Physico-Mechanical and Durability Characterization of Eco-Ternary Cementitious Binder Containing Calcined Clay/Rice Husk Ash and Recycled Glass Powder
Abstract
1. Introduction
2. Materials and Methods
2.1. Materials
2.2. Mix Design and Sample Preparation
2.3. Samples Characterization
3. Results and Discussion
3.1. Physical Characteristics of Fresh Pastes and Mortars
3.1.1. Workability
3.1.2. Setting Time
3.2. Mechanical Characteristics and Durability Indicators of Hardened Mortars
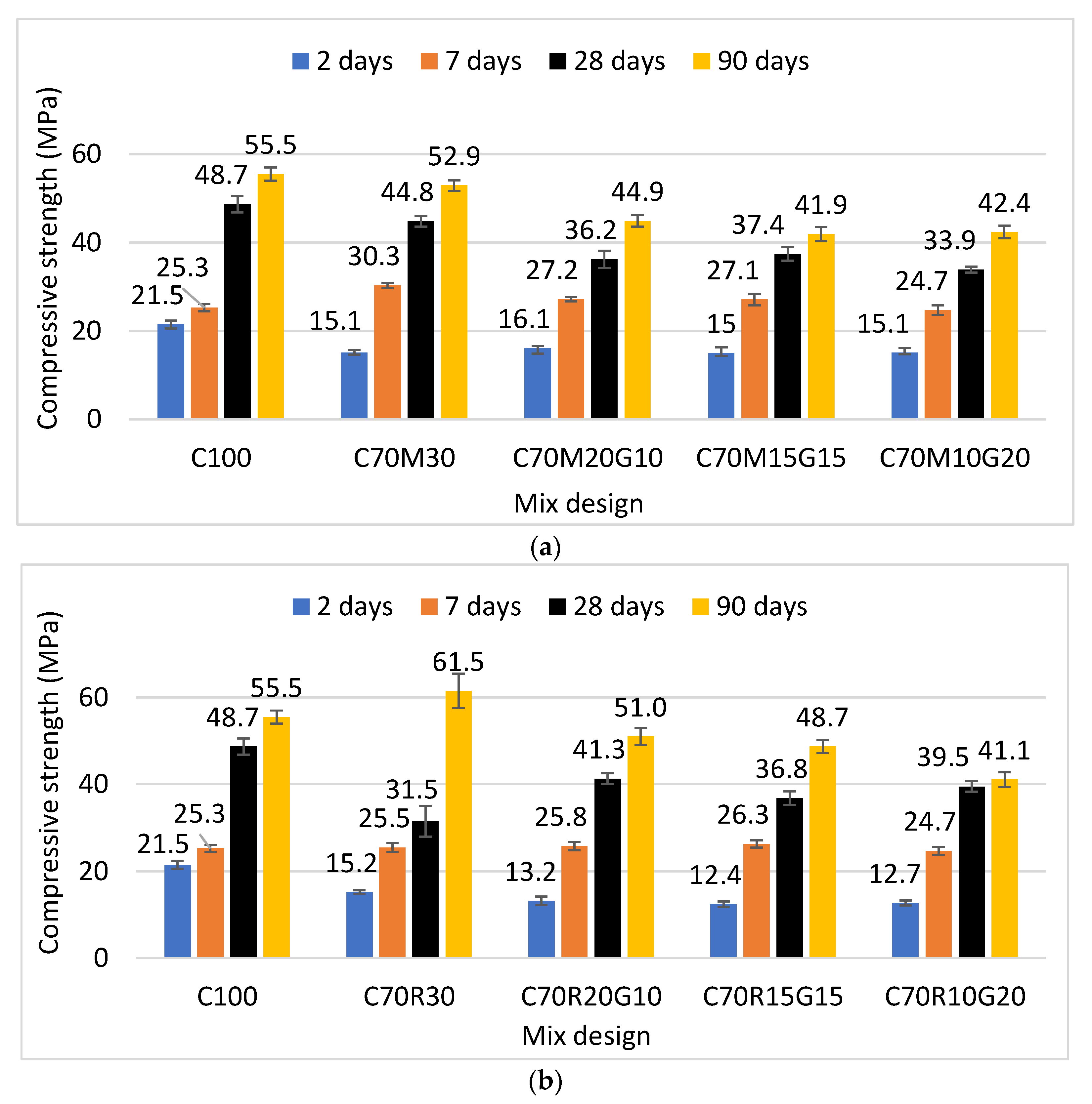
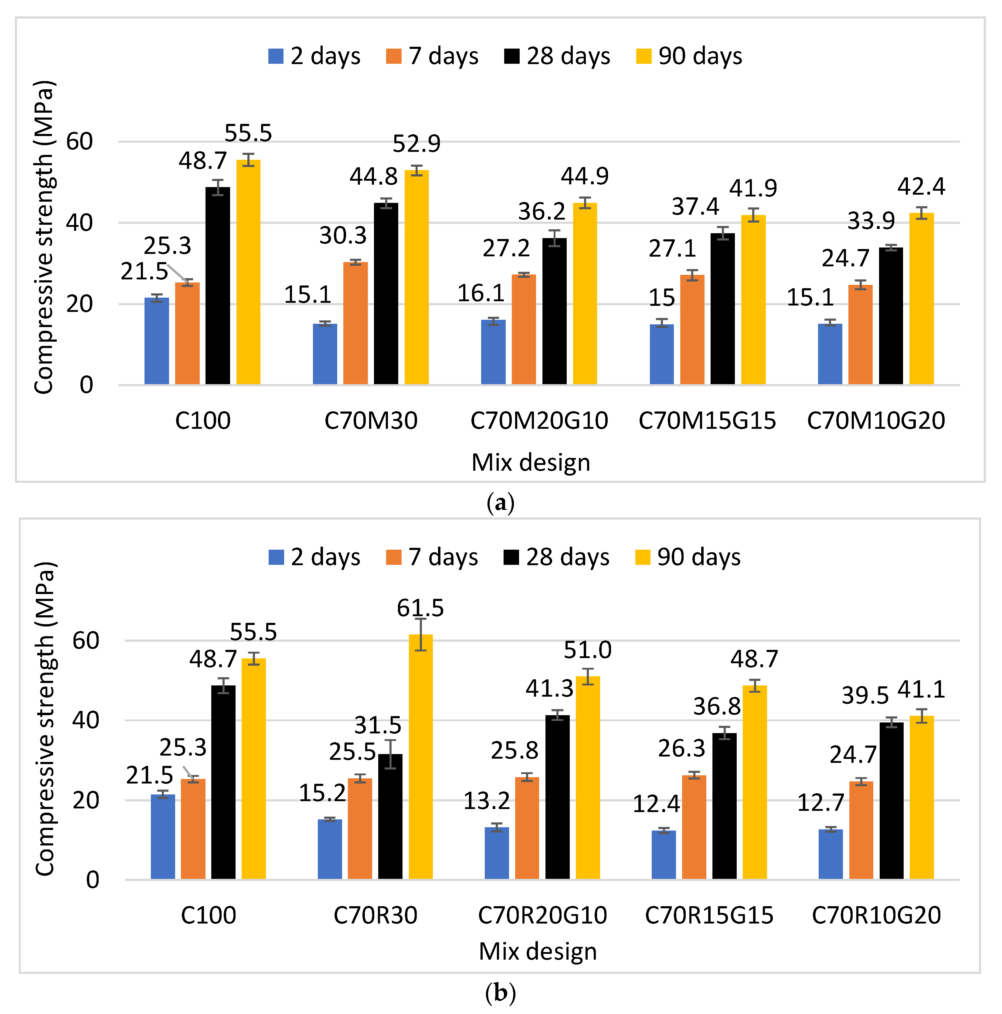
3.2.1. Compressive Strength
3.2.2. Water-Accessible Porosity
3.2.3. Capillary Absorption
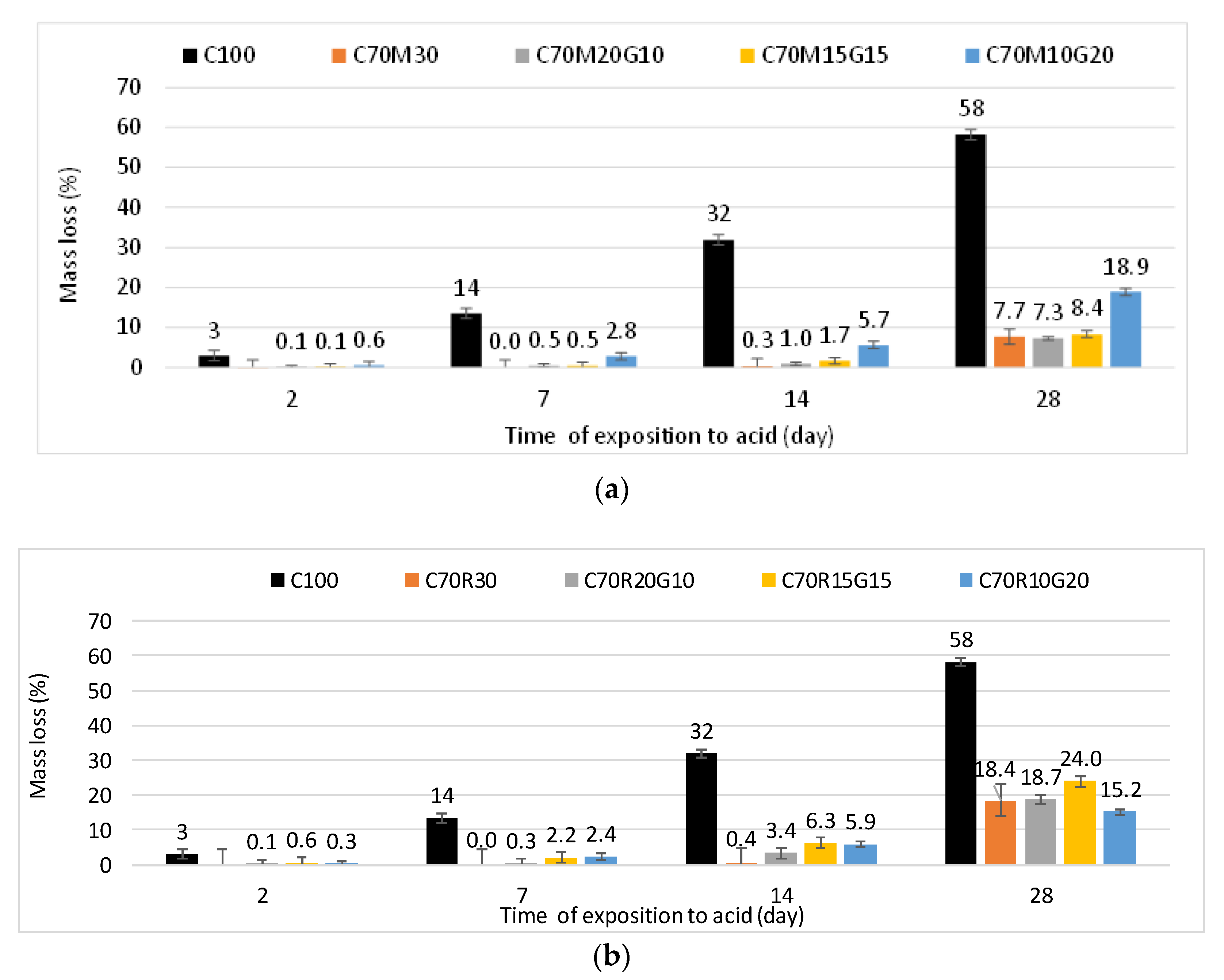
3.2.4. Resistance to Acid Attack
4. Conclusions
- The substitution with GP in MK/RHA decreases the water demand (W/B) to reach the normal consistency of the paste. The W/B is 33% and 40% for the paste containing 20% GP in the substitution of MK and RHA, respectively. This is lower compared with the W/B of 38.5% and 60%, respectively, for the paste containing only 30% MK and RHA. This reduction in water demand would therefore improve the workability. Nevertheless, GP increases the setting time of the paste essentially due to its dilution effect, which would be beneficial for work in hot regions.
- The substitution with GP in MK/RHA did not sufficiently develop the compressive strength at an early age, displaying values lower than that of the controls. However, the strength relatively improved over time and significantly reduced the deficiency at 90 days.
- The substitution with GP in MK/RHA improved some of the durability indicators of mortars. It reduced the porosity and sorptivity of various mortars, with a more significant effect observed for RHA than MK. The mass loss after exposure to acid attack was also reduced with respect to cement, with a more significant effect observed with MK than RHA, up to 15% GP.
Author Contributions
Funding
Institutional Review Board Statement
Informed Consent Statement
Data Availability Statement
Conflicts of Interest
References
- Aliabdo, A.A.; Abd Elmoaty, A.E.M.; Aboshama, A.Y. Utilization of waste glass powder in the production of cement and concrete. Constr. Build. Mater. 2016, 124, 866–877. [Google Scholar] [CrossRef]
- Agyekum, K.; Kissi, E.; Danku, J.C. Professionals’ views of vernacular building materials and techniques for green building delivery in Ghana. Sci. Afr. 2020, 8, e00424. [Google Scholar] [CrossRef]
- Arab, B.; Mehaddene, R.; Bouchnab, Y. Substitution of CPA cement by glass powder in high performance mortars. Environ. Ingénierie Développement 2017, 75, 1–8. [Google Scholar] [CrossRef]
- Chand, G.; Happy, S.K.; Ram, S. Assessment of the properties of sustainable concrete produced from quaternary blend of Portland cement, glass powder, metakaolin and silica fume. Clean. Eng. Technol. 2021, 4, 100179. [Google Scholar] [CrossRef]
- Elaqra, H.A.; Al-Afghany, M.J.; Abo-Hasseira, A.B.; Elmasry, I.H.; Tabasi, A.M.; Alwan, M.D. Effect of immersion time of glass powder on mechanical properties of concrete contained glass powder as cement replacement. Constr. Build. Mater. 2019, 206, 674–682. [Google Scholar] [CrossRef]
- Goyal, S.; Maneek, K.; Darshan, S.S.; Bishwajit, B. Resistance of Mineral Admixture Concrete to Acid Attack. J. Adv. Concr. Technol. 2009, 7, 273–283. [Google Scholar] [CrossRef]
- Ibrahim, K.I.M. Recycled waste glass powder as a partial replacement of cement in concrete containing silica fume and fly ash. Case Stud. Constr. Mater. 2021, 15, e00630. [Google Scholar] [CrossRef]
- Jani, Y.; Hogland, W. Waste Glass in the Production of Cement and Concrete—A Review. J. Environ. Chem. Eng. 2014, 2, 1767–1775. [Google Scholar] [CrossRef]
- Jochem, L.F.; Casagrande, C.A.; Onghero, L.; Venâncio, C.; Gleize, P.J.P. Effect of partial replacement of the cement by glass waste on cementitious pastes. Constr. Build. Mater. 2021, 273, 121704. [Google Scholar] [CrossRef]
- Mirzahosseini, M.; Riding, K.A. Effect of curing temperature and glass type on the pozzolanic reactivity of glass powder. Cem. Concr. Res. 2014, 58, 103–111. [Google Scholar] [CrossRef]
- Mitrovi, A.; Nikolić, D.; Miličić, L.; Bojović, D. Properties of composite cement with commercial and manufactured metakaolin. Teh. Vjes Nik 2013, 20, 683–687. [Google Scholar]
- Mounika, G.; Baskar, R.; Rama, J.S.K. Rice Husk Ash as a Potential Supplementary Cementitious Material in Concrete Solution towards Sustainable Construction. Innov. Infrastruct. Solut. 2021, 7, 51. [Google Scholar] [CrossRef]
- NF EN 196-1; Ciments-Partie 1: Méthodes D’essais des Ciments-Détermination des Résistances Mécaniques. AFNOR: Saint-Denis La Plaine CEDEX, France, 2016.
- NF EN 197-1; Ciments-Partie 1: Composition, Spécifications et Critères de Conformité Des Ciments Courants. AFNOR: Saint-Denis La Plaine CEDEX, France, 2012.
- NF P 18-513; Métakaolin: Spécifications et Critères de Conformité. Afnor: Saint-Denis La Plaine CEDEX, France, 2012.
- Nodehi, M.; Ren, J.; Shi, X.; Debbarma, S.; Ozbakkaloglu, T. Experimental evaluation of alkali-activated and portland cement-based mortars prepared using waste glass powder in replacement of fly ash. Constr. Build. Mater. 2023, 394, 132124. [Google Scholar] [CrossRef]
- Ntimugura, F.; Sore, S.O.; Bello, L.; Messan, A. The Influence of Metakaolin from Saaba (Burkina Faso) over Physico-Mechanical and Durability Properties of Mortars. Open J. Civ. Eng. 2017, 7, 389–408. [Google Scholar] [CrossRef][Green Version]
- Nshimiyimana, P.; Messan, A.; Zhao, Z.; Courard, L. Chemico-microstructural changes in earthen building materials containing calcium carbide residue and rice husk ash. Constr. Build. Mater. 2019, 216, 622–631. [Google Scholar] [CrossRef]
- Ramadji, C.; Messan, A.; Prud’homme, E. Influence of Granite Powder on Physico-Mechanical and Durability Properties of Mortar. Materials 2020, 13, 5406. [Google Scholar] [CrossRef] [PubMed]
- Ramadji, C.; Messan, A.; Sore, S.O.; Prud’Homme, E.; Nshimiyimana, P. Microstructural Analysis of the Reactivity Parameters of Calcined Clays. Sustainability 2021, 14, 2308. [Google Scholar] [CrossRef]
- Ren, J.; Zhang, L.; Walkley, B.; Black, J.R.; San Nicolas, R. Degradation resistance of different cementitious materials to phosphoric acid attack at early stage. Cem. Concr. Res. 2022, 151, 106606. [Google Scholar] [CrossRef]
- Sadiqul Islam, G.M.; Rahman, M.H.; Kazi, N. Waste glass powder as partial replacement of cement for sustainable concrete practice. Int. J. Sustain. Built Environ. 2017, 6, 37–44. [Google Scholar] [CrossRef]
- Shao, Y.; Lefort, T.; Moras, S.; Rodriguez, D. Studies on concrete containing ground waste glass. Cem. Concr. Res. 2000, 30, 91–100. [Google Scholar] [CrossRef]
- Sisman, C.B.; Gezer, E.; Kocaman, I. Effects of organic waste (rice husk) on the concrete properties for farm buildings. Bulg. J. Agric. Sci. 2011, 17, 40–48. [Google Scholar]
- Tagbor, T.A.; Mohammed, L.; Mohammed, M.; Bruce-Mensah, M.M.; Tekpetey, S.; Armoo, E.A.; Adomah, R.; Arthur, T.D.; Agyenim, F.B.; Amoah, J.Y.; et al. The utilization of palm kernel shells and waste plastics in asphaltic mix for sustainable pavement construction. Sci. Afr. 2022, 16, e01277. [Google Scholar] [CrossRef]
- Tayeh, B.; Shahidan, S.; El-Kurd, A.; Zuki, S.S.M.; Ridzuan, R.; Ibrahim, M.H.; Khalid, F.S. Utilization of waste glass powder as a partial replacement of cement in sustainable mortar practice. Malays. Constr. Res. J. 2018, 4, 83–92. [Google Scholar]
- Tiffo, E.; Belibi, P.D.B.; Mbah, J.B.B.; Thamer, A.; Pougnong, T.E.; Baenla, J.; Elimbi, A. Effect of various amounts of aluminium oxy-hydroxide coupled with thermal treatment on the performance of alkali-activated metakaolin and volcanic scoria. Sci. Afr. 2021, 14, e01015. [Google Scholar] [CrossRef]
- UN SDGs. Make the SDGs a Reality. Available online: https://sdgs.un.org/goals (accessed on 27 March 2023).








| Oxides (%) | SiO2 | Al2O3 | Fe2O3 | CaO | MgO | Na2O | K2O | MnO2 | TiO2 | P2O5 |
|---|---|---|---|---|---|---|---|---|---|---|
| MK a | 57.9 | 38.3 | 2.3 | 0.05 | 0.09 | 0.2 | 0.1 | 0.01 | 0.09 | 0.02 |
| RHA b | 91.2 | 1.6 | 0.6 | 0.8 | 0.2 | 0 | 1.8 | 0.2 | 0.1 | 0.6 |
| GP c | 68.1 | 0.9 | 0.6 | 14.5 | 1.8 | 12.2 | 0.8 | - | - | - |
| Designs (%) | CEM (g) | MK/RHA (g) | GP (g) | Sand (g) | Water (g) | Sp (g) | ||
|---|---|---|---|---|---|---|---|---|
| CEM | MK/RHA | GP | ||||||
| 100 | 0 | 0 | 450 | 0 | 0 | 1350 | 225 | 3.375 |
| 70 | 30 | 0 | 315 | 135 | 0 | 1350 | 225 | 3.375 |
| 70 | 20 | 10 | 315 | 90 | 45 | 1350 | 225 | 3.375 |
| 70 | 15 | 15 | 315 | 67.5 | 67.5 | 1350 | 225 | 3.375 |
| 70 | 10 | 20 | 315 | 45 | 90 | 1350 | 225 | 3.375 |
| Samples | Sorptivity, 1–24 h (kg/m2.h1/2) | Correlation Coefficient, R2 (−) | Evolution of Pore Diameter (−) | Water-Accessible Porosity (%) |
|---|---|---|---|---|
| C100 | 0.22 | 0.97 | * | 15.8 |
| C70M30 | 0.20 | 0.89 | + | 10.8 |
| C70M20G10 | 0.17 | 0.96 | −− | 11.0 |
| C70M15G15 | 0.19 | 0.96 | − | 12.5 |
| C70M10G20 | 0.11 | 0.89 | −−−− | 12.6 |
| C70R30 | 0.60 | 0.98 | ++++++++ | 16.2 |
| C70R20G10 | 0.28 | 0.99 | ++ | 13.9 |
| C70R15G15 | 0.21 | 0.98 | * | 13.8 |
| C70R10G20 | 0.19 | 0.98 | − | 14.0 |
Disclaimer/Publisher’s Note: The statements, opinions and data contained in all publications are solely those of the individual author(s) and contributor(s) and not of MDPI and/or the editor(s). MDPI and/or the editor(s) disclaim responsibility for any injury to people or property resulting from any ideas, methods, instructions or products referred to in the content. |
© 2023 by the authors. Licensee MDPI, Basel, Switzerland. This article is an open access article distributed under the terms and conditions of the Creative Commons Attribution (CC BY) license (https://creativecommons.org/licenses/by/4.0/).
Share and Cite
Nshimiyimana, P.; Tameghe, U.F.; Ramadji, C.; Prud’homme, E.; Zhao, Z.; Compaoré, D.; Messan, A. Physico-Mechanical and Durability Characterization of Eco-Ternary Cementitious Binder Containing Calcined Clay/Rice Husk Ash and Recycled Glass Powder. Materials 2023, 16, 7009. https://doi.org/10.3390/ma16217009
Nshimiyimana P, Tameghe UF, Ramadji C, Prud’homme E, Zhao Z, Compaoré D, Messan A. Physico-Mechanical and Durability Characterization of Eco-Ternary Cementitious Binder Containing Calcined Clay/Rice Husk Ash and Recycled Glass Powder. Materials. 2023; 16(21):7009. https://doi.org/10.3390/ma16217009
Chicago/Turabian StyleNshimiyimana, Philbert, Ulrich Franck Tameghe, Christian Ramadji, Elodie Prud’homme, Zengfeng Zhao, Désiré Compaoré, and Adamah Messan. 2023. "Physico-Mechanical and Durability Characterization of Eco-Ternary Cementitious Binder Containing Calcined Clay/Rice Husk Ash and Recycled Glass Powder" Materials 16, no. 21: 7009. https://doi.org/10.3390/ma16217009
APA StyleNshimiyimana, P., Tameghe, U. F., Ramadji, C., Prud’homme, E., Zhao, Z., Compaoré, D., & Messan, A. (2023). Physico-Mechanical and Durability Characterization of Eco-Ternary Cementitious Binder Containing Calcined Clay/Rice Husk Ash and Recycled Glass Powder. Materials, 16(21), 7009. https://doi.org/10.3390/ma16217009

