Study on Mechanical Properties of Two-Component Polyurethane Based on Multi-Scale Molecular Simulation
Abstract
:1. Introduction
2. Simulation of Molecular Dynamics
2.1. Principles of Molecular Dynamics Simulation
2.2. Solubility Parameter
2.3. The Energy of Binding
2.4. MSD and Diffusion Coefficient
2.5. Mechanical Property
2.6. Construction of the Molecular Models
3. Materials and Methods
3.1. Materials
3.2. Specimen Preparation
3.3. Mechanical Test
4. Multi-Scale Molecular Simulation Results and Analysis
4.1. Solubility Parameter Analysis
4.2. Binding Energy Analysis
4.3. MSD and Diffusion Coefficient Analysis
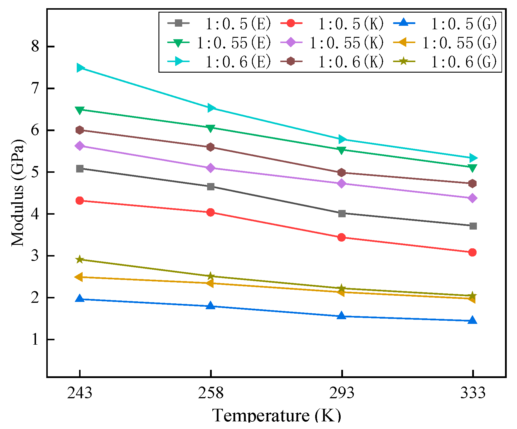
4.4. Mechanical Performance Analysis
5. Results and Analysis of Direct Tensile Tests
6. Conclusions
- The solubility parameters of polyether polyol and MDI decrease with the increase in temperature. When the temperature is 333 K, the solubility parameter difference between the two components is from 1.4 to 1.5 (J/cm3)1/2, and they blend best. When the mass ratio of polyether polyol and MDI is 1:0.6, the solubility parameter difference between the two components is minor compared with other ratios, indicating that the two-component system is more stable with increased isocyanate content.
- The increasing MDI content and temperature increase the binding energy between two-component molecules. When the temperature is 333 K, and the mass ratio of the two components is 1:0.6, the maximum value is 531.68 kcal/mol, and the stability of polyether polyol and the MDI system is optimal.
- As the temperature increases, the molecular motion in the system accelerates, and the diffusion coefficient continues to grow. The diffusion coefficient of MDI molecules decreases with the increase in MDI molecular content.
- The macroscopic tensile test results show that the isocyanate content and temperature change significantly affected the mechanical properties of polyurethane elastomers. With the increase in isocyanate content and the decrease in temperature, the tensile strength of polyurethane elastomers increased, the elongation at break decreased, and Young’s modulus increased, which is consistent with the law of molecular simulation.
Author Contributions
Funding
Institutional Review Board Statement
Informed Consent Statement
Data Availability Statement
Conflicts of Interest
References
- Li, C.T.; Ye, X.J. The effect of hard segment structure on the operating performance and mechanical properties of polyurethane elastomers. Polyurethane Ind. 2018, 33, 41–43. [Google Scholar]
- Zhong, F.C.; Fu, Y.B. Structure and mechanical properties of polyurethane plastomer. J. Mater. Sci. Eng. 2003, 2, 211–214. [Google Scholar]
- Samimi, A.; Zarinabadi, S. Application polyurethane as coating in oil and gas pipelines. Int. J. Sci. Investig. 2012, 1, 43–45. [Google Scholar]
- Hong, B.; Lu, G.Y. Anti-ultraviolet aging performance of polyurethane binders used in roads. China J. Highw. Transp. 2020, 33, 240–253. [Google Scholar]
- Tian, S.Q. Recent advances in functional polyurethane and its application in leather manufacture: A review. Polymers 2020, 12, 1996. [Google Scholar] [CrossRef] [PubMed]
- Geng, Y.F. Synthesis and Properties of Low Temperature Resistant Thermoplastic Polyurethane Elastomers. Master’s Thesis, Zhengzhou University, Zhengzhou, China, 2021. [Google Scholar]
- Wang, Y.F.; Yu, T.L. Fatigue performance of rib beam bridge slabs reinforced with polyurethane concrete based on the damage theory. Buildings 2022, 12, 704. [Google Scholar] [CrossRef]
- Fan, Y.S. Effect of Temperature and Humidity on Static Strength of Polyurethane Adhesive for Vehicle. Ph.D. Thesis, Jilin University, Changchun, China, 2018. [Google Scholar]
- Li, S.Y.; Liu, Z.Y. Effect of polyether/polyester polyol ratio on properties of waterborne two-component polyurethane coatings. Prog. Org. Coat. 2020, 141, 105545. [Google Scholar] [CrossRef]
- Huang, G.; Yang, T.H. Polyurethane as a modifier for road asphalt: A literature review. Constr. Build. Mater. 2022, 356, 129058. [Google Scholar] [CrossRef]
- Wang, Y.M.; Ma, R.B. Effect of the content and strength of hard segment on the viscoelasticity of the polyurethane elastomer: Insights from molecular dynamics simulation. Soft Matter 2022, 18, 4090–4101. [Google Scholar] [CrossRef] [PubMed]
- Cui, H.N. Molecular Dynamics Simulation of HTPB/MDI Polyurethane Elastomer. Master’s Thesis, Southwest Jiaotong University, Chengdu, China, 2018. [Google Scholar]
- Hildebrand, J.H. Solubility. J. Am. Chem. Soc. 1916, 38, 1452–1473. [Google Scholar] [CrossRef]
- Almahmoud, O.; Choi, T.Y. A molecular dynamics study on the effect of modified silica surface on water vapor diffusion in the silica–polyurethane nanocomposite membrane. MRS Commun. 2020, 10, 492–499. [Google Scholar] [CrossRef]
- Sun, H. COMPASS: An ab initio force-field optimized for condensed-phase applications overview with details on alkane and benzene compounds. J. Phys. Chem. B. 1998, 102, 7338–7364. [Google Scholar] [CrossRef]
- Anwar, J.; Zahn, D. Uncovering molecular processes in crystal nucleation and growth by using molecular simulation. Angew. Chem. Int. Ed. 2011, 50, 1996–2013. [Google Scholar] [CrossRef]
- Liu, P.S.; Li, Y.F. Synthesis of B component in polyurethane reaction injection molding. China Plastic 1990, 3, 45–49. [Google Scholar]
- Van, C.J.; Chaudhury, M.K. Interfacial Lifshitz-van der Waals and polar interactions in macroscopic systems. Chem. Rev. 1988, 88, 927–941. [Google Scholar] [CrossRef]
- Xie, C.; Lin, X.X. An investigation into the evolution law of young’s modulus of polyurethane xoatings with diluent contents by microstructure-based tests. Adv. Mater. Sci. Eng. 2022, 2022, 4438087. [Google Scholar] [CrossRef]
- Li, T.T.; Liu, J.C. Effect of hard segment content on properties of polyester thermosensitive polyurethane elastomer. Material Guide 2021, 35, 2161–2165. [Google Scholar]
- Zheng, M.K. Study on Preparation and Properties of Heat—Resistant Thermoplastic Polyurethane Elastomer. Master’s Thesis, Zhejiang University, Hangzhou, China, 2018. [Google Scholar]
- Peng, F.; Yang, X.; Zhu, Y. Effect of the symmetry of polyether glycols on structure-morphology-property behavior of polyurethane elastomers. Polymer 2022, 239, 124429. [Google Scholar] [CrossRef]












| Polyurethane Components | Serial Number | Index | Specifications |
|---|---|---|---|
| Isocyanate | 1 | Appearance | Brown liquid |
| 2 | Viscosity (25 °C)/mPa·s | 175–240 | |
| 3 | Isocyanate content/% | 29.5~31.0 | |
| Polyether polyol | 1 | Appearance | Colorless to light yellow transparent liquid |
| 2 | Viscosity(25 °C)/mPa·s | 300–500 | |
| 3 | Hydroxyl value/(mg KOH/g) | 450–460 | |
| 4 | Density (25 °C)/(g/cm3) | 1.12 ± 0.20 | |
| 5 | Acid value (mg KOH/g) | ≤0.07 | |
| 6 | Moisture content/% | ≤0.05 | |
| 7 | pH value | 5.0–8.0 |
| Code | PB1 | PB2 | PB3 |
|---|---|---|---|
| A:B Ratio | 1:0.5 | 1:0.55 | 1:0.6 |
| Temperature (K) | A (1) | B (0.6) | B (0.55) | B (0.5) |
|---|---|---|---|---|
| 243 | 24.56 | 23.35 | 23.13 | 22.94 |
| 258 | 24.38 | 22.89 | 22.87 | 22.78 |
| 293 | 24.07 | 22.68 | 22.57 | 22.48 |
| 333 | 23.59 | 22.16 | 22.12 | 22.09 |
| Temperature (K) | System Energy | ||||||
|---|---|---|---|---|---|---|---|
| ET (0.5) | ET (0.55) | ET (0.6) | Epo | EMDI (0.5) | EMDI (0.55) | EMDI (0.6) | |
| 243 | −10,063.88 | −10,291.62 | −10,437.17 | −7805.81 | −2274.97 | −2521.61 | −2766.08 |
| 258 | −9767.51 | −9839.67 | −9983.38 | −7652.49 | −2178.57 | −2355.16 | −2637.89 |
| 293 | −8911.02 | −9037.28 | −9076.80 | −7034.68 | −2022.17 | −2195.6 | −2447.17 |
| 333 | −8159.07 | −8155.86 | −8230.73 | −6557.89 | −1818.47 | −1947.26 | −2204.52 |
| Temperature (K) | A (1) | B (0.5) | B (0.55) | B (0.6) | ||||
|---|---|---|---|---|---|---|---|---|
| D | R2 | D | R2 | D | R2 | D | R2 | |
| 243 | 2.09 × 10−12 | 0.9851 | 5.64 × 10−12 | 0.9627 | 2.46 × 10−12 | 0.9897 | 1.65 × 10−12 | 0.9339 |
| 258 | 2.31 × 10−12 | 0.9866 | 6.40 × 10−12 | 0.9905 | 3.67 × 10−12 | 0.9760 | 2.56 × 10−12 | 0.9883 |
| 293 | 3.42 × 10−12 | 0.9954 | 1.67 × 10−11 | 0.9679 | 5.27 × 10−12 | 0.9530 | 3.64 × 10−12 | 0.9281 |
| 333 | 4.46 × 10−12 | 0.9707 | 1.86 × 10−11 | 0.9781 | 9.35 × 10−12 | 0.9661 | 4.49 × 10−12 | 0.1338 |
| Temperature (K) | Index | |||||
|---|---|---|---|---|---|---|
| A:B | λ | μ | E (GPa) | K (GPa) | G (GPa) | |
| 243 | 1:0.5 | 3.01 | 1.95 | 5.08 | 4.31 | 1.95 |
| 1:0.55 | 3.97 | 2.48 | 6.49 | 5.62 | 2.48 | |
| 1:0.6 | 4.07 | 2.9 | 7.49 | 6 | 2.9 | |
| 258 | 1:0.5 | 2.84 | 1.78 | 4.65 | 4.03 | 1.78 |
| 1:0.55 | 3.54 | 2.33 | 6.06 | 5.09 | 2.33 | |
| 1:0.6 | 3.93 | 2.5 | 6.53 | 5.59 | 2.5 | |
| 293 | 1:0.5 | 2.4 | 1.54 | 4.01 | 3.43 | 1.54 |
| 1:0.55 | 3.31 | 2.12 | 5.53 | 4.72 | 2.12 | |
| 1:0.6 | 3.51 | 2.21 | 5.78 | 4.98 | 2.21 | |
| 333 | 1:0.5 | 2.12 | 1.43 | 3.71 | 3.07 | 1.43 |
| 1:0.55 | 3.06 | 1.96 | 5.11 | 4.37 | 1.96 | |
| 1:0.6 | 3.37 | 2.03 | 5.33 | 4.72 | 2.03 | |
Disclaimer/Publisher’s Note: The statements, opinions and data contained in all publications are solely those of the individual author(s) and contributor(s) and not of MDPI and/or the editor(s). MDPI and/or the editor(s) disclaim responsibility for any injury to people or property resulting from any ideas, methods, instructions or products referred to in the content. |
© 2023 by the authors. Licensee MDPI, Basel, Switzerland. This article is an open access article distributed under the terms and conditions of the Creative Commons Attribution (CC BY) license (https://creativecommons.org/licenses/by/4.0/).
Share and Cite
Wang, X.; Yu, T.; Wu, Y.; Sheng, Y.; Wang, Y.; Hang, Y. Study on Mechanical Properties of Two-Component Polyurethane Based on Multi-Scale Molecular Simulation. Materials 2023, 16, 1006. https://doi.org/10.3390/ma16031006
Wang X, Yu T, Wu Y, Sheng Y, Wang Y, Hang Y. Study on Mechanical Properties of Two-Component Polyurethane Based on Multi-Scale Molecular Simulation. Materials. 2023; 16(3):1006. https://doi.org/10.3390/ma16031006
Chicago/Turabian StyleWang, Xingyu, Tianlai Yu, Yuxuan Wu, Yingjie Sheng, Yifan Wang, and Yutong Hang. 2023. "Study on Mechanical Properties of Two-Component Polyurethane Based on Multi-Scale Molecular Simulation" Materials 16, no. 3: 1006. https://doi.org/10.3390/ma16031006
APA StyleWang, X., Yu, T., Wu, Y., Sheng, Y., Wang, Y., & Hang, Y. (2023). Study on Mechanical Properties of Two-Component Polyurethane Based on Multi-Scale Molecular Simulation. Materials, 16(3), 1006. https://doi.org/10.3390/ma16031006

