Ratiometric Electrochemical Sensor for Butralin Determination Using a Quinazoline-Engineered Prussian Blue Analogue
Abstract
:1. Introduction
2. Materials and Methods
2.1. Reagents and Solutions
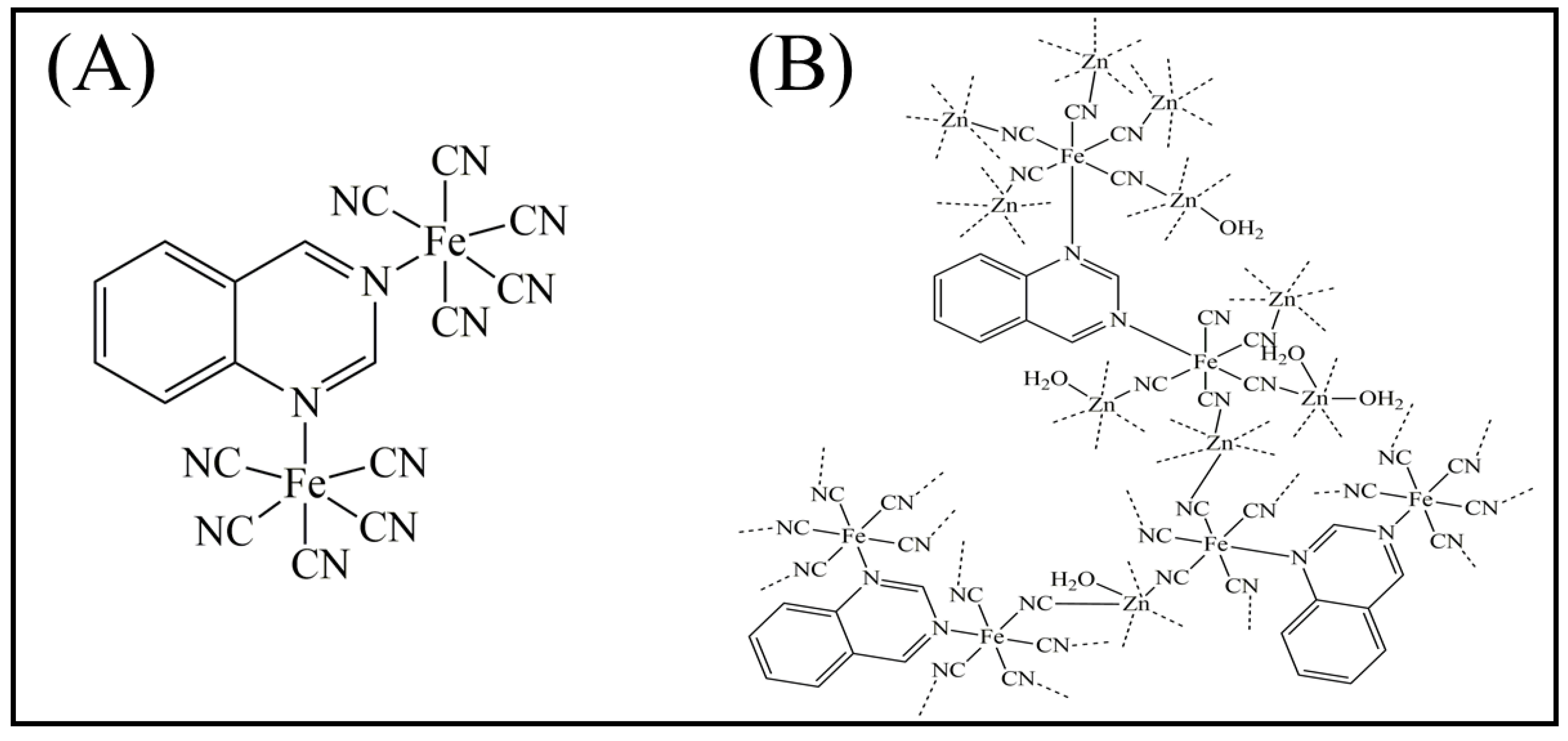
2.2. Synthesis and Characterization of PBA-qnz
2.3. Construction of Electrochemical Sensor
2.4. Electrochemical Measurements
2.5. Determination of BTL in Lettuce and Potato Samples
3. Results and Discussion
3.1. Characterization of PCF-qnz and PBA-qnz
3.2. Electrochemical Characteristics of PCF-qnz and PBA-qnz
3.3. Evaluation of Butralin Ratiometric Sensor Performance
3.4. Interference and Stability Assays
3.5. Quantification of BTL in Lettuce and Potato Samples
4. Conclusions
Author Contributions
Funding
Institutional Review Board Statement
Informed Consent Statement
Data Availability Statement
Acknowledgments
Conflicts of Interest
References
- Song, X.; Song, S.; Wang, D.; Zhang, H. Prussian Blue Analogs and Their Derived Nanomaterials for Electrochemical Energy Storage and Electrocatalysis. Small Methods 2021, 5, 2001000. [Google Scholar] [CrossRef] [PubMed]
- Qiu, S.; Xu, Y.; Wu, X.; Ji, X. Prussian Blue Analogues as Electrodes for Aqueous Monovalent Ion Batteries. Electrochem. Energy Rev. 2022, 5, 242–262. [Google Scholar] [CrossRef]
- Ying, S.; Chen, C.; Wang, J.; Lu, C.; Liu, T.; Kong, Y.; Yi, F.Y. Synthesis and Applications of Prussian Blue and Its Analogues as Electrochemical Sensors. Chempluschem 2021, 86, 1608–1622. [Google Scholar] [CrossRef]
- Pires, B.M.; Jannuzzi, S.V.A.; Formiga, A.L.B.; Bonacin, J.A. Prussian Blue Films Produced by Pentacyanidoferrate(II) and Their Application as Active Electrochemical Layers. Eur. J. Inorg. Chem. 2014, 2014, 5812–N5819. [Google Scholar] [CrossRef]
- Chen, J.; Wang, Y.; Luo, X.; Chen, Y. Recent Research Progress and Outlook in Agricultural Chemical Discovery Based on Quinazoline Scaffold. Pestic. Biochem. Physiol. 2022, 184, 105122. [Google Scholar] [CrossRef]
- Cheke, R.S.; Shinde, S.D.; Ambhore, J.P.; Chaudhari, S.R.; Bari, S.B. Quinazoline: An Update on Current Status against Convulsions. J. Mol. Struct. 2022, 1248, 131384. [Google Scholar] [CrossRef]
- Chai, L.Q.; Chai, Y.M.; Li, C.G.; Zhou, L. Two Mono- and Dinuclear Cu (II) Complexes Derived from 3-Ethoxy Salicylaldehyde: X-ray Structures, Spectroscopic, Electrochemical, Antibacterial Activities, Hirshfeld Surfaces Analyses, and Time-Dependent Density Functional Theory Studies. Appl. Organomet. Chem. 2022, 36, e6475. [Google Scholar] [CrossRef]
- Yang, Z.; Wang, T.; Chen, H.; Suo, X.; Halstenberg, P.; Lyu, H.; Jiang, W.; Mahurin, S.M.; Popovs, I.; Dai, S. Surpassing the Organic Cathode Performance for Lithium-Ion Batteries with Robust Fluorinated Covalent Quinazoline Networks. ACS Energy Lett. 2021, 6, 41–51. [Google Scholar] [CrossRef]
- Wu, X.; Ru, Y.; Bai, Y.; Zhang, G.; Shi, Y.; Pang, H. PBA Composites and Their Derivatives in Energy and Environmental Applications. Coord. Chem. Rev. 2022, 451, 214260. [Google Scholar] [CrossRef]
- Li, J.; He, L.; Jiang, J.; Xu, Z.; Liu, M.; Liu, X.; Tong, H.; Liu, Z.; Qian, D. Facile Syntheses of Bimetallic Prussian Blue Analogues (KxM[Fe(CN)6]·nH2O, M=Ni, Co, and Mn) for Electrochemical Determination of Toxic 2-Nitrophenol. Electrochim. Acta 2020, 353, 136579. [Google Scholar] [CrossRef]
- Zhang, W.; Wen, J.; Wang, J.; Yang, K.; Sun, S. Recent Development and Application of Ratiometric Electrochemical Biosensor. J. Electroanal. Chem. 2022, 921, 116653. [Google Scholar] [CrossRef]
- Xu, Z.; Li, P.; Liu, X.; Zhu, X.; Liu, M.; Zhang, Y.; Yao, S. Dual-Signal Intrinsic Self-Calibration Ratio Electrochemical Sensor for Glutathione Based on Silver Nanoparticle Decorated Prussian Blue Analog. Electrochim. Acta 2022, 434, 141273. [Google Scholar] [CrossRef]
- Jin, H.; Gui, R.; Yu, J.; Lv, W.; Wang, Z. Fabrication Strategies, Sensing Modes and Analytical Applications of Ratiometric Electrochemical Biosensors. Biosens. Bioelectron. 2017, 91, 523–537. [Google Scholar] [CrossRef] [PubMed]
- Spring, S.A.; Goggins, S.; Frost, C.G. Ratiometric Electrochemistry: Improving the Robustness, Reproducibility and Reliability of Biosensors. Molecules 2021, 26, 2130. [Google Scholar] [CrossRef]
- Liu, C.; Wei, X.; Wang, X.; Shi, J.; Chen, Z.; Zhang, H.; Zhang, W.; Zou, X. Ratiometric Electrochemical Analysis on a Flexibly-Fabricated Vibratory Electrode Module for Reliable and Selective Determination of Imidacloprid. Sens. Actuators B Chem. 2021, 329, 129228. [Google Scholar] [CrossRef]
- Yang, T.; Yu, R.; Yan, Y.; Zeng, H.; Luo, S.; Liu, N.; Morrin, A.; Luo, X.; Li, W. A Review of Ratiometric Electrochemical Sensors: From Design Schemes to Future Prospects. Sens. Actuators B Chem. 2018, 274, 501–516. [Google Scholar] [CrossRef]
- Gerent, G.G.; Santana, E.R.; Martins, E.C.; Spinelli, A. A Non-Mercury Electrode for the Voltammetric Determination of Butralin in Foods. Food Chem. 2021, 343, 128419. [Google Scholar] [CrossRef]
- Yang, L.; Song, X.; Zhou, X.; Zhou, Y.; Zhou, Y.; Gong, D.; Luo, H.; Deng, Y.; Yang, D.; Chen, L. Residual Behavior and Risk Assessment of Butralin in Peanut Fields. Environ. Monit. Assess. 2020, 192, 62. [Google Scholar] [CrossRef]
- Ghatge, S.; Yang, Y.; Moon, S.; Song, W.Y.; Kim, T.Y.; Liu, K.H.; Hur, H.G. A Novel Pathway for Initial Biotransformation of Dinitroaniline Herbicide Butralin from a Newly Isolated Bacterium Sphingopyxis Sp. Strain HMH. J. Hazard. Mater. 2021, 402, 123510. [Google Scholar] [CrossRef]
- Xu, X.; Guo, X.; Song, S.; Wu, A.; Xu, C.; Kuang, H.; Liu, L. Gold-Based Strip Sensor for the Rapid and Sensitive Detection of Butralin in Tomatoes and Peppers. Food Addit. Contam.—Part A Chem. Anal. Control Expo. Risk Assess. 2022, 39, 1255–1264. [Google Scholar] [CrossRef]
- Wang, X.; You, Q.; Hou, Z.; Yu, X.; Gao, H.; Gao, Y.; Wang, L.; Wei, L.; Lu, Z. Establishing the HPLC-MS/MS Method for Monitoring the Residue and Degradation of Butralin in Ginseng during Field and Risk Assessments. Agronomy 2022, 12, 2675. [Google Scholar] [CrossRef]
- Sreedhar, M.; Reddy, S.J. Electrochemical Reduction and Differential Pulse Polarographic Determination of Butralin and Isopropalin in Environmental Samples at a Mercury Electrode. Bull. Chem. Soc. Jpn. 2002, 75, 2155–2159. [Google Scholar] [CrossRef]
- Deng, X.; Lin, X.; Zhou, H.; Liu, J. Equipment of Vertically-Ordered Mesoporous Silica Film on Electrochemically Pretreated Three-Dimensional Graphene Electrodes for Sensitive Detection of Methidazine in Urine. Nanomaterials 2023, 13, 239. [Google Scholar] [CrossRef] [PubMed]
- Gong, J.; Zhang, T.; Chen, P.; Yan, F.; Liu, J. Bipolar Silica Nanochannel Array for Dual-Mode Electrochemiluminescence and Electrochemical Immunosensing Platform. Sens. Actuators B Chem. 2022, 368, 132086. [Google Scholar] [CrossRef]
- Gong, J.; Tang, H.; Wang, M.; Lin, X.; Wang, K.; Liu, J. Novel Three-Dimensional Graphene Nanomesh Prepared by Facile Electro-Etching for Improved Electroanalytical Performance for Small Biomolecules. Mater. Des. 2022, 215, 110506. [Google Scholar] [CrossRef]
- Franzoi, A.C.; Peralta, R.A.; Neves, A.; Vieira, I.C. Biomimetic Sensor Based on MnIIIMnII Complex as Manganese Peroxidase Mimetic for Determination of Rutin. Talanta 2009, 78, 221–226. [Google Scholar] [CrossRef]
- Achelle, S.; Rodríguez-López, J.; Robin-Le Guen, F. Synthesis and Photophysical Studies of a Series of Quinazoline Chromophores. J. Org. Chem. 2014, 79, 7564–7571. [Google Scholar] [CrossRef]
- Jannuzzi, S.A.V.; Martins, B.; Felisberti, M.I.; Formiga, A.L.B. Supramolecular Interactions between Inorganic and Organic Blocks of Pentacyanoferrate/Poly(4-Vinylpyridine) Hybrid Metallopolymer. J. Phys. Chem. B 2012, 116, 14933–14942. [Google Scholar] [CrossRef]
- Monteiro, M.C.; Toledo, K.C.F.; Pires, B.M.; Wick, R.; Bonacin, J.A. Improvement in Efficiency of the Electrocatalytic Reduction of Hydrogen Peroxide by Prussian Blue Produced from the [Fe(CN)5(Mpz)]2-Complex. Eur. J. Inorg. Chem. 2017, 2017, 1979–1988. [Google Scholar] [CrossRef]
- Moore, K.J.; Lee, L.; Figard, J.E.; Gelroth, J.A.; Stinson, A.J.; Wohlers, H.D.; Petersen, J.D. Photochemistry of Mixed-Metal Bimetallic Complexes Containing Pentacyanoferrate(II) or Pentaammineruthenium(II) Metal Centers. Evidence for Some Intramolecular Energy-Transfer Reactions. J. Am. Chem. Soc. 1983, 105, 2274–2279. [Google Scholar] [CrossRef]
- Gatteschi, D. NMR, NQR, EPR and Mössbauer Spectroscopy in Inorganic Chemistry, 1st ed.; Ellis Horwood Limited: West Sussex, UK, 1990. [Google Scholar]
- Ghobadi, T.G.U.; Ghobadi, A.; Demirtas, M.; Buyuktemiz, M.; Ozvural, K.N.; Yildiz, E.A.; Erdem, E.; Yaglioglu, H.G.; Durgun, E.; Dede, Y.; et al. Building an Iron Chromophore Incorporating Prussian Blue Analogue for Photoelectrochemical Water Oxidation. Chem.—A Eur. J. 2021, 27, 8966–8976. [Google Scholar] [CrossRef] [PubMed]
- Li, J.; Chu, Y.; Zhang, C.; Zhang, X.; Wu, C.; Xiong, X.; Zhou, L.; Wu, C.; Han, D. CoFe Prussian Blue Decorated BiVO4 as Novel Photoanode for Continuous Photocathodic Protection of 304 Stainless Steel. J. Alloys Compd. 2021, 887, 161279. [Google Scholar] [CrossRef]
- Glicksman, R.; Morehouse, C.K. Investigation of the Electrochemical Properties of Organic Compounds. I. Aromatic Nitro Compounds. J. Electrochem. Soc. 1958, 105, 299. [Google Scholar] [CrossRef]
- Kumar, S.A.; Chen, S. Myoglobin/Arylhydroxylamine Film Modified Electrode: Direct Electrochemistry and Electrochemical Catalysis. Talanta 2007, 72, 831–838. [Google Scholar] [CrossRef]
- Bonacin, J.A.; Dos Santos, P.L.; Katic, V.; Foster, C.W.; Banks, C.E. Use of Screen-Printed Electrodes Modified by Prussian Blue and Analogues in Sensing of Cysteine. Electroanalysis 2018, 30, 170–179. [Google Scholar] [CrossRef]
- Gumustas, M.; Ozkan, S.A. The Role of and the Place of Method Validation in Drug Analysis Using Electroanalytical Techniques. Open Anal. Chem. J. 2011, 5, 1–21. [Google Scholar] [CrossRef]
- Wang, X.; Huang, L.; Yuan, N.; Huang, P.; Du, X.; Lu, X. Facile Fabrication of a Novel SPME Fiber Based on Silicone Sealant/Hollqow ZnO@CeO2 Composite with Super-Hydrophobicity for the Enhanced Capture of Pesticides from Water. Microchem. J. 2022, 183, 108118. [Google Scholar] [CrossRef]
- Liu, H.; Ding, C.; Zhang, S.; Liu, H.; Liao, X.; Qu, L.; Zhao, Y.; Wu, Y. Simultaneous Residue Measurement of Pendimethalin, Isopropalin, and Butralin in Tobacco Using High-Performance Liquid Chromatography with Ultraviolet Detection and Electrospray Ionization/Mass Spectrometric Identification. J. Agric. Food Chem. 2004, 52, 6912–6915. [Google Scholar] [CrossRef]





| Analytical Method | Tools | Matrix | LOD/nmol L−1 | Ref. |
|---|---|---|---|---|
| Chromatographic | HPLC-UV with SPME a | Surface water | 0.2 | [38] |
| Chromatographic | HPLC-UV-ESI/MS b | Tobacco leaf powder | 508 | [39] |
| Immunochromatographic | Gold-based strip sensor | Phosphate buffer saline (pH 7.4) | 10.4 | [20] |
| Electrochemical | Co-Ag BMNPs-PVP/GCE c | B–R buffer (pH 2.0) | 32.0 | [17] |
| Electrochemical | Dropping mercury electrode | B–R buffer (pH 4.0) | 60.0 | [22] |
| Electrochemical | PBA-qnz/CPE | B–R buffer (pH 2.0) | 170 | This study |
| Samples | Determined a /µmol L−1 | Added/µmol L−1 | Found a/µmol L−1 | Recovery b/% |
|---|---|---|---|---|
| Lettuce (Lactuca sativa) | Not detected | 1.0 | 1.03 | 95–110 |
| 10.0 | 10.07 | 99–102 | ||
| Potato (Solanum tuberosum) | Not detected | 1.0 | 1.01 | 94–110 |
| 10.0 | 9.97 | 97–105 |
Disclaimer/Publisher’s Note: The statements, opinions and data contained in all publications are solely those of the individual author(s) and contributor(s) and not of MDPI and/or the editor(s). MDPI and/or the editor(s) disclaim responsibility for any injury to people or property resulting from any ideas, methods, instructions or products referred to in the content. |
© 2023 by the authors. Licensee MDPI, Basel, Switzerland. This article is an open access article distributed under the terms and conditions of the Creative Commons Attribution (CC BY) license (https://creativecommons.org/licenses/by/4.0/).
Share and Cite
Monteiro, M.C.; Winiarski, J.P.; Santana, E.R.; Szpoganicz, B.; Vieira, I.C. Ratiometric Electrochemical Sensor for Butralin Determination Using a Quinazoline-Engineered Prussian Blue Analogue. Materials 2023, 16, 1024. https://doi.org/10.3390/ma16031024
Monteiro MC, Winiarski JP, Santana ER, Szpoganicz B, Vieira IC. Ratiometric Electrochemical Sensor for Butralin Determination Using a Quinazoline-Engineered Prussian Blue Analogue. Materials. 2023; 16(3):1024. https://doi.org/10.3390/ma16031024
Chicago/Turabian StyleMonteiro, Marcio Cristiano, João Paulo Winiarski, Edson Roberto Santana, Bruno Szpoganicz, and Iolanda Cruz Vieira. 2023. "Ratiometric Electrochemical Sensor for Butralin Determination Using a Quinazoline-Engineered Prussian Blue Analogue" Materials 16, no. 3: 1024. https://doi.org/10.3390/ma16031024
APA StyleMonteiro, M. C., Winiarski, J. P., Santana, E. R., Szpoganicz, B., & Vieira, I. C. (2023). Ratiometric Electrochemical Sensor for Butralin Determination Using a Quinazoline-Engineered Prussian Blue Analogue. Materials, 16(3), 1024. https://doi.org/10.3390/ma16031024

