Analysis of Shear Performance of Multi-Bolt Shear Connectors
Abstract
1. Introduction
2. Overview of the Push-Out Tests of Multi-Bolt Connectors
3. Finite Element (FE) Modeling Method
3.1. Geometry, Element Type, and Mesh
3.2. Interaction, Loading, and Boundary Conditions
3.3. Mechanical Properties of Concrete and Steel
3.4. Verification of FE Results
4. Parametric Analysis and Discussion
4.1. Shear Performance of Individual-Bolt in the Multi-Bolt Connectors
4.2. Effect of Design Parameters on the Shear Performance of Bolt Connectors
4.2.1. Concrete Compressive Strength
4.2.2. Bolt Preload and Friction Coefficient
- (1)
- For bolts with a diameter of 16 mm (see Figure 11a), the interface slip quickly increases with the applied load at the initial loading stage when the interface friction coefficient is zero. Once the interface friction is considered, the shear force is first borne by the interface friction between the steel girder and the PC slab. The load corresponding to point A1 is 20.5 kN, which is 17.6% and 31.7% lower than those at points B1 and C1, respectively. The ultimate load-bearing capacity of S4-S6 is at least 5.2% greater than S1. Figure 11b shows the curves of bolt connectors of 20 mm diameter, which possess a similar developing tendency to that of bolts with a diameter of 16 mm. The applied load corresponding to A2 is 34.3 kN, which is 16.7% and 30.7% lower than those at points B2 and C2, respectively. The ultimate load-bearing capacity of S27-S29 is at least 9.0% greater than S11. Therefore, it can be concluded that the application of preload dramatically increases the initial stiffness of the bolt and benefits the ultimate load-bearing capacity. A comparison shows that the increase in the ultimate load-bearing capacity is more evident for the bolt with a greater diameter.
- (2)
- The effects of the steel–concrete interface friction coefficient are also investigated. S1, S5, S7, and S8 were set as a group, which processes the bolt preload of 80 kN and various interface friction coefficients between the steel girder and PC slab. The average load versus slip curves is shown in Figure 12. Clearly, the increase in friction coefficient advanced the load-bearing capacity of the multi-bolt shear connector. Meanwhile, the load-bearing capacity at the moment that the interface was overcome increased by 160.2% when the friction coefficient increased from 0.2 to 0.5. In addition, the increase in friction coefficient causes a 5.6% increase in the ultimate load-bearing capacity. Therefore, properly enhancing the interface friction coefficient is beneficial for the load-bearing capacity of the bolts.
4.2.3. Transverse Reinforcement Ratio
4.2.4. Bolt Diameter
4.2.5. Longitudinal Bolt Spacing
4.2.6. Row Number of Bolts
4.2.7. Depth of the PC Slab
4.2.8. Clearance between Bolt and Bolt Hole
5. Assessment of Ultimate Shear Resistance for Bolt Shear Connectors
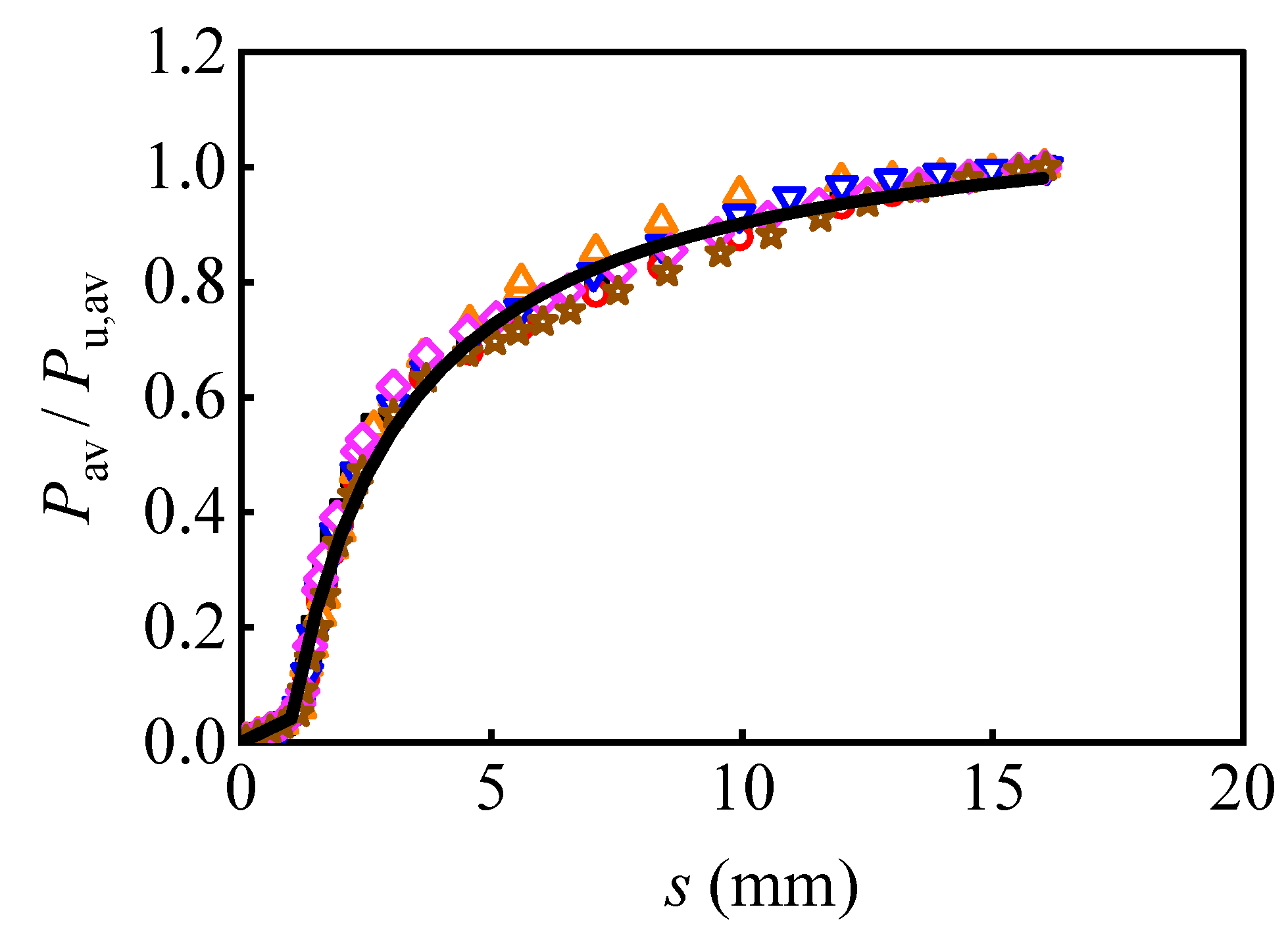
6. Shear Force Versus Slip Relationship of Multi-Bolt Shear Connectors
7. Conclusions
- (1)
- The concrete strength, transverse reinforcement ratio, and depth of the slab had a negligible effect on the shear resistance of multi-bolt shear connectors. The bolt preload, the friction coefficient of the interface between the steel girder and PC slab, bolt diameter, and longitudinal bolt spacing are the primary parameters that affect the shear performance of the multi-bolt shear connectors.
- (2)
- The bolt preload and the friction coefficient of the interface between the steel girder and PC slab dramatically improved the initial shear stiffness of the bolts. The friction at the steel–concrete interface first resists the applied shear force, and the interface relative slip is negligible before the interface friction is overcome. Moreover, the increase in the bolt preload and the interface friction coefficient are beneficial for the ultimate load-bearing capacity of the bolts, which is more evident for the bolts with a greater diameter.
- (3)
- When the longitudinal bolt spacing was reduced from 100 mm to 60 mm, the decrease in average peak load per bolt was 3.5%, 9.2%, and 11.4% for multi-bolts with diameters of 16 mm, 20 mm, and 24 mm. Therefore, the decrease in longitudinal bolt spacing reduces the load-bearing capacity of the bolts, which becomes more evident for bolts with greater diameters.
- (4)
- The increase in the bolt diameter significantly enhances the load-bearing capacity of the bolt. The ultimate load-bearing capacity of the bolt increased by 26.7% when the bolt diameter increased from 16 mm to 20 mm; however, it only increased by 5.9% as the diameter increased from 20 mm to 24 mm. The increase in bolt diameter amplifies the discrepancy in stiffness between bolts and PC slabs; hence, the PC slab could not provide effective restraint for the bolts while greater diameter bolts were used.
- (5)
- A calculation model was proposed and verified to exhibit reasonable accuracy in predicting the shear resistance of multi-bolt shear connectors. Meanwhile, two simplified shear force versus slip models for multi-bolt shear connectors with a diameter of 16 mm were developed, which could be used for the prediction of shear stiffness of multi-bolt connectors considering the interface friction and bolt preload influence.
Author Contributions
Funding
Institutional Review Board Statement
Informed Consent Statement
Data Availability Statement
Acknowledgments
Conflicts of Interest
References
- Nguyen, C.L.; Lee, C.K. Flexural behaviours of Engineered Cementitious Composites–High strength steel composite beams. Eng. Struct. 2021, 249, 113324. [Google Scholar] [CrossRef]
- Bahaz, A.; Amara, S.; Demonceau, J.F. Numerical evaluation for the effective slab width of continuous composite beams. Mater. Today Proc. 2022, 58, 1490–1496. [Google Scholar] [CrossRef]
- Daou, A.; Mahayri, A.R.; Daou, Y.; Baalbaki, O.; Khatib, M. The Use of Shear Connectors for Enhancing the Performance of Steel–Concrete Composite Beams: Experimental and Numerical Assessment. Int. J. Steel Struct. 2021, 21, 1966–1976. [Google Scholar] [CrossRef]
- Liu, X.P.; Bradford, M.A.; Ataei, A. Flexural performance of innovative sustainable composite steel-concrete beams. Eng. Struct. 2017, 130, 282–296. [Google Scholar] [CrossRef]
- Luo, Y.B.; Yan, J.B. Developments of prefabricated steel-concrete composite beams with novel steel-yielding demountable bolt connectors. J. Constr. Steel Res. 2022, 190, 107123. [Google Scholar] [CrossRef]
- Ataei, A.; Zeynalian, M. A study on structural performance of deconstructable bolted shear connectors in composite beams. Structures 2021, 29, 519–533. [Google Scholar] [CrossRef]
- Ataei, A.; Zeynalian, M.; Yazdi, Y. Cyclic behaviour of bolted shear connectors in steel-concrete composite beams. Eng. Struct. 2019, 198, 109455. [Google Scholar] [CrossRef]
- Dai, X.H.; Lam, D.; Saveri, E. Effect of concrete strength and stud collar size to shear capacity of demountable shear connectors. J. Struct. Eng. 2015, 141, 04015025. [Google Scholar] [CrossRef]
- Rehman, N.; Lam, D.; Dai, X. Experimental study on demountable shear connectors in composite slabs with profiled decking. J. Constr. Steel Res. 2016, 122, 178–189. [Google Scholar] [CrossRef]
- Pavlović, M.; Spremić, M.; Marković, Z. Headed shear studs versus high-strength bolts in prefabricated composite decks. Compos. Construct. Steel Concr. 2016, 7, 687–702. [Google Scholar]
- Lam, D.; Dai, X.H.; Saveri, E. Behaviour of demountable shear connectors in steel-concrete composite beams. Compos. Construct. Steel Concr. 2013, 618–631. [Google Scholar] [CrossRef]
- Chen, Y.T.; Zhao, Y.; West, J.S. Behaviour of steel-precast composite girders with through-bolt shear connectors under static loading. J. Constr. Steel Res. 2014, 103, 168–178. [Google Scholar] [CrossRef]
- Zou, X.X.; Feng, P.; Wang, J.Q. Bolted shear connection of FRP-concrete hybrid beams. J. Compos. Constr. 2018, 22, 04018012. [Google Scholar] [CrossRef]
- Wang, Y.H.; Yu, J.; Liu, J.P. Shear behavior of shear stud groups in precast concrete decks. Eng. Struct. 2019, 187, 73–84. [Google Scholar] [CrossRef]
- Wang, W.; Zhang, X.D.; Zhou, X.L.; Wu, L.; Zhu, H.J. Study on shear behavior of multi-bolt connectors for prefabricated steel-concrete composite beams. Front. Mater. 2021, 8, 625425. [Google Scholar] [CrossRef]
- Belardi, V.G.; Fanelli, P.; Vivio, F. Analysis of multi-bolt composite joints with a user-defined finite element for the evaluation of load distribution and secondary bending. Compos. Part B 2021, 227, 109378. [Google Scholar] [CrossRef]
- Lyu, Y.F.; Li, G.Q.; Wang, Y.B.; Li, H.; Wang, Y.Z. Bearing behavior of multi-bolt high strength steel connections. Eng. Struct. 2020, 212, 110510. [Google Scholar] [CrossRef]
- Yang, T.; Liu, S.Y.; Qin, B.X.; Liu, Y.Q. Experimental study on multi-bolt shear connectors of prefabricated steel-concrete composite beams. J. Constr. Steel Res. 2020, 173, 106260. [Google Scholar] [CrossRef]
- EN 1994-1-1; Eurocode 4—Design of Composite Steel and Concrete Structures. Part 1–1: General Rules and Rules for Buildings. European Committee for Standardization (CEN): Brussels, Belgium, 2004.
- GB/T 228-2010; Metallic Materials-Tensile Testing at Ambient Temperature. China Architecture & Building Press: Beijing, China, 2002. (In Chinese)
- GB/T 50081-2019; Standard for Test Methods of Concrete Physical and Mechanical Properties. China Architecture & Building Press: Beijing, China, 2019. (In Chinese)
- JGJ/T 70–2009; Standard for Test Method of Basic Properties of Construction Mortar. China Architecture & Building Press: Beijing, China, 2009.
- Guo, L.H.; Gao, S.; Fu, F.; Wang, Y.Y. Experimental study and numerical analysis of progressive collapse resistance of composite frames. J. Constr. Steel Res. 2013, 89, 236–251. [Google Scholar] [CrossRef]
- GB 50010-2010(2015); Code for Design of Concrete Structures. China Architecture & Building Press: Beijing, China, 2017. (In Chinese)























| Items | Thickness/Diameter (mm) | Yield Strength (MPa) | Tensile Strength (MPa) | Young’s Modulus (GPa) |
|---|---|---|---|---|
| Steel beam flange | 18 | 343.5 | 483.0 | 210.0 |
| Steel beam web | 10 | 300.0 | 435.0 | 204.0 |
| Reinforcing bars | 10 | 424.3 | 682.0 | 182.0 |
| Axial Compressive Strength fc (MPa) | Tensile Strength ft (MPa) | Young’s Modulus Ec (GPa) |
|---|---|---|
| 37.3 | 3.4 | 37.8 |
| Dilation Angle | Eccentricity | Stress Ratio | Shape Factor | Viscosity Factor |
|---|---|---|---|---|
| 30° | 0.1 | 1.16 | 0.6667 | 0.001 |
| ID | fc (MPa) | Pi (kN) | μi | ρt (%) | dbolt (mm) | nrow | ls (mm) | ds (mm) | dhole (mm) |
|---|---|---|---|---|---|---|---|---|---|
| S1 | 32.4 | 30.0 | 0 | 0.40 | 16 | 3 | 100 | 150 | 18 |
| S2 | 20.1 | 30.0 | 0 | 0.40 | 16 | 3 | 100 | 150 | 18 |
| S3 | 26.8 | 30.0 | 0 | 0.40 | 16 | 3 | 100 | 150 | 18 |
| S4 | 32.4 | 60.0 | 0.35 | 0.40 | 16 | 3 | 100 | 150 | 18 |
| S5 | 32.4 | 80.0 | 0.35 | 0.40 | 16 | 3 | 100 | 150 | 18 |
| S6 | 32.4 | 100.0 | 0.35 | 0.40 | 16 | 3 | 100 | 150 | 18 |
| S7 | 32.4 | 80.0 | 0.2 | 0.40 | 16 | 3 | 100 | 150 | 18 |
| S8 | 32.4 | 80.0 | 0.5 | 0.40 | 16 | 3 | 100 | 150 | 18 |
| S9 | 32.4 | 30.0 | 0 | 0.32 | 16 | 3 | 100 | 150 | 18 |
| S10 | 32.4 | 30.0 | 0 | 0.48 | 16 | 3 | 100 | 150 | 18 |
| S11 | 32.4 | 30.0 | 0 | 0.40 | 20 | 3 | 100 | 150 | 18 |
| S12 | 32.4 | 30.0 | 0 | 0.40 | 24 | 3 | 100 | 150 | 18 |
| S13 | 32.4 | 30.0 | 0 | 0.40 | 16 | 3 | 80 | 150 | 18 |
| S14 | 32.4 | 30.0 | 0 | 0.40 | 16 | 3 | 60 | 150 | 18 |
| S15 | 32.4 | 30.0 | 0 | 0.40 | 16 | 1 | N.A. | 150 | 18 |
| S16 | 32.4 | 30.0 | 0 | 0.40 | 16 | 2 | 100 | 150 | 18 |
| S17 | 32.4 | 30.0 | 0 | 0.40 | 16 | 4 | 100 | 100 | 18 |
| S18 | 32.4 | 30.0 | 0 | 0.40 | 16 | 3 | 100 | 100 | 18 |
| S19 | 32.4 | 30.0 | 0 | 0.40 | 16 | 3 | 100 | 200 | 18 |
| S20 | 32.4 | 30.0 | 0 | 0.40 | 20 | 3 | 80 | 150 | 18 |
| S21 | 32.4 | 30.0 | 0 | 0.40 | 20 | 3 | 60 | 150 | 18 |
| S22 | 32.4 | 30.0 | 0 | 0.40 | 24 | 3 | 80 | 150 | 18 |
| S23 | 32.4 | 30.0 | 0 | 0.40 | 24 | 3 | 60 | 150 | 18 |
| S24 | 32.4 | 30.0 | 0 | 0.40 | 16 | 3 | 100 | 150 | 18 |
| S25 | 32.4 | 30.0 | 0 | 0.40 | 16 | 3 | 100 | 150 | 19 |
| S26 | 32.4 | 30.0 | 0 | 0.40 | 16 | 3 | 100 | 150 | 20 |
| S27 | 32.4 | 100.0 | 0.35 | 0.40 | 20 | 3 | 100 | 150 | 18 |
| S28 | 32.4 | 125.0 | 0.35 | 0.40 | 20 | 3 | 100 | 150 | 18 |
| S29 | 32.4 | 150.0 | 0.35 | 0.40 | 20 | 3 | 100 | 150 | 18 |
| Statistical Indicators | Nu,[α = 0.90]/Pu,av | Nu,[α = 0.95]/Pu,av | Nu,[α = 1.0]/Pu,av |
|---|---|---|---|
| Average | 0.970 | 1.024 | 1.078 |
| Variance | 0.0017 | 0.0015 | 0.0071 |
| Coefficient of variation | 0.0427 | 0.0378 | 0.0782 |
Disclaimer/Publisher’s Note: The statements, opinions and data contained in all publications are solely those of the individual author(s) and contributor(s) and not of MDPI and/or the editor(s). MDPI and/or the editor(s) disclaim responsibility for any injury to people or property resulting from any ideas, methods, instructions or products referred to in the content. |
© 2023 by the authors. Licensee MDPI, Basel, Switzerland. This article is an open access article distributed under the terms and conditions of the Creative Commons Attribution (CC BY) license (https://creativecommons.org/licenses/by/4.0/).
Share and Cite
Xie, R.; Yang, T.; Li, B.; Liu, S.; Zhang, Y. Analysis of Shear Performance of Multi-Bolt Shear Connectors. Materials 2023, 16, 1032. https://doi.org/10.3390/ma16031032
Xie R, Yang T, Li B, Liu S, Zhang Y. Analysis of Shear Performance of Multi-Bolt Shear Connectors. Materials. 2023; 16(3):1032. https://doi.org/10.3390/ma16031032
Chicago/Turabian StyleXie, Rongtian, Tao Yang, Baojun Li, Shiyuan Liu, and Yongbing Zhang. 2023. "Analysis of Shear Performance of Multi-Bolt Shear Connectors" Materials 16, no. 3: 1032. https://doi.org/10.3390/ma16031032
APA StyleXie, R., Yang, T., Li, B., Liu, S., & Zhang, Y. (2023). Analysis of Shear Performance of Multi-Bolt Shear Connectors. Materials, 16(3), 1032. https://doi.org/10.3390/ma16031032

