Influence of Inner Gas Curing Technique on the Development of Thermoplastic Nanocomposite Reinforcement
Abstract
:1. Introduction
2. Experiment
2.1. Materials
Preparation of Dumbbell-Shaped Reinforced Nanocomposite
3. Characterizations
Shrinkage Analysis
4. Tensile Strength
5. Flexural Strength Test
6. Flexural Modulus Test
7. Interfacial Adhesion
8. Surface Characterization
8.1. Hygroscopicity and Wettability Analysis
8.2. Contact Angle
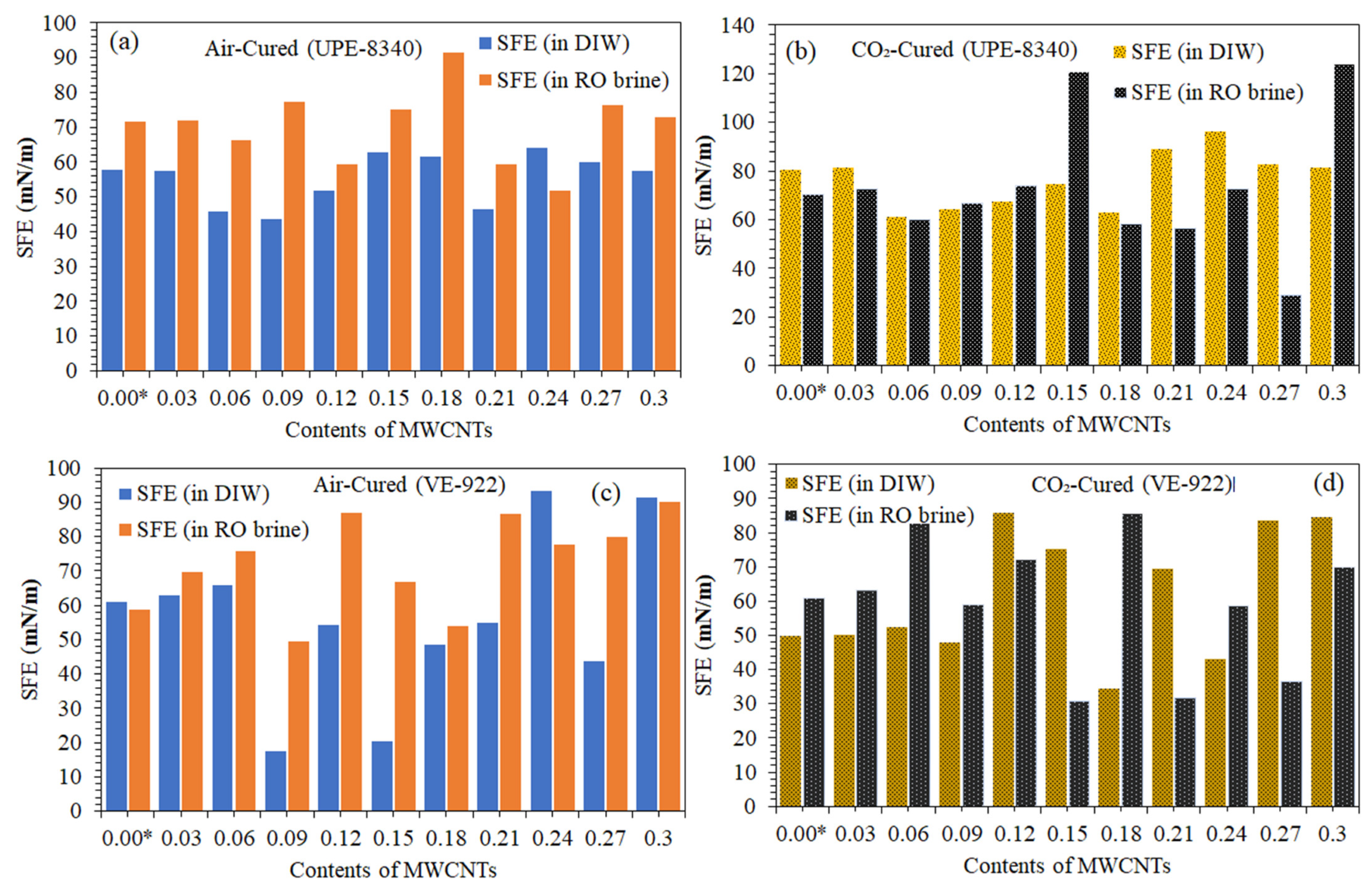
8.3. Surface Free Energy Polymer Matrix
9. Results and Discussion
9.1. Dispersion of MWCNTs in Cured Nanocomposites
9.2. Shrinkage Analysis
10. Influence of MWCNTs on Air and CO2-Cured Shrinkage of Nanocomposites
11. Effect of MWCNTs on Air-Cured and CO2-Cured Gel Time and Exotherm
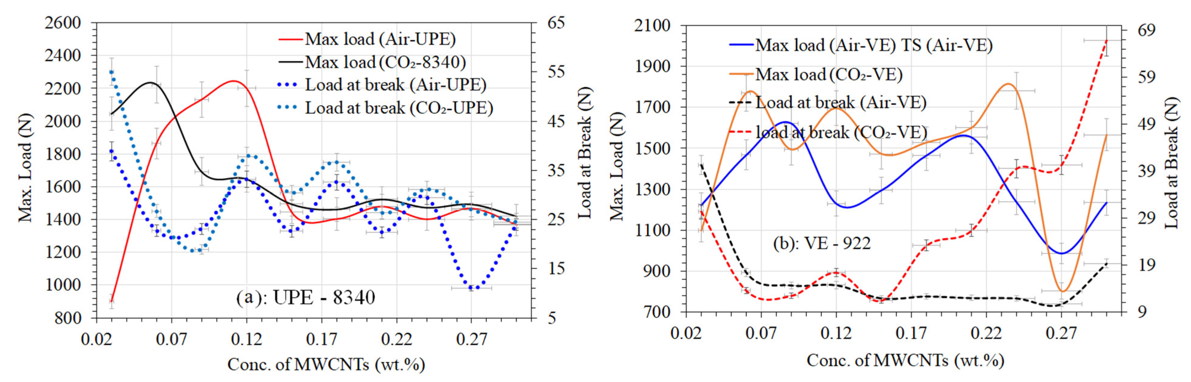
12. Mechanical Properties
Tensile Strength of UPE and VE Nanocomposites
13. Interfacial Shear Stress
14. Flexural Strength
15. Surface Characterizations
16. Conclusions
Author Contributions
Funding
Institutional Review Board Statement
Informed Consent Statement
Data Availability Statement
Acknowledgments
Conflicts of Interest
References
- Barbero, E.J. Introduction to Composite Materials Design; CRC Press: Boca Raton, FL, USA, 2010; ISBN 0-429-10947-4. [Google Scholar]
- Wonderly, C.; Grenestedt, J.; Fernlund, G.; Cěpus, E. Comparison of Mechanical Properties of Glass Fiber/Vinyl Ester and Carbon Fiber/Vinyl Ester Composites. Compos. Part B Eng. 2005, 36, 417–426. [Google Scholar] [CrossRef]
- Goodman, S.H. Handbook of Thermoset Plastics; Noyes Publications: Park Ridge, NJ, USA, 1986; Volume 421. [Google Scholar]
- Galan, U.; Lin, Y.; Ehlert, G.J.; Sodano, H.A. Effect of ZnO Nanowire Morphology on the Interfacial Strength of Nanowire Coated Carbon Fibers. Compos. Sci. Technol. 2011, 71, 946–954. [Google Scholar] [CrossRef]
- Sharma, S.; Lakkad, S. Compressive Strength of Carbon Nanotubes Grown on Carbon Fiber Reinforced Epoxy Matrix Multi-Scale Hybrid Composites. Surf. Coat. Technol. 2010, 205, 350–355. [Google Scholar] [CrossRef]
- An, F.; Lu, C.; Li, Y.; Guo, J.; Lu, X.; Lu, H.; He, S.; Yang, Y. Preparation and Characterization of Carbon Nanotube-Hybridized Carbon Fiber to Reinforce Epoxy Composite. Mater. Des. 2012, 33, 197–202. [Google Scholar] [CrossRef]
- He, X.; Wang, C.; Tong, L.; Wang, R.; Cao, A.; Peng, Q.; Moody, S.; Li, Y. Direct Measurement of Grafting Strength between an Individual Carbon Nanotube and a Carbon Fiber. Carbon 2012, 50, 3782–3788. [Google Scholar] [CrossRef]
- Wang, J.; Wu, D.; Li, X.; Zhang, M.; Zhou, W. Poly (Vinylidene Fluoride) Reinforced by Carbon Fibers: Structural Parameters of Fibers and Fiber-Polymer Adhesion. Appl. Surf. Sci. 2012, 258, 9570–9578. [Google Scholar] [CrossRef]
- Li, J. The Research on the Interfacial Compatibility of Polypropylene Composite Filled with Surface Treated Carbon Fiber. Appl. Surf. Sci. 2009, 255, 8682–8684. [Google Scholar] [CrossRef]
- Rahman, G.; Najaf, Z.; Mehmood, A.; Bilal, S.; Shah, A.U.H.A.; Mian, S.A.; Ali, G. An Overview of the Recent Progress in the Synthesisand Applications of Carbon Nanotubes. C 2019, 5, 3. [Google Scholar]
- Eres, G.; Kinkhabwala, A.A.; Cui, H.; Geohegan, D.B.; Puretzky, A.A.; Lowndes, D.H. Molecular Beam-Controlled Nucleation and Growth of Vertically Aligned Single-Wall Carbon Nanotube Arrays. J. Phys. Chem. B 2005, 109, 16684–16694. [Google Scholar] [CrossRef]
- Zhang, M.; Fang, S.; Zakhidov, A.A.; Lee, S.B.; Aliev, A.E.; Williams, C.D.; Atkinson, K.R.; Baughman, R.H. Strong, Transparent, Multifunctional, Carbon Nanotube Sheets. Science 2005, 309, 1215–1219. [Google Scholar] [CrossRef]
- Zhang, X.; Li, Q.; Tu, Y.; Li, Y.; Coulter, J.Y.; Zheng, L.; Zhao, Y.; Jia, Q.; Peterson, D.E.; Zhu, Y. Strong Carbon-nanotube Fibers Spun from Long Carbon-nanotube Arrays. Small 2007, 3, 244–248. [Google Scholar] [CrossRef]
- Zhang, S.; Koziol, K.K.; Kinloch, I.A.; Windle, A.H. Macroscopic Fibers of Well-aligned Carbon Nanotubes by Wet Spinning. Small 2008, 4, 1217–1222. [Google Scholar] [CrossRef]
- Li, Y.-L.; Kinloch, I.A.; Windle, A.H. Direct Spinning of Carbon Nanotube Fibers from Chemical Vapor Deposition Synthesis. Science 2004, 304, 276–278. [Google Scholar] [CrossRef]
- Jiang, C.; Saha, A.; Young, C.C.; Hashim, D.P.; Ramirez, C.E.; Ajayan, P.M.; Pasquali, M.; Marti, A.A. Macroscopic Nanotube Fibers Spun from Single-Walled Carbon Nanotube Polyelectrolytes. ACS Nano 2014, 8, 9107–9112. [Google Scholar] [CrossRef]
- Chen, H.; Chen, M.; Zhang, Y.; Li, Q. Rational Control on Floating Catalysts for the Growth of Carbon Nanotube Assemblies: From Vertically Aligned Carbon Nanotube Arrays to Carbon Nanotube Films. Appl. Surf. Sci. 2015, 353, 651–661. [Google Scholar] [CrossRef]
- Kang, L.; Zhang, S.; Li, Q.; Zhang, J. Growth of Horizontal Semiconducting SWNT Arrays with Density Higher than 100 Tubes/Μm Using Ethanol/Methane Chemical Vapor Deposition. J. Am. Chem. Soc. 2016, 138, 6727–6730. [Google Scholar] [CrossRef]
- Yue, H.; Reguero, V.; Senokos, E.; Monreal-Bernal, A.; Mas, B.; Fernández-Blázquez, J.; Marcilla, R.; Vilatela, J. Fractal Carbon Nanotube Fibers with Mesoporous Crystalline Structure. Carbon 2017, 122, 47–53. [Google Scholar] [CrossRef]
- Bulmer, J.S.; Gspann, T.S.; Orozco, F.; Sparkes, M.; Koerner, H.; Di Bernardo, A.; Niemiec, A.; Robinson, J.W.; Koziol, K.K.; Elliott, J.A. Photonic Sorting of Aligned, Crystalline Carbon Nanotube Textiles. Sci. Rep. 2017, 7, 12977. [Google Scholar] [CrossRef]
- Rachmadini, Y.; Tan, V.; Tay, T. Enhancement of Mechanical Properties of Composites through Incorporation of CNT in VARTM-a Review. J. Reinf. Plast. Compos. 2010, 29, 2782–2807. [Google Scholar] [CrossRef]
- Wang, W.; Ciselli, P.; Kuznetsov, E.; Peijs, T.; Barber, A. Effective Reinforcement in Carbon Nanotube–Polymer Composites. Philos. Trans. R. Soc. A Math. Phys. Eng. Sci. 2008, 366, 1613–1626. [Google Scholar] [CrossRef]
- Mohd Nurazzi, N.; Asyraf, M.M.; Khalina, A.; Abdullah, N.; Sabaruddin, F.A.; Kamarudin, S.H.; Ahmad, S.; Mahat, A.M.; Lee, C.L.; Aisyah, H. Fabrication, Functionalization, and Application of Carbon Nanotube-Reinforced Polymer Composite: An Overview. Polymers 2021, 13, 1047. [Google Scholar] [CrossRef] [PubMed]
- Greef, N.; Zhang, L.; Magrez, A.; Forro, L.; Locquet, J.; Verpoest, I.; Seo, J.W. Direct growth of carbon nanotubes on carbon fibers: Effect of the CVD parameters on the degradation of mechanical properties of carbon fibers. Diam. Relat. Mater. 2015, 51, 39–48. [Google Scholar] [CrossRef]
- Radhamani, A.; Lau, H.C.; Ramakrishna, S. CNT-Reinforced Metal and Steel Nanocomposites: A Comprehensive Assessment of Progress and Future Directions. Compos. Part A Appl. Sci. Manuf. 2018, 114, 170–187. [Google Scholar] [CrossRef]
- Bakis, G.; Wendel, J.; Zeiler, R.; Aksit, A.; Haublein, M.; Demleitner, M.; Benza, J.; Forero, S.; Schitz, W.; Altstadt, V. Mechanical Properties of the Carbon Nanotube Modified Epoxy–Carbon Fiber Unidirectional Prepreg Laminates. Polymers 2021, 13, 770. [Google Scholar] [CrossRef] [PubMed]
- Gupta, M.L.; Sydlik, S.A.; Schnorr, J.M.; Woo, D.J.; Osswald, S.; Swager, T.M.; Raghavan, D. The effect of mixing methods on the dispersion of carbon nanotubes during the solvent-free processing of multiwalled carbon nanotube/epoxy composites. J. Polym. Sci. Part B Polym. Phys. 2013, 51, 410–420. [Google Scholar] [CrossRef]
- Zhang, X.; Zhang, Z.; Xu, W.; Chen, F.; Deng, J.; Deng, X. Toughening of Cycloaliphatic Epoxy Resin by Multiwalled Carbon Nanotubes. J. Appl. Polym. Sci. 2008, 110, 1351–1357. [Google Scholar] [CrossRef]
- Moujdin, I.A.; Totah, H.S.; Abulkhair, H.A.; Alsaiari, A.O.; Shaiban, A.A.; Organji, H.A. Development of Low Shrinkage Curing Techniques for Unsaturated Polyester and Vinyl Ester Reinforced Composites. Materials 2022, 15, 2972. [Google Scholar] [CrossRef]
- Gross, S.M.; Flowers, D.; Roberts, G.; Kiserow, D.J.; DeSimone, J.M. Solid-state polymerization of polycarbonates using supercritical CO2. Macromolecules 1999, 32, 3167–3169. [Google Scholar] [CrossRef]
- Cooper, A.I.; Hems, W.P.; Holmes, A.B. Synthesis of highly crosslinked polymers in supercritical carbon dioxide by heterogeneous polymerization. Macromolecules 1999, 32, 2156–2166. [Google Scholar] [CrossRef]
- Canelas, D.A.; DeSimone, J.M. Dispersion polymerizations of styrene in carbon dioxide stabilized with poly(styrene-bdimethylsiloxane). Macromolecules 1997, 30, 5673–5682. [Google Scholar] [CrossRef]
- Givens, R.D.; Jikei, M.; DeSimone, J.M. Synthesis of polyamides and polycarbonates using supercritical CO2. Polym. Prepr. 1997, 38, 468–469. [Google Scholar]
- Rokicki, G.; Lewandowski, M. Epoxy Resins modified by carbon dioxide. Die Angew. Makromol. Chem. 1987, 148, 53–66. [Google Scholar] [CrossRef]
- Lyu, J.; Hu, D.; Liu, T.; Zhao, L. Non-isothermal kinetics of epoxy resin curing reaction under compressed CO2. J. Therm. Anal. Calorim. 2018, 131, 1499–1507. [Google Scholar] [CrossRef]
- Hu, D.; Lyu, J.; Lang, M.; Zhao, L. Solvation effect of CO2 on accelerating the curing reaction process of epoxy resin. Chem. Eng. Process. Process Intensif. 2018, 127, 159–167. [Google Scholar] [CrossRef]
- Stojšić, J.; Raos, P.; Milinović, A.; Damjanović, D. A Study of the Flexural Properties of PA12/Clay Nanocomposites. Polymers 2022, 14, 434. [Google Scholar] [CrossRef]
- Zare, Y.; Rhee, K.Y. Analysis of Critical Interfacial Shear Strength between Polymer Matrix and Carbon Nanotubes and Its Impact on the Tensile Strength of Nanocomposites. J. Mater. Res. Technol. 2020, 9, 4123–4132. [Google Scholar] [CrossRef]
- Chibowski, E.; Perea-Carpio, R. Problems of Contact Angle and Solid Surface Free Energy Determination. Adv. Colloid Interface Sci. 2002, 98, 245–264. [Google Scholar] [CrossRef]
- Chibowski, E.; Ontiveros-Ortega, A.; Perea-Carpio, R. On the Interpretation of Contact Angle Hysteresis. J. Adhes. Sci. Technol. 2002, 16, 1367–1404. [Google Scholar] [CrossRef]
- Chibowski, E.J. Surface Free Energy and Wettability of Silyl Layers on Silicon Determined from Contact Angle Hysteresis. Adv. Colloid Interface Sci. 2005, 113, 121–131. [Google Scholar] [CrossRef]
- Bower, C.; Rosen, R.; Jin, L.; Han, J.; Zhou, O. Deformation of carbon nanotubes in nanotube–polymer composites. Appl. Phys. Lett. 1999, 74, 3317. [Google Scholar] [CrossRef]
- Saeb, M.R.; Najafi, F.; Bakhshandeh, E.; Khonakdar, H.A.; Mostafaiyan, M.; Simon, F.; Scheffler, C.; Mäder, E. Highly Curable Epoxy/MWCNTs Nanocomposites: An Effective Approach to Functionalization of Carbon Nanotubes. Chem. Eng. J. 2015, 259, 117–125. [Google Scholar] [CrossRef]
- Lee, H.-J.; Oh, S.-J.; Choi, J.-Y.; Kim, J.W.; Han, J.; Tan, L.-S.; Baek, J.-B. In Situ Synthesis of Poly (Ethylene Terephthalate)(PET) in Ethylene Glycol Containing Terephthalic Acid and Functionalized Multiwalled Carbon Nanotubes (MWNTs) as an Approach to MWNT/PET Nanocomposites. Chem. Mater. 2005, 17, 5057–5064. [Google Scholar] [CrossRef]
- Cao, X.; Lee, L.J. Control of shrinkage and residual styrene of unsaturated polyester resins cured at low temperatures: I. Effect of curing agents. Polymer 2003, 44, 1893–1902. [Google Scholar] [CrossRef]
- Oota, K.; Saka, M. Cure Shrinkage Analysis of E p o 9 Molding Compound. Polym. Eng. Sci. 2001, 41, 1373–1379. [Google Scholar] [CrossRef]
- Shah, D.U.; Schubel, P.J. Evaluation of cure shrinkage measurement techniques for thermosetting resins. Polym. Test. 2010, 29, 629–639. [Google Scholar] [CrossRef]
- Liu, W.; Chen, T.; Fei, M.; Qiu, R.; Yu, D.; Fu, T.; Qiu, J. Properties of Natural Fiber-Reinforced Biobased Thermoset Biocomposites: Effects of Fiber Type and Resin Composition. Compos. Part B Eng. 2019, 171, 87–95. [Google Scholar] [CrossRef]
- Chapartegui, M.; Markaide, N.; Florez, S.; Elizetxea, C.; Fernandez, M.; Santamaria, A. Curing of Epoxy/Carbon Nanotubes Physical Networks. Polym. Eng. Sci. 2012, 52, 663–670. [Google Scholar] [CrossRef]
- Prolongo, S.; Gude, M.; Ureña, A. Synthesis and Characterisation of Epoxy Resins Reinforced with Carbon Nanotubes and Nanofibers. J. Nanosci. Nanotechnol. 2009, 9, 6181–6187. [Google Scholar] [CrossRef]
- Gojny, F.H.; Wichmann, M.H.; Fiedler, B.; Kinloch, I.A.; Bauhofer, W.; Windle, A.H.; Schulte, K. Evaluation and Identification of Electrical and Thermal Conduction Mechanisms in Carbon Nanotube/Epoxy Composites. Polymer 2006, 47, 2036–2045. [Google Scholar] [CrossRef]
- Ji, T.; Feng, Y.; Qin, M.; Feng, W. Thermal Conducting Properties of Aligned Carbon Nanotubes and Their Polymer Composites. Compos. Part A Appl. Sci. Manuf. 2016, 91, 351–369. [Google Scholar] [CrossRef]
- Cividanes, L.S.; Simonetti, E.A.; Moraes, M.B.; Fernandes, F.W.; Thim, G.P. Influence of Carbon Nanotubes on Epoxy Resin Cure Reaction Using Different Techniques: A Comprehensive Review. Polym. Eng. Sci. 2014, 54, 2461–2469. [Google Scholar] [CrossRef]
- Chen, X.; Wang, J.; Lin, M.; Zhong, W.; Feng, T.; Chen, X.; Chen, J.; Xue, F. Mechanical and Thermal Properties of Epoxy Nanocomposites Reinforced with Amino-Functionalized Multi-Walled Carbon Nanotubes. Mater. Sci. Eng. A 2008, 492, 236–242. [Google Scholar] [CrossRef]
- Gojny, F.H.; Wichmann, M.H.; Fiedler, B.; Schulte, K. Influence of Different Carbon Nanotubes on the Mechanical Properties of Epoxy Matrix Composites—A Comparative Study. Compos. Sci. Technol. 2005, 65, 2300–2313. [Google Scholar] [CrossRef]
- Makki, M.S.; Abdelaal, M.Y.; Bellucci, S.; Abdel Salam, M. Multi-Walled Carbon Nanotubes/Unsaturated Polyester Composites: Mechanical and Thermal Properties Study. Fuller. Nanotub. Carbon Nanostruct. 2014, 22, 820–833. [Google Scholar] [CrossRef]
- Hu, G.; Fu, W.; Ma, Y.; Zhou, J.; Liang, H.; Kang, X.; Qi, X. Rapid Preparation of MWCNTs/Epoxy Resin Nanocomposites by Photoinduced Frontal Polymerization. Materials 2020, 13, 5838. [Google Scholar] [CrossRef]
- Gojny, F.; Wichmann, M.; Köpke, U.; Fiedler, B.; Schulte, K. Carbon Nanotube-Reinforced Epoxy-Composites: Enhanced Stiffness and Fracture Toughness at Low Nanotube Content. Compos. Sci. Technol. 2004, 64, 2363–2371. [Google Scholar] [CrossRef]
- Bai, J.; Allaoui, A. Effect of the Length and the Aggregate Size of MWNTs on the Improvement Efficiency of the Mechanical and Electrical Properties of Nanocomposites—Experimental Investigation. Compos. Part A Appl. Sci. Manuf. 2003, 34, 689–694. [Google Scholar] [CrossRef]
- Zare, Y.; Rhee, K.Y. A Multistep Methodology for Calculation of the Tensile Modulus in Polymer/Carbon Nanotube Nanocomposites above the Percolation Threshold Based on the Modified Rule of Mixtures. RSC Adv. 2018, 8, 30986–30993. [Google Scholar] [CrossRef]
- Zare, Y.; Rhee, K.Y. Evaluation of the Tensile Strength in Carbon Nanotube-Reinforced Nanocomposites Using the Expanded Takayanagi Model. Jom 2019, 71, 3980–3988. [Google Scholar] [CrossRef]
- Moser, A.; Feuchter, M. Mechanical Properties of Composites Used in High-Voltage Applications. Polymers 2016, 8, 260. [Google Scholar] [CrossRef]
- Palanisamy, A.; Salim, N.V.; Parameswaranpillai, J.; Hameed, N. Water Sorption and Solvent Sorption of Epoxy/Block Copolymer and Epoxy/Thermoplastic Blends. J. Handb. Epoxy Blends 2016, 1–16. [Google Scholar] [CrossRef]
- Yasuda, T.; Okuno, T.; Yasuda, H. Contact Angle of Water on Polymer Surfaces. Langmuir 1994, 10, 2435–2439. [Google Scholar] [CrossRef]










| Samples | MWCNTs | VE (Hetron 922) | UPE (Siropol 8340) | MEKP |
|---|---|---|---|---|
| gm | mL | |||
| 1 | 0.03 | 20 | 20 | 1.2 |
| 2 | 0.06 | 1.2 | ||
| 3 | 0.09 | 1.2 | ||
| 4 | 0.12 | 1.2 | ||
| 5 | 0.15 | 1.2 | ||
| 6 | 0.18 | 1.2 | ||
| 7 | 0.21 | 1.2 | ||
| 8 | 0.24 | 1.2 | ||
| 9 | 0.27 | 1.2 | ||
| 10 | 0.3 | 1.2 | ||
| Dimensions of MWCNTs | Average Dimensions | Average Dimensions in Meter | |
|---|---|---|---|
| Outside Diameter (D) | 8–18 nm | 13 nm | 1.3 × 10−9 |
| Inside Diameter (d) | 5–10 nm | 7.5 nm | 7.5 × 10−9 |
| Length (Lc) | 1 × 104–3 × 104 nm | 2 × 104 nm | 2.0 × 10−9 |
| Contents of MWCNTs | Surface Behavior in Deionized Water (DIW) | |||
|---|---|---|---|---|
| Air-Cured (UPE-8340) | CO2-Cured (UPE-8340) | |||
| CA (θ) | DA | CA (θ) | DA | |
| (a) | ||||
| 0.00 * | 77.220 | 0.010 | 75.876 | 0.006 |
| 0.03 | 83.85 | 0.008 | 82.680 | 0.004 |
| 0.06 | 84.47 | 0.007 | 84.490 | 0.004 |
| 0.09 | 84.48 | 0.007 | 84.750 | 0.004 |
| 0.12 | 80.553 | 0.008 | 81.860 | 0.005 |
| 0.15 | 81.760 | 0.006 | 84.24 | 0.004 |
| 0.18 | 83.310 | 0.008 | 85.05 | 0.006 |
| 0.21 | 84.750 | 0.009 | 86.680 | 0.007 |
| 0.24 | 85.203 | 0.006 | 88.660 | 0.004 |
| 0.27 | 84.170 | 0.008 | 87.56 | 0.006 |
| 0.3 | 82.612 | 0.005 | 85.010 | 0.004 |
| (b) | ||||
| 0.00 * | 79.320 | 0.009 | 77.634 | 0.004 |
| 0.03 | 90.152 | 0.005 | 91.870 | 0.002 |
| 0.06 | 91.72 | 0.006 | 92.749 | 0.003 |
| 0.09 | 92.68 | 0.005 | 93.195 | 0.004 |
| 0.12 | 93.753 | 0.004 | 95.740 | 0.001 |
| 0.15 | 95.160 | 0.004 | 95.378 | 0.002 |
| 0.18 | 95.810 | 0.005 | 96.701 | 0.004 |
| 0.21 | 95.950 | 0.005 | 95.974 | 0.004 |
| 0.24 | 97.423 | 0.004 | 98.436 | 0.003 |
| 0.27 | 98.031 | 0.004 | 98.972 | 0.003 |
| 0.3 | 96.412 | 0.004 | 97.017 | 0.004 |
| Contents of MWCNTs | Surface Behavior in Deionized Water (DIW) | |||
|---|---|---|---|---|
| Air-Cured (VE-922) | CO2-Cured (VE-922) | |||
| CA (θ) | DA | CA (θ) | DA | |
| (a) | ||||
| 0.00 * | 79.913 | 0.010 | 81.230 | 0.006 |
| 0.03 | 80.950 | 0.002 | 84.940 | 0.001 |
| 0.06 | 81.290 | 0.002 | 89.350 | 0.002 |
| 0.09 | 81.940 | 0.004 | 90.180 | 0.002 |
| 0.12 | 84.000 | 0.002 | 85.560 | 0.002 |
| 0.15 | 80.900 | 0.001 | 85.510 | 0.002 |
| 0.18 | 91.560 | 0.001 | 93.810 | 0.002 |
| 0.21 | 93.510 | 0.004 | 91.150 | 0.001 |
| 0.24 | 94.810 | 0.003 | 97.170 | 0.001 |
| 0.27 | 93.010 | 0.001 | 104.080 | 0.001 |
| 0.3 | 95.20 | 0.002 | 105.860 | 0.001 |
| (b) | ||||
| 0.00 * | 78.725 | 0.006 | 80.525 | 0.005 |
| 0.03 | 85.85 | 0.003 | 87.550 | 0.002 |
| 0.06 | 91.800 | 0.001 | 93.760 | 0.003 |
| 0.09 | 91.99 | 0.003 | 95.790 | 0.002 |
| 0.12 | 93.639 | 0.001 | 96.939 | 0.003 |
| 0.15 | 95.290 | 0.003 | 98.890 | 0.002 |
| 0.18 | 97.162 | 0.002 | 100.262 | 0.002 |
| 0.21 | 97.774 | 0.004 | 99.574 | 0.002 |
| 0.24 | 95.617 | 0.003 | 97.717 | 0.003 |
| 0.27 | 95.010 | 0.002 | 97.210 | 0.002 |
| 0.3 | 92.208 | 0.003 | 95.709 | 0.003 |
Disclaimer/Publisher’s Note: The statements, opinions and data contained in all publications are solely those of the individual author(s) and contributor(s) and not of MDPI and/or the editor(s). MDPI and/or the editor(s) disclaim responsibility for any injury to people or property resulting from any ideas, methods, instructions or products referred to in the content. |
© 2023 by the authors. Licensee MDPI, Basel, Switzerland. This article is an open access article distributed under the terms and conditions of the Creative Commons Attribution (CC BY) license (https://creativecommons.org/licenses/by/4.0/).
Share and Cite
Totah, H.S.; Moujdin, I.A.; Abulkhair, H.A.; Albeirutty, M. Influence of Inner Gas Curing Technique on the Development of Thermoplastic Nanocomposite Reinforcement. Materials 2023, 16, 7179. https://doi.org/10.3390/ma16227179
Totah HS, Moujdin IA, Abulkhair HA, Albeirutty M. Influence of Inner Gas Curing Technique on the Development of Thermoplastic Nanocomposite Reinforcement. Materials. 2023; 16(22):7179. https://doi.org/10.3390/ma16227179
Chicago/Turabian StyleTotah, Husam Saber, Iqbal Ahmed Moujdin, Hani Abdulelah Abulkhair, and Muhammad Albeirutty. 2023. "Influence of Inner Gas Curing Technique on the Development of Thermoplastic Nanocomposite Reinforcement" Materials 16, no. 22: 7179. https://doi.org/10.3390/ma16227179
APA StyleTotah, H. S., Moujdin, I. A., Abulkhair, H. A., & Albeirutty, M. (2023). Influence of Inner Gas Curing Technique on the Development of Thermoplastic Nanocomposite Reinforcement. Materials, 16(22), 7179. https://doi.org/10.3390/ma16227179

