additive manufactured by electron beam melting (EBM) and wrought Ti–6Al–4V alloys. Int. J. Hydrog. Energy 2020, 45, 25523–25540. [Google Scholar] [CrossRef]
- Deng, M.C.; Sui, S.; Yao, B.; Ma, L.; Lin, X.; Chen, J. Microstructure and room-temperature tensile property of Ti-5.7Al-4.0Sn-3.5Zr-0.4Mo-0.4Si-0.4Nb-1.0Ta-0.05C with near equiaxed β grain fabricated by laser directed energy deposition technique. J. Mater. Sci. Technol. 2022, 101, 308–320. [Google Scholar] [CrossRef]
- DebRoy, T.; Wei, H.L.; Zuback, J.S.; Mukherjee, T.; Elmer, J.W.; Milewski, J.O.; Beese, A.M.; Wilson-Heid, A.; De, A.; Zhang, W. Additive manufacturing of metallic components-Process, structure and properties. Prog. Mater. Sci. 2018, 92, 112–224. [Google Scholar] [CrossRef]
- Liu, S.Y.; Shin, Y.C. Additive manufacturing of Ti6Al4V alloy: A review. Mater. Des. 2019, 164, 107552. [Google Scholar] [CrossRef]
- Waryoba, D.R.; Keist, J.S.; Ranger, C.; Palmer, T.A. Microtexture in additively manufactured Ti-6Al-4V fabricated using directed energy deposited. Mater. Sci. Eng. A 2018, 734, 149–163. [Google Scholar] [CrossRef]
- Wu, X.H.; Liang, J.; Mitchell, C.; Goodwin, P.S.; Voice, W. Microstructures of laser-deposited Ti–6Al–4V. Mater. Des. 2004, 25, 137–144. [Google Scholar] [CrossRef]
- Liu, S.Y.; Shin, Y.C. Simulation and experimental studies on microstructure evolution of resolidified dendritic TiCx in laser direct deposited Ti-TiC composite. Mater. Des. 2018, 159, 212–223. [Google Scholar] [CrossRef]
- Qian, L.; Mei, J.; Liang, J.; Wu, X. Influence of position and laser power on thermal history and microstructure of direct laser fabricated Ti–6Al–4V samples. Mater. Sci. Technol. 2005, 21, 597–605. [Google Scholar] [CrossRef]
- Gong, G.H.; Ye, J.J.; Chi, Y.M.; Zhao, Z.H.; Wang, Z.F.; Xia, G.; Du, X.Y.; Tian, H.F.; Yu, H.J.; Chen, C.Z. Research status of laser additive manufacturing for metal: A review. J. Mater. Res. Technol. 2021, 15, 855–884. [Google Scholar] [CrossRef]
- Carroll, B.E.; Palmer, T.A.; Beese, A.M. Anisotropic tensile behavior of Ti–6Al–4V components fabricated with directed energy deposition additive manufacturing. Acta. Mater. 2015, 87, 309–320. [Google Scholar] [CrossRef]
- Carrozza, A.; Aversa, A.; Mazzucato, F.; Bassini, E.; Manfredi, D.; Biamino, S.; Valente, A.; Fino, P. An investigation on the effect of different multi-step heat treatments on the microstructure, texture and mechanical properties of the DED-produced Ti-6Al-4V alloy. Mater. Charact. 2022, 189, 111958. [Google Scholar] [CrossRef]
- He, B.; Li, J.; Cheng, X.; Wang, H.M. Brittle fracture behavior of a laser additive manufactured near-β titanium alloys after low temperature aging. Mater. Sci. Eng. A 2017, 699, 229–238. [Google Scholar] [CrossRef]
- Cho, J.Y.; Xu, W.; Brandt, M.; Qian, M. Selective laser melting-fabricated Ti-6Al-4V alloy: Microstructural inhomogeneity, consequent variations in elastic modulus and implications. Opt. Laser. Technol. 2019, 111, 664–670. [Google Scholar] [CrossRef]
- Zhang, D.Y.; Sun, S.J.; Dong, Q.; Gibson, M.A.; Easton, M. Metal Alloys for Fusion-Based Additive Manufacturing. Adv. Eng. Mater. 2018, 20, 1700952. [Google Scholar] [CrossRef]
- Shraddha. Phase Diagrams and Its Prediction|Metallurgy. Available online: https://www.engineeringenotes.com/metallurgy/phase-diagrams/phase-diagrams-and-its-prediction-metallurgy/42785 (accessed on 15 August 2017).
- Yu, Q.; Wang, C.S.; Wang, D.; Min, X.H. Microstructure and properties of Ti–Zr congruent alloy fabricated by laser additive manufacturing. J. Alloys Compd. 2020, 834, 155087. [Google Scholar] [CrossRef]
- Goodman, D.A.; Cahn, J.W.; Bennett, L.H. The centennial of the Gibbs-Konovalov rule for congruent points. Bull. Alloy. Phase Diagr. 1981, 2, 29–34. [Google Scholar] [CrossRef]
- Schroer, J.W.; Monson, P.A. Understanding congruent melting in binary solids: Molecular models of benzene-hexafluorobenzene mixtures. J. Chem. Phys. 2003, 118, 2815–2823. [Google Scholar] [CrossRef]
- Li, C.; Ferry, M.; Kruzic, J.J.; Li, X. Review: Multi-principal element alloys by additive manufacturing. J. Mater. Sci. 2022, 57, 9903–9935. [Google Scholar] [CrossRef]
- Li, H.C.; Cai, Q.; Li, S.K.; Xu, H.Q. Effects of Mo equivalent on the phase constituent, microstructure and compressive mechanical properties of Ti–Nb–Mo–Ta alloys prepared by powder metallurgy. J. Mater. Res. Technol. 2022, 16, 588–598. [Google Scholar] [CrossRef]
- Ma, Y.; Wang, Q.; Li, C.L.; Santodonato, L.J.; Feygenson, M.; Dong, C.; Liaw, K.P. Chemical short-range orders and the induced structural transition in high-entropy alloys. Scripta Mater. 2018, 144, 64–68. [Google Scholar] [CrossRef]
- Liu, H.; Zhang, Y.; Zhang, X.; Wang, Q.; Wang, H.L.; Zhang, S.; Ma, Y.P.; Cui, Y.X.; Ding, W.Y.; Dong, C. Composition formula of transparent conductive tin doped indium oxide in terms of cluster plus glue atom model. J. Alloys Compd. 2020, 836, 155514. [Google Scholar] [CrossRef]
- Zhu, Z.H.; Liu, T.Y.; Dong, C.; Dong, D.D.; Zhang, S.; Wang, Q. Achieving high-temperature strength and plasticity in near-α Ti-7Al-3Zr-2V alloy using cluster formula design. J. Mater. Res. Technol. 2022, 18, 2582–2592. [Google Scholar] [CrossRef]
- Weng, W.J.; Biesiekierski, A.; Lin, J.X.; Li, Y.C.; Wen, C. Impact of rare earth elements on nanohardness and nanowear properties of beta-type Ti-24Nb-38Zr-2Mo alloy for medical applications. Materialia 2020, 12, 100772. [Google Scholar] [CrossRef]
- Bai, W.M.; Tian, Y.Y.; Xu, G.L.; Yang, Z.J.; Liu, L.B.; Masset, P.J.; Zhang, L.G. Diffusivities and Atomic Mobilities in bcc Ti-Mo-Zr Alloys. Materials 2018, 11, 1909. [Google Scholar] [CrossRef]
- Doraiswamy, D.; Ankem, S. The effect of grain size and stability on ambient temperature tensile and creep deformation in metastable beta titanium alloys. Acta. Mater. 2003, 51, 1607–1619. [Google Scholar] [CrossRef]
- Ng, C.H.; Bermingham, M.J.; Dargusch, M.S. Controlling grain size, morphology and texture in additively manufactured β-titanium alloy with super transus hot isostatic pressing. Addit. Manuf. 2022, 59, 103176. [Google Scholar] [CrossRef]
- Zhou, X.; Xu, D.; Geng, S.J.; Fan, Y.Q.; Yang, C.G.; Wang, Q.; Wang, F.H. Microstructural evolution and corrosion behavior of Ti–6Al–4V alloy fabricated by laser metal deposition for dental applications. J. Mater. Res. Technol. 2022, 14, 1459–1472. [Google Scholar] [CrossRef]
- Zhang, D.Y.; Qiu, D.; Gibson, M.A.; Zheng, Y.F.; Fraser, H.L.; StJohn, D.H. Additive manufacturing of ultrafine-grained high-strength titanium alloys. Nature 2019, 576, 91–95. [Google Scholar] [CrossRef] [PubMed]
- Bermingham, M.J.; McDonald, S.D.; Dargusch, M.S.; StJohn, D.H. Grain-refinement mechanisms in titanium alloys. J. Mater. Res. 2008, 23, 97–104. [Google Scholar] [CrossRef]
- Zhu, Y.Y.; Tang, H.B.; Li, Z.; Cheng, X.; He, B. Solidification behavior and grain morphology of laser additive manufacturing titanium alloys. J. Alloys Compd. 2019, 777, 712–716. [Google Scholar] [CrossRef]
- Chui, P. Effect of boron content on microstructure and mechanical properties of Ti50Zr50 alloys. Vacuum 2018, 154, 25–31. [Google Scholar] [CrossRef]
- Louzguine, D.V.; Kato, H.; Inoue, A. High strength and ductile binary Ti–Fe composite alloy. J. Alloys Compd. 2004, 384, L1–L3. [Google Scholar] [CrossRef]
- Liang, Y.P.; Wang, C.S.; Liu, N.X.; Zhang, J.T. New Ti-Fe-Sn-Y alloys designed for laser direct energy deposition. Mater. Charact. 2022, 187, 111866. [Google Scholar] [CrossRef]
- Zhao, Z.S.; Wang, C.S.; Yu, Q.; Song, L.J.; Yang, G.; Zhang, J.T. New β-type Ti-Zr-V-Nb alloys used for laser-based direct energy deposition: Design, microstructure, and properties. Mater. Charact. 2022, 189, 111917. [Google Scholar] [CrossRef]
- Nguyen, H.D.; Pramanik, A.; Basak, A.K.; Dong, Y.; Prakash, C.; Debnath, S.; Shankar, S.; Jawahir, I.S.; Dixit, S.; Buddhi, D. A critical review on additive manufacturing of Ti-6Al-4V alloy: Microstructure and mechanical properties. J. Mater. Res. Technol. 2022, 18, 4641–4661. [Google Scholar] [CrossRef]
- Huang, C.W.; Zhao, Y.Q.; Xin, S.W.; Zhou, W.; Li, Q.; Zeng, W.D. Effect of microstructure on tensile properties of Ti–5Al–5Mo–5V–3Cr–1Zr alloy. J. Alloys Compd. 2017, 693, 582–591. [Google Scholar] [CrossRef]
- Liu, C.M.; Wang, H.M.; Tian, X.J.; Tang, H.B.; Liu, D. Microstructure and tensile properties of laser melting deposited Ti–5Al–5Mo–5V–1Cr–1Fe near β titanium alloy. Mater. Sci. Eng. A 2013, 586, 323–329. [Google Scholar] [CrossRef]
- Bhardwaj, T.; Shukla, M.; Paul, C.P.; Bindra, K.S. Direct Energy Deposition—Laser Additive Manufacturing of Titanium-Molybdenum alloy: Parametric studies, microstructure and mechanical properties. J. Alloys Compd. 2019, 787, 1238–1248. [Google Scholar] [CrossRef]
- Gypen, L.A.; Deruyttere, A. Multi-component solid solution hardening—Part 1 Proposed model. J. Mater. Sci. 1977, 12, 1028–1033. [Google Scholar] [CrossRef]
- Toda-Caraballo, I.; Rivera-Díaz-del-Castillo, P.E.J. Modelling solid solution hardening in high entropy alloys. Acta. Mater. 2015, 85, 14–23. [Google Scholar] [CrossRef]
- Hall, E.O. The Deformation and Ageing of Mild Steel: III Discussion of Results. Proc. Phys. Soc. Sect. B 1951, 643, 747–752. Available online: https://iopscience.iop.org/0370-1301/64/9/303 (accessed on 8 March 2022). [CrossRef]
- Petch, N.J. The Cleavage Strength of Polycrystals. J. Iron Steel Inst. 1953, 174, 25–28. [Google Scholar]
- Wang, Y.L.; Wang, Q.; Liu, H.J.; Zeng, C.L. Effect of grain refinement on the corrosion of Ni-Cr alloys in molten (Li,Na,K)F. Corros. Sci. 2016, 109, 43–49. [Google Scholar] [CrossRef]
- Chui, P.F.; Jing, R.; Zhang, F.G.; Li, J.H.; Feng, T. Mechanical properties and corrosion behavior of β-type Ti-Zr-Nb-Mo alloys for biomedical application. J. Alloys Compd. 2020, 842, 155693. [Google Scholar] [CrossRef]
- Morando, C.; Fornaro, O.; Garbellini, O.; Palacio, H. Fluidity on Metallic Eutectic Alloys. Procedia. Mater. Sci. 2015, 8, 959–967. [Google Scholar] [CrossRef]





















| Mo Content (at.%) | Cluster Formula | Composition (at.%) |
|---|---|---|
| 0.78 | 10[(Zr0.8Mo0.2)-Ti14]Ti1 + 6[Ti-Zr14]Zr1 | Ti60.94Zr38.28Mo0.78 |
| 1.56 | 10[(Zr0.6Mo0.4)-Ti14]Ti1 + 6[Ti-Zr14]Zr1 | Ti60.94Zr37.5Mo1.56 |
| 2.34 | 10[(Zr0.4Mo0.6)-Ti14]Ti1 + 6[Ti-Zr14]Zr1 | Ti60.94Zr36.72Mo2.34 |
| 3.13 | 10[(Zr0.2Mo0.8)-Ti14]Ti1 + 6[Ti-Zr14]Zr1 | Ti60.94Zr35.93Mo3.13 |
| 3.91 | 10[(Mo1)-Ti14]Ti1 + 6[Ti-Zr14]Zr1 | Ti60.94Zr35.15Mo3.91 |
| Alloy | Lattice Parameter (nm) |
|---|---|
| Ti60.94Zr38.28Mo0.78 | 0.3393 |
| Ti60.94Zr37.5Mo1.56 | 0.3385 |
| Ti60.94Zr36.72Mo2.34 | 0.3384 |
| Ti60.94Zr35.93Mo3.13 | 0.3379 |
| Ti60.94Zr35.15Mo3.91 | 0.3374 |
| Alloy | Average Chemical Composition (at.%) | |||||
|---|---|---|---|---|---|---|
| Major Deposited Layers | Interface Zone of the First Deposited Layer and the Substrate | |||||
| Ti | Zr | Mo | Ti | Zr | Mo | |
| Ti60.94Zr38.28Mo0.78 | 61.36 | 37.90 | 0.74 | 66.18 | 33.21 | 0.61 |
| Ti60.94Zr37.5Mo1.56 | 60.78 | 37.64 | 1.58 | 67.05 | 31.51 | 1.44 |
| Ti60.94Zr36.72Mo2.34 | 61.16 | 36.56 | 2.28 | 67.61 | 30.32 | 2.07 |
| Ti60.94Zr35.93Mo3.13 | 61.02 | 35.71 | 3.27 | 67.89 | 28.99 | 3.12 |
| Ti60.94Zr35.15Mo3.91 | 60.59 | 35.43 | 3.98 | 68.01 | 28.46 | 3.53 |
| Alloy | Grain Size (µm) |
|---|---|
| Ti60.94Zr38.28Mo0.78 | 191.61 |
| Ti60.94Zr37.5Mo1.56 | 183.34 |
| Ti60.94Zr36.72Mo2.34 | 180.45 |
| Ti60.94Zr35.93Mo3.13 | 177.31 |
| Ti60.94Zr35.15Mo3.91 | 159.06 |
| Alloys (at.%) | Yield Strength (MPa) | Ultimate Compressive Strength (MPa) | Relative Compressibility (%) |
|---|---|---|---|
| Ti60.94Zr38.28Mo0.78 | 1232.98 | 1087.52 | 45.20 |
| Ti60.94Zr37.5Mo1.56 | 1257.30 | 1094.54 | 42.75 |
| Ti60.94Zr36.72Mo2.34 | 1323.05 | 1132.95 | 40.27 |
| Ti60.94Zr35.93Mo3.13 | 1349.08 | 1196.97 | 38.25 |
| Ti60.94Zr35.15Mo3.91 | 1415.92 | 1269.75 | 36.32 |
| Ti-Zr congruent alloy | 813.00 | 970.00 | 57.00 |
| Alloys | Ecorr (V/SCE) | Icorr (A/cm2) |
|---|---|---|
| Ti60.94Zr38.28Mo0.78 | −0.141 | 6.090 × 10−8 |
| Ti60.94Zr37.5Mo1.56 | −0.137 | 5.412 × 10−8 |
| Ti60.94Zr36.72Mo2.34 | −0.093 | 5.085 × 10−8 |
| Ti60.94Zr35.93Mo3.13 | −0.084 | 4.202 × 10−8 |
| Ti60.94Zr35.15Mo3.91 | −0.082 | 4.198 × 10−8 |
Disclaimer/Publisher’s Note: The statements, opinions and data contained in all publications are solely those of the individual author(s) and contributor(s) and not of MDPI and/or the editor(s). MDPI and/or the editor(s) disclaim responsibility for any injury to people or property resulting from any ideas, methods, instructions or products referred to in the content. |
© 2023 by the authors. Licensee MDPI, Basel, Switzerland. This article is an open access article distributed under the terms and conditions of the Creative Commons Attribution (CC BY) license (https://creativecommons.org/licenses/by/4.0/).
Share and Cite
Zhang, J.; Wang, C.; Shareef, N. Microstructure and Properties of Ti-Zr-Mo Alloys Fabricated by Laser Directed Energy Deposition. Materials 2023, 16, 1054. https://doi.org/10.3390/ma16031054
Zhang J, Wang C, Shareef N. Microstructure and Properties of Ti-Zr-Mo Alloys Fabricated by Laser Directed Energy Deposition. Materials. 2023; 16(3):1054. https://doi.org/10.3390/ma16031054
Chicago/Turabian StyleZhang, Jingtao, Cunshan Wang, and Nisha Shareef. 2023. "Microstructure and Properties of Ti-Zr-Mo Alloys Fabricated by Laser Directed Energy Deposition" Materials 16, no. 3: 1054. https://doi.org/10.3390/ma16031054
APA StyleZhang, J., Wang, C., & Shareef, N. (2023). Microstructure and Properties of Ti-Zr-Mo Alloys Fabricated by Laser Directed Energy Deposition. Materials, 16(3), 1054. https://doi.org/10.3390/ma16031054
