Fibrous Structures Produced Using the Solution Blow-Spinning Technique for Advanced Air Filtration Process
Abstract
:1. Introduction
2. Materials and Methods
2.1. Lattice Boltzmann Modelling
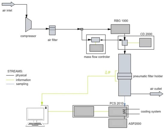
2.2. Solution-Blown Spinning
2.3. Analysis of Fibres Morphology
2.4. Filtration Efficiency
3. Results
3.1. Mass of Deposited Fibres, Mean Fibre Diameter, Initial Filtration Efficiency and Initial Pressure Drop
3.1.1. Airflow
3.1.2. Nozzle Diameter
3.1.3. Polymer Concentration
3.2. Lattice Boltzmann Modelling
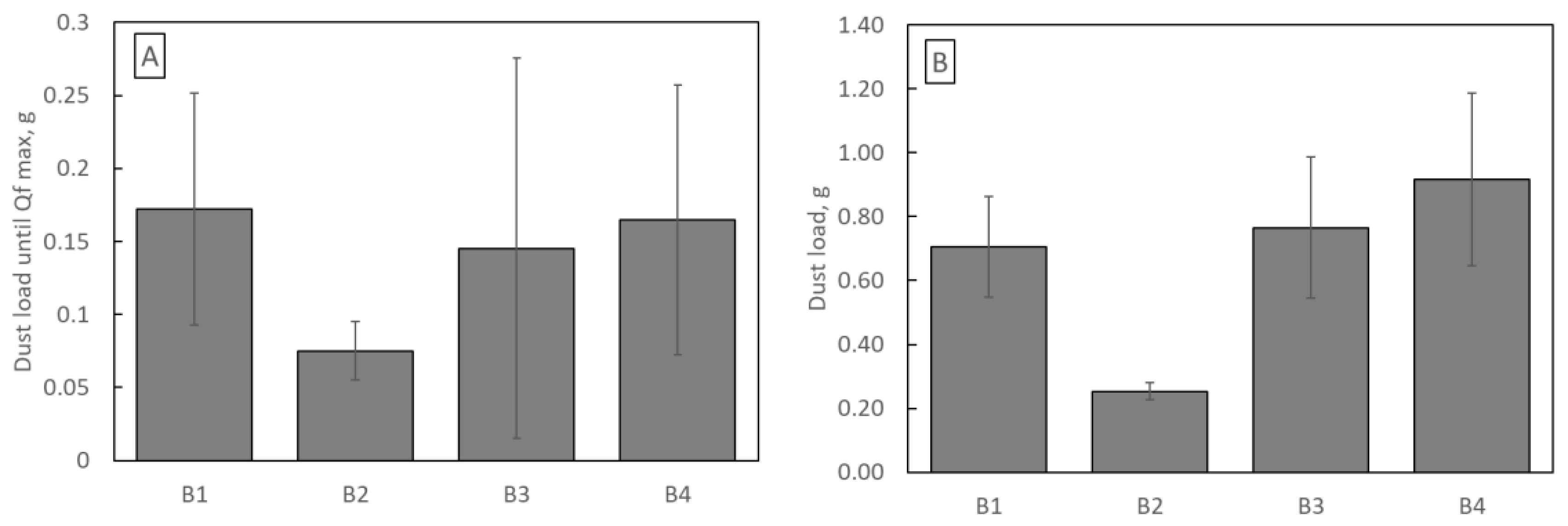
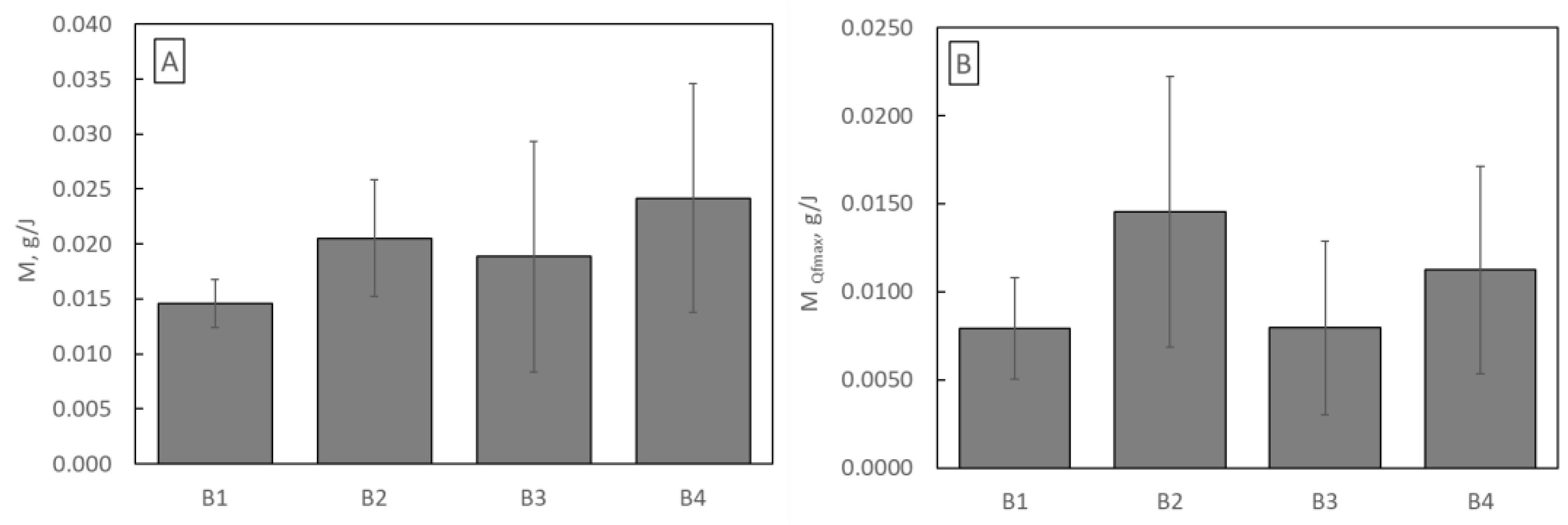
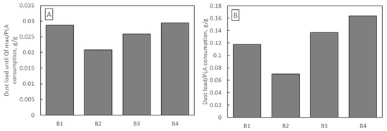
3.3. Multi-Layer Structure
4. Discussion
Author Contributions
Funding
Institutional Review Board Statement
Informed Consent Statement
Data Availability Statement
Acknowledgments
Conflicts of Interest
References
- WHO. 2023. Available online: https://www.who.int/teams/environment-climate-change-and-health/air-quality-and-health/health-impacts/types-of-pollutants (accessed on 3 November 2023).
- Brunekreeff, B.; Holgate, S.T. Air pollution and health. Lancet 2002, 360, 1233–1242. [Google Scholar] [CrossRef] [PubMed]
- Hasler, P.; Nussbaumer, T. Gas cleaning for IC engine applications from fixed bed biomass gasification. Biomass Bioenergy 1999, 16, 385–395. [Google Scholar] [CrossRef]
- Babitha, S.; Rachita, L.; Karthikeyan, K.; Shoba, E.; Janani, I.; Poornima, B.; Sai, K.P. Electrospun protein nanofiber in Healthcare: A review. Int. J. Pharm. 2017, 523, 52–90. [Google Scholar] [CrossRef] [PubMed]
- Liu, R.; Xu, X.; Zhuang, X.; Cheng, B. Solution blowing of chitosan/PVA hydrogel nanofiber mats. Carbohydr. Polym. 2014, 101, 1116–1121. [Google Scholar] [CrossRef]
- Medeiros, E.L.G.; Braz, A.L.; Porto, I.J.; Menner, A.; Bismarck, A.; Boccaccini, A.R.; Lepry, W.C.; Nazhat, S.N.; Medeiros, E.S.; Blaker, J.J. Porous Bioactive Nanofibers via Cryogenic Solution Blow Spinning and Their Formation into 3D Macroporous Scaffolds. ACS Biomater. Sci. Eng. 2016, 2, 1442–1449. [Google Scholar] [CrossRef]
- Daristotle, J.L.; Behrens, A.M.; Sandler, A.D.; Kofinas, P. A Review of the Fundamental Principles and Applications of Solution Blow Spinning. ACS Appl. Mater. Interfaces 2016, 8, 34951–34963. [Google Scholar] [CrossRef]
- Gao, Y.; Zhang, J.; Su, Y.; Wang, X.-X.; Huang, L.-P.; Yu, M.; Long, Y.-Z. Recent progress and challenges in solution blow spinning. Mater. Horiz. 2021, 8, 426–446. [Google Scholar] [CrossRef]
- Sinha-Ray, S.; Sinha-Ray, S.; Yarin, A.L.; Pourdeyhimi, B. Theoretical and Experimental Investigation of Physical Mechanisms Responsible for Polymer Nanofiber Formation in Solution Blowing. Polymer 2015, 56, 452–463. [Google Scholar] [CrossRef]
- Zhang, L.; Kopperstad, P.; West, M.; Hedin, N.; Fong, H. Generation of Polymer Ultrafine Fibers through Solution (Air-) Blowing. J. Appl. Polym. Sci. 2009, 114, 3479–3486. [Google Scholar] [CrossRef]
- Santos, A.M.C.; Medeiros, E.L.G.; Blaker, J.J.; Medeiros, E.S. Aqueous Solution Blow Spinning of Poly(vinyl Alcohol) Micro- and Nanofibers. Mater. Lett. 2016, 176, 122–126. [Google Scholar] [CrossRef]
- Medeiros, E.S.; Glenn, G.M.; Klamczynski, A.P.; Orts, W.J.; Mattoso, L.H. Solution blow spinning: A new method to produce micro- and nanofibres from polymer solutions. J. Appl. Polym. Sci. 2009, 113, 2322–2330. [Google Scholar] [CrossRef]
- Oliveira, J.E.; Mattoso, L.H.; Orts, W.J.; Medeiros, E.S. Structural and Morphological Characterization of Micro and Nanofibers Produced by Electrospinning and Solution Blow Spinning: A Comparative Study. Adv. Mater. Sci. Eng. 2013, 2013, 409572. [Google Scholar] [CrossRef]
- Shi, L.; Zhuang, X.; Tao, X.; Cheng, B.; Kang, W. Solution blowing nylon 6 nanofiber mats for air filtration. Fibers Polym. 2013, 14, 1485–1490. [Google Scholar] [CrossRef]
- Kolbasov, A.; Sinha-Ray, S.; Joijode, A.; Hassan, A.M.; Brown, D.; Maze, B.; Yarin, A.L. Industrial-scale solution blowing of soy protein nanofibres. Ind. Eng. Chem. Res. 2016, 55, 323–333. [Google Scholar] [CrossRef]
- Oliveira, J.E.; Moraes, E.A.; Costa, R.G.; Afonso, A.S.; Mattoso, L.H.; Orts, W.J.; Medeiros, E.S. Nano and submicrometric fibers of poly(D,L-lactide) obtained by solution blow spinning: Process and solution variables. J. Appl. Polym. Sci. 2011, 122, 3396–3405. [Google Scholar] [CrossRef]
- Lou, H.; Li, W.; Li, C.; Wang, X. Systematic investigation on parameters of solution blown micro/nanofibers using response surface methodology based on box-Behnken design. J. Appl. Polym. Sci. 2013, 2, 1383–1391. [Google Scholar] [CrossRef]
- Behrens, A.M.; Casey, B.J.; Sikorski, M.J.; Wu, K.L.; Tutak, W.; Sandler, A.D.; Kofinas, P. In situ deposition of PLGA nanofibers via solution blow spinning. ACS Macro Lett. 2014, 3, 249–254. [Google Scholar] [CrossRef]
- Tomecka, E.; Wojasinski, M.; Jastrzebska, E.; Chudy, M.; Ciach, T.; Brzozka, Z. Poly(l-lactic acid) and polyurethane nanofibers fabricated by solution blow spinning as potential substrates for cardiac cell culture. Mater. Sci. Eng. C Mater. Biol. Appl. 2017, 75, 305–316. [Google Scholar] [CrossRef]
- Jackiewicz-Zagórska, A.; Mika, K.; Penconek, A.; Moskal, A. Non-Woven Filters Made of PLA via Solution Blowing Process for Effective Aerosol Nanoparticles Filtration. Processes 2022, 10, 2598. [Google Scholar] [CrossRef]
- Czarnecka, K.; Wojasiński, M.; Ciach, T.; Sajkiewicz, P. Solution Blow Spinning of Polycaprolactone—Rheological Determination of Spinnability and the Effect of Processing Conditions on Fiber Diameter and Alignment. Materials 2021, 14, 1463. [Google Scholar] [CrossRef]
- Cerqueira, G.R.C.; Gomes, D.S.; Victor, R.S.; Figueiredo, L.R.F.; Medeiros, E.S.; Neves, G.A.; Menezes, R.R. Development of PVA/chitosan Nanofibers by a Green Route Using Solution Blow Spinning. J. Polym. Environ. 2023. [Google Scholar] [CrossRef]
- Natarelli, C.V.L.; de Barros, H.E.A.; Freitas, H.R.; Bufalo, T.C.E.; Dias, E.S.; de Oliveira, J.E. PVA/zein nanofibers obtained by solution blow spinning. J. Mater. Sci. 2023, 58, 13518–13529. [Google Scholar] [CrossRef]
- Su, X.; Zhai, Y.; Jia, C.; Xu, Z.; Luo, D.; Pan, Z.; Xiang, H.; Yu, S.; Zhu, L.; Zhu, M. Improved Antibacterial Properties of Polylactic Acid-Based Nanofibers Loaded with ZnO-Ag Nanoparticles through Pore Engineering. ACS Appl. Mater. Interfaces 2023, 15, 42920–42929. [Google Scholar] [CrossRef] [PubMed]
- Ozcan, I.; Saricaoglu, F.T.; Parlak, M.E.; Dagdelen, A.F.; Cinar, A.Y.; Gul, L.B.; Dundar, A.N.; Tosun, F. Characterization of Solution Blow Spun Poly(Lactic) Acid Based Nanofibers Containing Sucuk Spice Mix Essential Oils. J. Polym. Environ. 2023, 31, 2334–2346. [Google Scholar] [CrossRef]
- Alinezhad Sardareh, E.; Shahzeidi, M.; Salmanifard Ardestani, M.T.; Mousavi-Khattat, M.; Zarepour, A.; Zarrabi, A. Antimicrobial Activity of Blow Spun PLA/Gelatin Nanofibers Containing Green Synthesized Silver Nanoparticles against Wound Infection-Causing Bacteria. Bioengineering 2022, 9, 518. [Google Scholar] [CrossRef]
- Szymańska, E.; Wojasiński, M.; Czarnomysy, R.; Dębowska, R.; Łopianiak, I.; Adasiewicz, K.; Ciach, T.; Winnicka, K. Chitosan-Enriched Solution Blow Spun Poly(Ethylene Oxide) Nanofibers with Poly(Dimethylsiloxane) Hydrophobic Outer Layer for Skin Healing and Regeneration. Int. J. Mol. Sci. 2022, 23, 5135. [Google Scholar] [CrossRef]
- Maevskaia, E.N.; Shabunin, A.S.; Dresvyanina, E.N.; Dobrovol’skaya, I.P.; Yudin, V.E.; Paneyah, M.B.; Fediuk, A.M.; Sushchinskii, P.L.; Smirnov, G.P.; Zinoviev, E.V.; et al. Influence of the Introduced Chitin Nanofibrils on Biomedical Properties of Chitosan-Based Materials. Nanomaterials 2020, 10, 945. [Google Scholar] [CrossRef]
- Pektas, K.; Balci, O.; Orhan, M. Solution blown of PLA nanofiber containing ozonated mormodica oil and its microcapsules to obtain antibacterial medical textiles surfaces. Vlak. Text. 2023, 30, 88–92. [Google Scholar] [CrossRef]
- Qian, Y.H.; D’Humières, D.; Lallemand, P. Lattice BGK Models for Navier-Stokes Equation. Europhys. Lett. 1992, 17, 479–484. [Google Scholar] [CrossRef]
- Chen, H.; Chen, S.; Matthaeus, W.H. Recovery of Navier-Stokes Equations Using a Lattice-Gas Boltzmann Method. Phys. Rev. A 1992, 45, 5339–5342. [Google Scholar] [CrossRef]
- Przekop, R.; Jackiewicz-Zagórska, A.; Woźniak, M.; Gradoń, L. Effect of work of adhesion on deep bed filtration process. Int. J. Num. Methods Heat Fluid Flow 2018, 28, 786–798. [Google Scholar] [CrossRef]
- Podgórski, A. On the Transport, Deposition and Filtration of Aerosol Particles in Fibrous Filters: Selected Problems. OWPW 2002, 28, 3–207. [Google Scholar]
- Przekop, R.; Jackiewicz-Zagórska, A. Effect of mesoscale inhomogeneity and fibers size distribution on the initial stage of deep-bed filtration process. J. Aerosol Sci. 2020, 142, 105522. [Google Scholar] [CrossRef]
- Penconek, A.; Kasak, D.; Moskal, A. Soy Protein Nanofibers Obtained by Solution Blow Spinning. Processes 2023, 11, 2310. [Google Scholar] [CrossRef]
- Podgórski, A.; Bałazy, A.; Gradoń, L. Application of nanofiber to improve the filtration efficiency of the most penetrating aerosol particles in fibrous filters. Chem. Eng. Sci. 2006, 61, 6804–6815. [Google Scholar] [CrossRef]












| Parameters | Values | Units |
|---|---|---|
| internal channel diameter | 1, 2 | mm |
| time | 20, 40, 60 | min |
| PLA concentration | 6, 10 | % w/w |
| airflow | 100, 200 | L/min |
| distance from the nozzle to the collector | 37, 56 | cm |
| Sample No. | PLA Concentration, % | Time, Min | Internal Channel Diameter, mm | Airflow, L/min | Distance from the Nozzle to the Collector, cm |
|---|---|---|---|---|---|
| A1 | 6 | 20 | 1 | 100 | 56 |
| A2 | 6 | 20 | 1 | 200 | 56 |
| A3 | 10 | 20 | 1 | 100 | 56 |
| A4 | 10 | 20 | 1 | 200 | 56 |
| A5 | 6 | 20 | 2 | 200 | 56 |
| A6 | 10 | 20 | 2 | 100 | 56 |
| A7 | 10 | 20 | 2 | 200 | 56 |
| A8 | 10 | 40 | 1 | 200 | 56 |
| A9 | 10 | 60 | 1 | 200 | 56 |
| A10 | 10 | 60 | 1 | 200 | 37 |
| A11 | 10 | 20 | 1 | 200 | 37 |
| A12 | 10 | 40 | 1 | 200 | 37 |
| Sample No. | Mass of Deposited Fibres, g | Fibre Diameter, μm | Initial Filtration Efficiency, % | Initial Pressure Drop, Pa | ||||||
|---|---|---|---|---|---|---|---|---|---|---|
| Mean | SD | CV, % | Mean | Mean | SD | CV, % | Mean | SD | CV, % | |
| A1 | 0.16 | 0.02 | 14.43 | 0.365 | 20.61 | 4.84 | 23.49 | 8.18 | 2.42 | 29.63 |
| A2 | 0.13 | 0.02 | 12.84 | 0.431 | 46.73 | 2.83 | 6.06 | 23.81 | 2.89 | 12.15 |
| A3 | 0.41 | 0.08 | 20.62 | 1.330 | 35.33 | 7.63 | 21.60 | 13.31 | 3.82 | 28.72 |
| A4 | 0.33 | 0.10 | 29.85 | 0.749 | 41.21 | 7.46 | 18.11 | 18.56 | 3.42 | 18.41 |
| A5 | 0.17 | 0.03 | 16.52 | 0.396 | 25.76 | 3.56 | 13.82 | 9.77 | 1.43 | 14.64 |
| A6 | 0.13 | 0.05 | 37.16 | 1.991 | 16.52 | 1.74 | 10.55 | 7.08 | 2.05 | 28.98 |
| A7 | 0.45 | 0.13 | 28.63 | 1.241 | 49.37 | 11.23 | 22.74 | 24.57 | 6.78 | 27.58 |
| A8 | 0.57 | 0.11 | 18.79 | 0.749 | 47.00 | 8.19 | 17.44 | 30.00 | 5.75 | 19.18 |
| A9 | 0.98 | 0.09 | 9.01 | 0.749 | 60.20 | 7.37 | 12.25 | 45.66 | 3.72 | 8.14 |
| A10 | 1.41 | 0.31 | 21.76 | 0.562 | 78.84 | 8.03 | 10.18 | 84.49 | 22.33 | 26.42 |
| A11 | 0.56 | 0.03 | 4.79 | 0.562 | 56.10 | 5.22 | 9.31 | 35.65 | 2.64 | 7.42 |
| A12 | 0.87 | 0.18 | 20.98 | 0.562 | 52.02 | 3.88 | 7.46 | 33.33 | 4.69 | 14.06 |
| Sample No. | Mean Fibres Diameter, µm | Standard Deviation, µm | Porosity, - | Thickness, mm | Monodisperse Regular | Polydisperse Regular | Polydisperse Staggered | |||
|---|---|---|---|---|---|---|---|---|---|---|
| Filtration Efficiency, % | Pressure Drop, Pa | Filtration Efficiency, % | Pressure Drop, Pa | Filtration Efficiency, % | Pressure Drop, Pa | |||||
| A2 | 0.5 | 0.25 | 0.95 | 0.1 | 32.3 | 21.2 | 30.7 | 20.9 | 29.8 | 18.3 |
| A8 | 0.8 | 0.4 | 0.9 | 0.2 | 52.6 | 38.3 | 49.2 | 37.8 | 48.6 | 35.2 |
| A10 | 0.6 | 0.3 | 0.9 | 0.3 | 72.1 | 98.2 | 69.6 | 97.8 | 67.4 | 93.7 |
| B1 | 0.6 | 0.3 | 0.9 | 0.5 | 93.2 | 217.3 | 91.4 | 214.2 | 89.9 | 208.6 |
| B2 | 0.5 | 0.25 | 0.95 | 0.3 | 65.2 | 62.0 | 64.4 | 64.3 | 62.9 | 61.6 |
| B3 | 92.1 | 157.7 | 89.3 | 156.5 | 88.2 | 147.2 | ||||
| B4 | 91.1 | 157.7 | 89.5 | 156.5 | 88.7 | 147.2 | ||||
| Sample No. | PLA Concentration, % | Time, min | Internal Channel Diameter, mm | Airflow, L/min | Distance from the Nozzle to the Collector, cm |
|---|---|---|---|---|---|
| B1 | 10 | 120 | 1 | 200 | 37 |
| B2 | 6 | 120 | 1 | 200 | 56 |
| B3 | 6,10 | 120 | 1 | 200 | 37–56 |
| B4 | 6,10 | 120 | 1 | 200 | 37–56 |
| Sample No. | Mass of Deposited Fibres, g | Initial Filtration Efficiency, % | Initial Pressure Drop, Pa | ||||||
|---|---|---|---|---|---|---|---|---|---|
| Mean | SD | CV, % | Mean | SD | CV, % | Mean | SD | CV, % | |
| B1 | 2.17 | 0.39 | 17.78 | 97.07 | 3.03 | 3.12 | 181.60 | 53.55 | 29.49 |
| B2 | 0.62 | 0.03 | 4.18 | 68.85 | 9.43 | 13.70 | 50.80 | 11.26 | 22.16 |
| B3 | 3.38 | 0.78 | 23.19 | 96.51 | 1.53 | 1.59 | 153.33 | 38.73 | 25.26 |
| B4 | 3.38 | 0.78 | 23.19 | 96.29 | 2.04 | 2.12 | 155.20 | 46.75 | 30.12 |
Disclaimer/Publisher’s Note: The statements, opinions and data contained in all publications are solely those of the individual author(s) and contributor(s) and not of MDPI and/or the editor(s). MDPI and/or the editor(s) disclaim responsibility for any injury to people or property resulting from any ideas, methods, instructions or products referred to in the content. |
© 2023 by the authors. Licensee MDPI, Basel, Switzerland. This article is an open access article distributed under the terms and conditions of the Creative Commons Attribution (CC BY) license (https://creativecommons.org/licenses/by/4.0/).
Share and Cite
Penconek, A.; Jackiewicz-Zagórska, A.; Przekop, R.; Moskal, A. Fibrous Structures Produced Using the Solution Blow-Spinning Technique for Advanced Air Filtration Process. Materials 2023, 16, 7118. https://doi.org/10.3390/ma16227118
Penconek A, Jackiewicz-Zagórska A, Przekop R, Moskal A. Fibrous Structures Produced Using the Solution Blow-Spinning Technique for Advanced Air Filtration Process. Materials. 2023; 16(22):7118. https://doi.org/10.3390/ma16227118
Chicago/Turabian StylePenconek, Agata, Anna Jackiewicz-Zagórska, Rafał Przekop, and Arkadiusz Moskal. 2023. "Fibrous Structures Produced Using the Solution Blow-Spinning Technique for Advanced Air Filtration Process" Materials 16, no. 22: 7118. https://doi.org/10.3390/ma16227118
APA StylePenconek, A., Jackiewicz-Zagórska, A., Przekop, R., & Moskal, A. (2023). Fibrous Structures Produced Using the Solution Blow-Spinning Technique for Advanced Air Filtration Process. Materials, 16(22), 7118. https://doi.org/10.3390/ma16227118

