Multisensory Spatial Analysis and NDT Active Magnetic Method for Quick Area Testing of Reinforced Concrete Structures
Abstract
1. Introduction
1.1. Abbreviations and Symbols Nomenclature
1.2. Motivation
1.3. Area Testing of RC Structures with NDT Methods
1.4. Selection of the Magnetic Sensor
2. Measuring System, Samples and Methods
2.1. Measuring System and Samples
2.2. Methods
2.2.1. Boxplot Graphs
2.2.2. Amplitude and Offset Calculations
2.2.3. Extraction of Attributes from Measured Waveforms
- Offset attributes (O)—the difference between the signal’s minimum (or average) value and the zero level. In the case of simple waveforms (such as those analyzed in this paper), it is a single attribute specified with a specific value. In more complex cases, these could be attributes describing, for example, a trend line showing how the offset changes over time.
- Amplitude attributes (A)—it is essential to keep these attributes independent. In simple cases, an attribute in this category is the maximum value minus the minimum value (in this way, the offset is separate from the amplitude). In more complex cases, this category also includes local maxima, minima, points of inflection, etc.
- Shape attributes (S) are many ways to describe the shape. The basic ones are described in [15]. The key is to maintain the independence of the attributes. The shape attributes should always refer to a normalized waveform and be independent of amplitude and offset.
- Attributes are as independent as possible.
- The attributes accurately reflected the shape of the waveform/signal.
- The number of attributes is as small as possible (avoiding the curse of dimensionality). Typically, one parameter should be identified based on one to five attributes.
3. Results
3.1. Expected Advantages Resulted from the Use of Sensor Arrays
- Enabling the identification of three parameters based on different premises from several independent waveforms (and attributes extracted from them). This procedure significantly simplifies and increases the efficiency of identification. Instead of identifying many parameters based on a single waveform (one set of attributes), separating and isolating the specific tasks is possible. Then, each can be solved based on separate premises (separate sets of attributes). For example, one parameter is identified based on measurement along the x-axis, another based on measurement along the z-axis, etc;
- Significant reduction in the measurement time (area testing instead of a time-consuming series of point measurements);
- Adjusting the transducer setting to the unusual positioning of the rebar;
- Simultaneous measurement in multiple places next to each other—reduction in the impact of noise by averaging the results;
- Simultaneous identification of a single parameter based on various independent premises—increasing reliability and error detection.
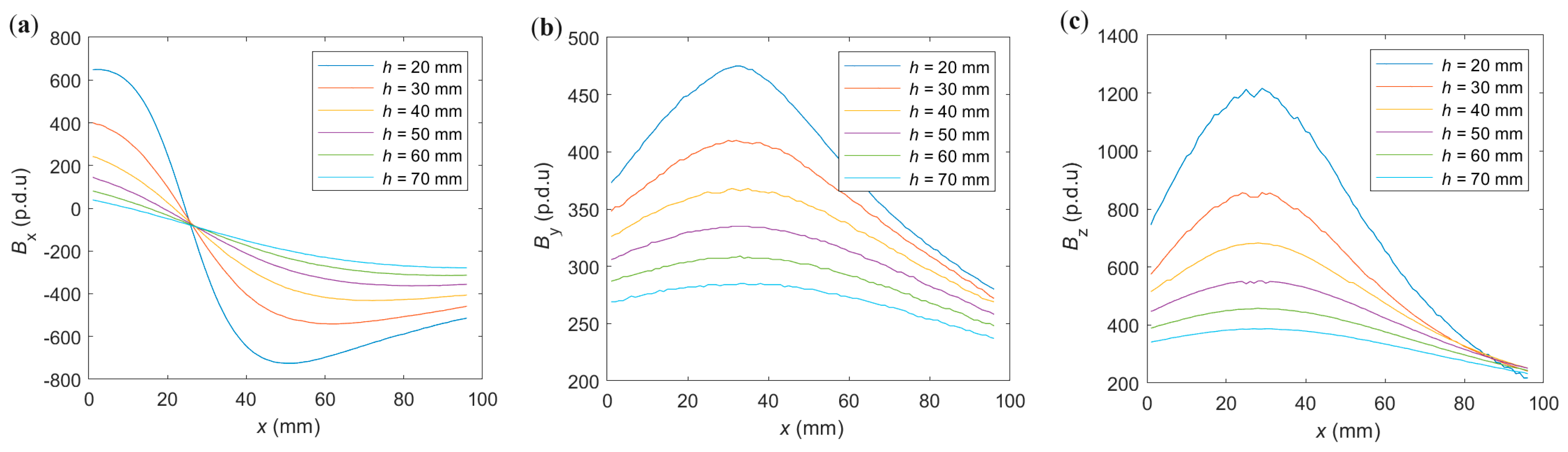
3.2. Simulations
3.3. Relations between the Parameters of RC Structures and the Obtained Measurement Results
3.3.1. Identification of the Concrete Cover Thickness
3.3.2. Identification of the Rebar Diameter
3.3.3. Class of the Rebar Identification
3.4. Multisensory Spatial Analysis (MSA) in Use to Identification of RC Structures
4. Conclusions
Author Contributions
Funding
Institutional Review Board Statement
Informed Consent Statement
Data Availability Statement
Conflicts of Interest
References
- Li, V.N.; Demina, L.S.; A Vlasenko, S.; Tryapkin, E.Y. Assessment of the impact of the electromagnetic field of the catenary system on crack formation in reinforced concrete supports. IOP Conf. Ser. Mater. Sci. Eng. 2020, 918, 012118. [Google Scholar] [CrossRef]
- Li, V.; Demina, L.; Vlasenko, S. Assessment of the concrete part of the contact system supports in the field. E3S Web Conf. 2020, 164, 03028. [Google Scholar] [CrossRef]
- Gowripalan, N.; Shakor, P.; Rocker, P. Pressure exerted on formwork by self-compacting concrete at early ages: A review. Case Stud. Constr. Mater. 2021, 15, e00642. [Google Scholar] [CrossRef]
- Du Plessis, A.; Olawuyi, B.J.; Boshoff, W.P.; le Roux, S.G. Simple and fast porosity analysis of concrete using X-ray computed tomography. Mater. Struct. Constr. 2016, 49, 553–562. [Google Scholar] [CrossRef]
- Chung, S.-Y.; Lehmann, C.; Elrahman, M.A.; Stephan, D. Pore Characteristics and Their Effects on the Material Properties of Foamed Concrete Evaluated Using Micro-CT Images and Numerical Approaches. Appl. Sci. 2017, 7, 550. [Google Scholar] [CrossRef]
- Du, C.; Zou, D.; Liu, T.; Lv, H. An exploratory experimental and 3D numerical investigation on the effect of porosity on wave propagation in cement paste. Measurement 2018, 122, 611–619. [Google Scholar] [CrossRef]
- Villain, G.; Derobert, X.; Abraham, O.; Coffec, O.; Durand, O.; Laguerre, L.; Baltazart, V. Use of ultrasonic and electromagnetic NDT to evaluate durability monitoring parameters of concrete; NDTCE’09, Nondestructive Testing in Civil Engineering Nantes. In Proceedings of the 7th International Symposium on Non-Destructive Testing in Civil Engineering, Nantes, France, 30 June–3 July 2009. [Google Scholar]
- Breysse, D. Nondestructive evaluation of concrete strength: An historical review and a new perspective by combining NDT methods. Constr. Build. Mater. 2012, 33, 139–163. [Google Scholar] [CrossRef]
- Kaur, H.; Singla, S. Non-Destructive testing to detect multiple cracks in reinforced concrete beam using electromechanical impedance technique. Mater. Today Proc. 2022, 65, 1193–1199. [Google Scholar] [CrossRef]
- Silva, R.N.F.; Tsuruta, K.M.; Finzi Neto, R.M.; Steffen, V., Jr. The use of electromechanical impedance based structural health monitoring technique in concrete structures. J. Nondestruct. Test 2016. [Google Scholar]
- Beutel, R.; Reinhardt, H.-W.; Grosse, C.U.; Glaubitt, A.; Krause, M.; Maierhofer, C.; Algernon, D.; Wiggenhauser, H.; Schickert, M. Comparative Performance Tests and Validation of NDT Methods for Concrete Testing. J. Nondestruct. Eval. 2008, 27, 59–65. [Google Scholar] [CrossRef]
- McCann, D.; Forde, M. Review of NDT methods in the assessment of concrete and masonry structures. NDT E Int. 2001, 34, 71–84. [Google Scholar] [CrossRef]
- Frankowski, P.K.; Chady, T.; Zieliński, A. Magnetic force induced vibration evaluation (M5) method for frequency analysis of rebar-debonding in reinforced concrete. Measurement 2021, 182, 109655. [Google Scholar] [CrossRef]
- Frankowski, P.K.; Chady, T. Impact of Magnetization on the Evaluation of Reinforced Concrete Structures Using DC Magnetic Methods. Materials 2022, 15, 857. [Google Scholar] [CrossRef] [PubMed]
- Frankowski, P.K.; Chady, T. Evaluation of Reinforced Concrete Structures with Magnetic Method and ACO (Amplitude-Correlation-Offset) Decomposition. Materials 2023, 16, 5589. [Google Scholar] [CrossRef] [PubMed]
- Frankowski, P.K.; Chady, T. A Comparative Analysis of the Magnetization Methods Used in the Magnetic Nondestructive Testing of Reinforced Concrete Structures. Materials 2023, 16, 7020. [Google Scholar] [CrossRef] [PubMed]
- Neville, A.M. Properties of Concrete; Pearson Education Limited: London, UK, 2011; ISBN 9780273755807. [Google Scholar]
- Wegen, G.; Polder, R.B.; Breugel, K. Guideline for service life design of structural concrete—A performance-based approach with regard to chloride induced corrosion. Heron 2012, 57, 153–168. [Google Scholar]
- Maierhofer, C.; Reinhardt, H.W.; Dobmann, G. Nondestructive Evaluation of Reinforced Concrete Structures; Woodhead Publishing CRC Press: Cambridge, UK, 2010. [Google Scholar]
- Eslamlou, A.D.; Ghaderiaram, A.; Fotouhi, M.; Schlangen, E. A Review on Non-destructive Evaluation of Civil Structures Using Magnetic Sensors. In Proceedings of the 10th European Workshop on Structural Health Monitoring (EWSHM 2022), Palermo, Italy, 4 July–7 July 2022; pp. 647–656. [Google Scholar]
- Gobov, Y.L.; Mikhailov, A.V.; Smorodinskii, Y.G. Magnetic Method for Nondestructive Testing of Rebar in Concrete. Russ. J. Nondestruct. Test. 2018, 54, 871–876. [Google Scholar] [CrossRef]
- Zhou, X.; Takeda, S.; Uchimoto, T.; Hashimoto, M.; Takagi, T. Electromagnetic pulse-induced acoustic testing enables reliable evaluation of debonding between rebar and concret. Cem. Concr. Compos. 2023, 142, 105170. [Google Scholar] [CrossRef]
- Mayakuntla, P.K.; Ganguli, A.; Smyl, D. Gaussian Mixture Model-Based Classification of Corrosion Severity in Concrete Structures Using Ultrasonic Imaging. J. Nondestruct. Eval. 2023, 42, 28. [Google Scholar] [CrossRef]
- Miwa, T. Non-Destructive and Quantitative Evaluation of Rebar Corrosion by a Vibro-Doppler Radar Method. Sensors 2021, 21, 2546. [Google Scholar] [CrossRef]
- Miwa, T.; Nakazawa, Y. Nondestructive Evaluation of Localized Rebar Corrosion in Concrete Using Vibro-Radar Based on Pulse Doppler Imaging. Remote Sens. 2022, 14, 4645. [Google Scholar] [CrossRef]
- Szymanik, B.; Chady, T.; Frankowski, P. Inspection of reinforcement concrete structures with active infrared thermography. In Proceedings of the 43rd Annual Review of Progress in Quantitative Nondestructive Evaluation, Atlanta, GA, USA, 17–22 July 2016; Volume 36, ISBN 9780735414747. [Google Scholar]
- Szymanik, B.; Frankowski, P.K.; Chady, T.; Chelliah, C.R.A.J. Detection and Inspection of Steel Bars in Reinforced Concrete Structures Using Active Infrared Thermography with Microwave Excitation and Eddy Current Sensors. Sensors 2016, 16, 234. [Google Scholar] [CrossRef] [PubMed]
- Tran, H.Q. Passive and active infrared thermography techniques in nondestructive evaluation for concrete bridge. AIP Conf. Proc. 2021, 2420, 050008. [Google Scholar]
- Brachelet, F.; Keo, S.; Defer, D.; Breaban, F. Detection of reinforcement bars in concrete slabs by infrared thermography and microwaves excitation. In Proceedings of the QIRT 2014 Civil Engineering & Buildings, Bordeaux, France, 7–11 July 2014. [Google Scholar]
- Keo, S.A.; Brachelet, F.; Defer, D.; Breaban, F. Detection of Concrete Cover of Reinforcements in Reinforced Concrete Wall by Microwave Thermography with Transmission Approach. Appl. Sci. 2022, 12, 9865. [Google Scholar] [CrossRef]
- Garrido, I.; Solla, M.; Lagüela, S.; Rasol, M. Review of InfraRed Thermography and Ground-Penetrating Radar Applications for Building Assessment. Adv. Civ. Eng. 2022, 2022, 5229911. [Google Scholar] [CrossRef]
- Keo, S.A.; Szymanik, B.; Le Roy, C.; Brachelet, F.; Defer, D. Defect Detection in CFRP Concrete Reinforcement Using the Microwave Infrared Thermography (MIRT) Method—A Numerical Modeling and Experimental Approach. Appl. Sci. 2023, 13, 8393. [Google Scholar] [CrossRef]
- Solla, M.; Lagüela, S.; Fernández, N.; Garrido, I. Assessing Rebar Corrosion through the Combination of Nondestructive GPR and IRT Methodologies. Remote Sens. 2019, 11, 1705. [Google Scholar] [CrossRef]
- Tešić, K.; Baričević, A.; Serdar, M. Non-Destructive Corrosion Inspection of Reinforced Concrete Using Ground-Penetrating Radar: A Review. Materials 2021, 14, 975. [Google Scholar] [CrossRef]
- Tosti, F.; Benedetto, F.; Jagadissen Munisami, K.; Sofroniou, A.; Alani, A.M. A high-resolution velocity analysis to improve GPR data migration for rebars investigation. In Proceedings of the EGU General Assembly 2018, Vienna, Austria, 8–13 April 2018. [Google Scholar]
- Mechbal, Z.; Khamlichi, A. Determination of concrete rebars characteristics by enhanced post-processing of GPR scan raw data. NDT E Int. 2017, 89, 30–39. [Google Scholar] [CrossRef]
- Le, T.; Gibb, S.; Pham, N.; La, H.M.; Falk, L.; Berendsen, T. Autonomous robotic system using non-destructive evaluation methods for bridge deck inspection. In Proceedings of the 2017 IEEE International Conference on Robotics and Automation (ICRA), Singapore, 29 May–3 June 2017; pp. 3672–3677. [Google Scholar]
- Xiang, Z.; Ou, G.; Rashidi, A. Robust cascaded frequency filters to recognize rebar in GPR data with complex signal interference. Autom. Constr. 2021, 124, 103593. [Google Scholar] [CrossRef]
- Bostel, R.; Dos Santos, A.C.P.; Lopes, J.B.; Willrich, F.L.; Hönnicke, M.G. Watching the bonding between steel rebar and concrete with in situ X-ray imaging. Mag. Concr. Res. 2020, 72, 768–777. [Google Scholar] [CrossRef]
- Margret, M.; Menaka, M.; Venkatraman, B.; Chandrasekaran, S. Compton back scatter imaging for mild steel rebar detection and depth characterization embedded in concrete. Nucl. Instrum. Methods Phys. Res. Sect. B Beam Interact. Mater. At. 2015, 343, 77–82. [Google Scholar] [CrossRef]
- Van Tittelboom, K.; Van Belleghem, B.; Boone, M.N.; Van Hoorebeke, L.; De Belie, N. X-ray Radiography to Visualize the Rebar–Cementitious Matrix Interface and Judge the Delay in Corrosion through Self-Repair by Encapsulated Polyurethane. Adv. Mater. Interfaces 2017, 5, 1701021. [Google Scholar] [CrossRef]
- Frankowski, P.K. Corrosion detection and measurement using eddy current method. In Proceedings of the 2018 International Interdisciplinary PhD Workshop (IIPhDW), Swinoujście, Poland, 9–12 May 2018; ISBN 978-1-5386-6144-4. [Google Scholar] [CrossRef]
- Frankowski, P.K.; Sikora, R.; Chady, T. Identification of rebars in a reinforced mesh using eddy current method. In Proceedings of the 42nd Annual Review of Progress in Quantitative Nondestructive Evaluation, Minneapolis, MN, USA, 26–31 July 2015; Volume 1706. [Google Scholar] [CrossRef]
- Chady, T.; Frankowski, P. Electromagnetic Evaluation of Reinforced Concrete Structure. In Proceedings of the Review of Progress in Quantitative Nondestructive Evaluation, Denver, CO, USA, 15–20 July 2012; Volume 32, pp. 1355–1362. [Google Scholar] [CrossRef]
- Frankowski, P.K. Eddy current method for identification and analysis of reinforcement bars in concrete structures. In Proceedings of the Elec-trodynamic and Mechatronic Systems, Opole, Poland, 6–8 October 2011; pp. 105–109. [Google Scholar] [CrossRef]
- Raymond, W.J.K.; Chakrabarty, C.K.; Hock, G.C.; Ghani, A.B. Complex permittivity measurement using capacitance method from 300 kHz to 50 MHz. Measurement 2013, 46, 3796–3801. [Google Scholar] [CrossRef]
- Han, X.; Wang, P.; Cui, D.; Tawfik, T.A.; Chen, Z.; Tian, L.; Gao, Y. Rebar corrosion detection in concrete based on capacitance principle. Measurement 2023, 209. [Google Scholar] [CrossRef]
- Han, X.; Li, G.; Wang, P.; Chen, Z.; Cui, D.; Zhang, H.; Tian, L.; Zhou, X.; Jin, Z.; Zhao, T. A new method and device for detecting rebars in concrete based on capacitance. Measurement 2022, 202, 111721. [Google Scholar] [CrossRef]
- Zhang, M.; Ma, L.; Soleimani, M. Magnetic induction tomography guided electrical capacitance tomography imaging with grounded conductors. Measurement 2014, 53, 171–181. [Google Scholar] [CrossRef][Green Version]
- Khan, M.A.; Sun, J.; Li, B.; Przybysz, A.; Kosel, J. Magnetic sensors-A review and recent technologies. Eng. Res. Express 2021, 3, 022005. [Google Scholar] [CrossRef]
- Yang, S.; Zhang, J. Current Progress of Magnetoresistance Sensors. Chemosensors 2021, 9, 211. [Google Scholar] [CrossRef]
- Eslamlou, A.D.; Ghaderiaram, A.; Schlangen, E.; Fotouhi, M. A review on non-destructive evaluation of construction materials and structures using magnetic sensors. Constr. Build. Mater. 2023, 397, 132460. [Google Scholar] [CrossRef]
- Mordor Intelligence, Magnetic Sensors Market Size & Share Analysis—Growth Trends & Forecasts (2023–2028). Available online: https://www.mordorintelligence.com/industry-reports/magnetic-sensor-market (accessed on 11 September 2023).
- Honeywell, HMC5883L-TR Datasheet. Available online: https://www.allaboutcircuits.com/electronic-components/datasheet/HMC5883L-TR--Honeywell/ (accessed on 29 September 2023).
- Djamal, M.; Ramli, R. Giant Magnetoresistance Sensors Based on Ferrite Material and Its Applications. In Giant Magnetoresistance Sensors Based on Ferrite Material and Its Applications; IntechOpen: Norderstedt, Germany, 2017; p. 164. [Google Scholar] [CrossRef]
- Crescentini, M.; Traverso PI, E.R.; Alberti, P.; Romani, A.; Marchesi, M.; Cristaudo, D.; Canegallo, R.; Tartagni, M. Experimental Characterization of Bandwidth Limits in Hall Sensors. In Proceedings of the 21st IMEKO TC4 International Symposium on Understanding the World through Electrical and Electronic Measurement, and 19th International Workshop on ADC Modelling and Testing, Budapest, Hungary, 7–9 September 2016. [Google Scholar]
- Liu, X.; Liu, C.; Han, W.; Pong, P.W.T. Design and Implementation of a Multi-Purpose TMR Sensor Matrix for Wireless Electric Vehicle Charging. IEEE Sens. J. 2018, 19, 1683–1692. [Google Scholar] [CrossRef]
- Jin, Z.; Mohd Noor Sam, M.A.I.; Oogane, M.; Ando, Y. Serial MTJ-Based TMR Sensors in Bridge Configuration for Detection of Fractured Steel Bar in Magnetic Flux Leakage Testing. Sensors 2021, 21, 668. [Google Scholar] [CrossRef] [PubMed]
- Asfour, A.; Yonnet, J.-P.; Zidi, M. A High Dynamic Range GMI Current Sensor. J. Sens. Technol. 2012, 02, 165–171. [Google Scholar] [CrossRef]
- Mușuroi, C.; Oproiu, M.; Volmer, M.; Firastrau, I. High Sensitivity Differential Giant Magnetoresistance (GMR) Based Sensor for Non-Contacting DC/AC Current Measurement. Sensors 2020, 20, 323. [Google Scholar] [CrossRef]
- Irwin, K.; Beall, J.; Doriese, W.; Duncan, W.; Hilton, G.; Mates, J.; Reintsema, C.; Schmidt, D.; Ullom, J.; Vale, L.; et al. Microwave SQUID multiplexers for low-temperature detectors. Nucl. Instrum. Methods Phys. Res. Sect. A Accel. Spectrometers Detect. Assoc. Equip. 2006, 559, 802–804. [Google Scholar] [CrossRef]
- PN-B-03264:2002; Concrete, Reinforced Concrete and Prestressed Structures. Static Calculations and Design. PKN: Warsaw, Poland, 2002.
- Holmes, G.; Donkin, A.; Witten, I.H. Weka: A machine learning workbench. In Proceedings of the ANZIIS ′94—Australian New Zealnd Intelligent Information Systems Conference, Brisbane, Australia, 29 November–2 December 1994. [Google Scholar]

















| General: RC—Reinforced Concrete, NDT—Nondestructive Testing. | Methods: MSA—Multisensory Spatial Analysis, IR—Infrared Radiation (thermography), GPR—Ground Penetrating Radar, X-ray—Radiography, EC—Eddy Current, MFL—Magnetic Flux Leakage, MMM—Magnetic Memory Method, SPM—Same Pole Magnetization, OPM—Opposite Pole Magnetization, ACO—Amplitude–Correlation–Offset (decomposition), SNR—Signal-to-Noise Ratio, PCA—Principal Component Analysis, FEM—Finite Element Method. |
| Sensors: MO—Magneto-optical, Hall—Hall effect element, MR—Magneto-resistance, AMR—Anisotropic Magneto-resistance, GMR—Giant Magneto-resistance, TMR—Tunnel Magneto-resistance, GMI—Giant Magnetoimpedance, SQUID—Superconducting Quantum Interference Devices. | |
| Elements of the system: S—AMR sensor (HMC5883L), M1—Magnet 1, M2—Magnet 2. |
| General: Bx, By, Bz—magnetic field induction spatial components, Bmax—maximal value of the magnetic induction (waveform), µ—magnetic permeability of the object. Parameters of the RC structures: h—concrete cover thickness (mm), h20:h = 20 mm, … h70:h = 70 mm. D—diameter of the rebar (mm), D10:D = 10 mm, D12:D = 12 mm, class—rebar alloy’s mechanical properties (flexibility and hardness), AI—highest flexibility and lowest hardness of the alloy, AIII—low flexibility and high hardness, AIIIN—lowest flexibility and highest hardness. | Attributes: O—Offset attributes Ox—Offset attributes obtained for measurement along x-axis, Ox(Bx), Ox(By), Ox(Bz)—Ox obtained for specific spatial components of magnetic induction, Oy, Oy(Bx), Oy(By), Oy(Bz)—similarly to Ox, Oz, Oz(Bx), Oz(By), Oz(Bz)—similarly to Ox, A—Amplitude attributes Ax, Ax(Bx), Ax(By), Ax(Bz), Ay, Ay(Bx), Ay(By), Ay(Bz), Az, Az(Bx), Az(By), Az(Bz)—similarly to O, S—Shape attributes Sx, Sx(Bx), Sx(By), Sx(Bz), Sy, Sy(Bx), Sy(By), Sy(Bz), Sz, Sz(Bx), Sz(By), Sz(Bz)—similarly to O, Xmax—position of the Bmax for Sx(Bx) Xmax20:Xmax for h = 20 mm, … Xmax70:Xmax for h = 70 mm. Δx—difference between subsequent Xmax, e.g., Δx = Xmax30—Xmax20. |
| Factor | IR | GPR | X-ray | Capacitive | EC | Magnetic |
|---|---|---|---|---|---|---|
| Resolution | • | • | ••••• | •••• | ••• | •• |
| Range | • | ••••• | •••• | ••• | •••• | •••• |
| Low cost | ••• | • | • | ••••• | •••• | ••••• |
| Simplicity of use as area testing | ••••• | ••••• | ••••• | ••• | •• | •••• |
| Simplicity of measurements | ••• | ••••• | •••• | •••• | ••• | •••• |
| Fast area testing | •••• | ••••• | ••• | ••• | ••• | ••• |
| Simplicity of results interpretation | ••• | • | ••••• | ••• | ••• | ••• |
| Simplicity of probe mounting | ••••• | •••• | ••• | •••• | ••• | ••• |
| Small number of limitations | ••••• | •• | • | ••• | •••• | •••• |
| High safety of measurements | ••••• | ••••• | • | ••••• | ••••• | ••••• |
| Work in dirty environments | •••• | •••• | ••••• | •• | •••• | ••••• |
| Work with thin materials | ••••• | • | ••••• | •••• | ••• | •••• |
| Material Versatility | •••• | ••••• | ••••• | ••• | •• | • |
| Measuring Range (T) | Bandwidth (Hz|dB) | Size (m) | |||
|---|---|---|---|---|---|
| from | to | from | to | ||
| Coil | No limit | AC | 10−2 | ||
| Hall | 10−2 | 102 | DC | 105|100 | 10−6 |
| MO | 10−4 | 102 | DC | 10−2 | |
| GMR | 10−8 | 102 | DC | 105|100 | 10−6 |
| AMR | 10−10 | 1 | DC | 107|140 | 10−6 |
| Fluxgate | 10−13 | 10−2 | DC | 103|60 | 10−2 |
| TMR | 10−12 | 10−3 | DC | 107|140 | 10−6 |
| GMI | 10−12 | 10−2 | DC | 109|180 | 10−3 |
| Factor | GMR | AMR | Hall |
|---|---|---|---|
| Resolution | ••• | •• | • |
| Low cost | •• | • | ••• |
| Physical size | ••• | •• | ••• |
| Signal level | ••• | •• | • |
| Measurement range | ••• | ••• | • |
| Upper measurement limit | ••• | •• | ••• |
| Lower measurement limit | •• | ••• | • |
| Power consumption | ••• | • | ••• |
| Temperature stability | ••• | •• | • |
| Narrow hysteresis | ••• | •• | • |
| Fit for precise applications | •• | ••• | • |
| P1 | P2 | P3 | P4 | |
|---|---|---|---|---|
| D | 10 | 10 | 12 | 12 |
| Class | AI | AIIIN | AIIIN | AIII |
| Δx | Xmax20 | Xmax30 | Xmax40 | Xmax50 | ||||||
|---|---|---|---|---|---|---|---|---|---|---|
| D10 | D12 | D10 | D12 | D10 | D12 | D10 | D12 | D10 | D12 | |
| mean | 10.43 | 12.03 | 25.15 | 27.75 | 35.30 | 40.15 | 46.05 | 51.60 | 56.45 | 63.85 |
| δ | 2.87 | 3.65 | 0.81 | 1.74 | 1.45 | 2.39 | 2.04 | 2.60 | 2.35 | 3.03 |
| Δx | Xmax20 | Xmax30 | Xmax40 | Xmax50 | ||||||
|---|---|---|---|---|---|---|---|---|---|---|
| D10 | D12 | D10 | D12 | D10 | D12 | D10 | D12 | D10 | D12 | |
| mean | 10.55 | 12.13 | 24.90 | 27.90 | 35.30 | 40.10 | 46.05 | 52.10 | 56.55 | 64.30 |
| Δ | 1.58 | 1.99 | 0.85 | 0.85 | 0.86 | 1.07 | 1.15 | 1.65 | 1.54 | 1.87 |
| Bx | |||||||||
|---|---|---|---|---|---|---|---|---|---|
| x-Scan | y-Scan | z-Scan | |||||||
| Ax | Ox | Sx | Ay | Oy | Sy | Az | Oz | Sz | |
| h | + | - | + | + | + | + | + | + | + |
| D | + | + | + | + | + | + | + | + | - |
| Class | + | + | - | + | + | + | + | + | - |
| By | |||||||||
|---|---|---|---|---|---|---|---|---|---|
| x-Scan | y-Scan | z-Scan | |||||||
| Ax | Ox | Sx | Ay | Oy | Sy | Az | Oz | Sz | |
| h | + | + | + | + | + | + | + | + | + |
| D | + | + | + | + | + | + | + | + | - |
| Class | + | + | - | + | + | + | + | + | - |
Disclaimer/Publisher’s Note: The statements, opinions and data contained in all publications are solely those of the individual author(s) and contributor(s) and not of MDPI and/or the editor(s). MDPI and/or the editor(s) disclaim responsibility for any injury to people or property resulting from any ideas, methods, instructions or products referred to in the content. |
© 2023 by the authors. Licensee MDPI, Basel, Switzerland. This article is an open access article distributed under the terms and conditions of the Creative Commons Attribution (CC BY) license (https://creativecommons.org/licenses/by/4.0/).
Share and Cite
Frankowski, P.K.; Chady, T. Multisensory Spatial Analysis and NDT Active Magnetic Method for Quick Area Testing of Reinforced Concrete Structures. Materials 2023, 16, 7296. https://doi.org/10.3390/ma16237296
Frankowski PK, Chady T. Multisensory Spatial Analysis and NDT Active Magnetic Method for Quick Area Testing of Reinforced Concrete Structures. Materials. 2023; 16(23):7296. https://doi.org/10.3390/ma16237296
Chicago/Turabian StyleFrankowski, Paweł Karol, and Tomasz Chady. 2023. "Multisensory Spatial Analysis and NDT Active Magnetic Method for Quick Area Testing of Reinforced Concrete Structures" Materials 16, no. 23: 7296. https://doi.org/10.3390/ma16237296
APA StyleFrankowski, P. K., & Chady, T. (2023). Multisensory Spatial Analysis and NDT Active Magnetic Method for Quick Area Testing of Reinforced Concrete Structures. Materials, 16(23), 7296. https://doi.org/10.3390/ma16237296

