A Method for Predicting the Creep Rupture Life of Small-Sample Materials Based on Parametric Models and Machine Learning Models
Abstract
:1. Introduction
2. Three Categories of Models Used in the Prediction Method
2.1. Time–Temperature Parametric Models
2.1.1. Larson–Miller Parametric Model
2.1.2. Manson–Succop Parametric Model
2.1.3. Ge–Dorn Parametric Model
2.1.4. Manson–Haferd Parametric Model
2.2. Machine Learning Models
2.2.1. Back-Propagation Neural Network Based on Particle Swam Optimization (PSO-BPNN) [44,45]
2.2.2. Back-Propagation Neural Network Based on Genetic Algorithms (GA-BPNN) [46,47,48]
2.2.3. Radial Basis Function Neural Network (RBFNN) [49,50,51]
2.2.4. Random Forest (RF) [52,53,54]
2.2.5. Support Vector Regression (SVR) [55,56]
2.2.6. Deep Neural Network (DNN) [57]
2.2.7. Gauss Process Regression (GPR) [58,59]
2.2.8. Deep Belief Network (DBN) [60,61]
2.3. A New Method of Predicting the Creep Rupture Life of Materials
2.3.1. A Method Combined with the Parametric Models and the Machine Learning Models
2.3.2. A New Prediction Method of Creep Rupture Life
2.4. Indicators for Model Evaluation
- (1)
- Root-Mean-Square Error
- (2)
- Mean Absolute Percentage Error
- (3)
- Coefficient of determination
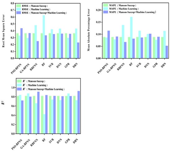
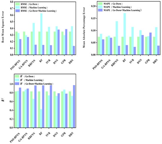
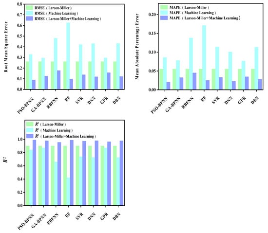
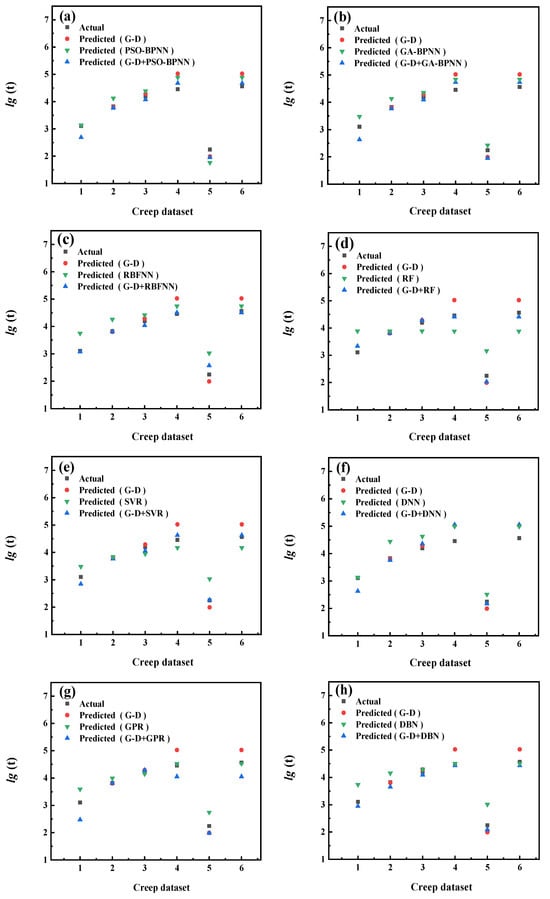
3. Results and Discussion
3.1. Establishment of Data Sets for Model Fitting and Training
3.2. Model Prediction Results
3.2.1. Prediction Results of Each Model in the New Method
3.2.2. Comparison of Model Prediction Accuracy
3.3. Comparison of Effects of Different Input Variables on Creep Rupture Life
4. Conclusions
- (1)
- In this paper, a new creep rupture life prediction method is proposed that obtains the parametric equation of creep rupture life, stress, and temperature using four different time–temperature parametric models. Then, the creep rupture life data of other temperature and stress conditions predicted via parametric equations are used as the expansion of the training set data of various machine learning models. The new method combines the advanced machine learning models with the classical time–temperature parametric models. This measure not only solves the problem that the machine learning model is difficult to use for small samples but also improves the prediction accuracy of the machine learning model;
- (2)
- Due to the different theories of various creep rupture life prediction models, the prediction results obtained using various prediction models are different, even for the same set of creep data. Additionally, the prediction abilities of models are variable, making it impossible to guarantee that a certain model will always have the strongest prediction ability for a variety of materials. Therefore, we propose a new creep rupture life prediction method in this paper that uses multiple models of three categories of methods simultaneously, compares the prediction accuracy of different models, outputs the predicted model values with the highest accuracy, and improves the prediction accuracy and applicability of the material creep rupture life prediction. The creep rupture life prediction method proposed in this paper can be further improved via the introduction of more machine learning models to further improve the prediction accuracy and applicability of the method;
- (3)
- Compared with the classical parametric models (L-M, M-S, G-D, and M-H), the unique advantage of the machine learning model is that it can quantify the feature importance of different input variables. However, in the case of small-sample creep data, the prediction accuracy of machine learning models is often low, leading to the reliability of quantitative feature importance scores also being low. The new method proposed in this paper can improve the prediction accuracy of machine learning models in the case of small samples and quantify the influence of different input variables on output more accurately and reliably.
Author Contributions
Funding
Institutional Review Board Statement
Informed Consent Statement
Data Availability Statement
Conflicts of Interest
References
- Webb, J.; Gollapudi, S.; Charit, I. An overview of creep in tungsten and its alloys. Int. J. Refract. Met. Hard Mater. 2019, 82, 69–80. [Google Scholar] [CrossRef]
- Li, R.; Zhang, L. Research on high-temperature creep properties of Al2O3-MgAl2O4 refractory. Int. J. Appl. Ceram. Technol. 2022, 19, 2172–2180. [Google Scholar] [CrossRef]
- Sun, H.; Wang, H.; He, X.; Wang, F.; An, X.; Wang, Z. Study on high temperature creep behavior of the accident-resistant cladding Fe–13Cr–4Al-1.85 Mo-0.85 Nb alloy. Mater. Sci. Eng. A 2021, 802, 140688. [Google Scholar] [CrossRef]
- Wang, G.; Zhang, S.; Tian, S.; Tian, N.; Zhao, G.; Yan, H. Microstructure evolution and deformation mechanism of a [111]-oriented nickel-based single-crystal superalloy during high-temperature creep. J. Mater. Res. Technol. 2022, 16, 495–504. [Google Scholar] [CrossRef]
- Altenbach, H.; Öchsner, A. (Eds.) Encyclopedia of Continuum Mechanics; Springer: Berlin/Heidelberg, Germany, 2020. [Google Scholar]
- McLean, D. The physics of high temperature creep in metals. Rep. Prog. Phys. 1966, 29, 1. [Google Scholar] [CrossRef]
- Evans, R.W.; Wilshire, B. Introduction to creep. Inst. Mater. 1993, 1993, 115. [Google Scholar]
- Han, L.; Li, P.; Yu, S.; Chen, C.; Fei, C.; Lu, C. Creep/fatigue accelerated failure of Ni-based superalloy turbine blade: Microscopic characteristics and void migration mechanism. Int. J. Fatigue 2022, 154, 106558. [Google Scholar] [CrossRef]
- Meher-Homji, C.B.; Gabriles, G. Gas Turbine Blade Failures-Causes, Avoidance, And Troubleshooting. In Proceedings of the 27th Turbomachinery Symposium; Texas A&M University, Turbomachinery Laboratories: College Station, TX, USA, 1998. [Google Scholar]
- Ali, M.; Ul-Hamid, A.; Alhems, L.M.; Saeed, A. Review of common failures in heat exchangers–Part I: Mechanical and elevated temperature failures. Eng. Fail. Anal. 2020, 109, 104396. [Google Scholar] [CrossRef]
- Purbolaksono, J.; Ahmad, J.; Beng, L.C.; Rashid, A.Z.; Khinani, A.; Ali, A.A. Failure analysis on a primary superheater tube of a power plant. Eng. Fail. Anal. 2010, 17, 158–167. [Google Scholar] [CrossRef]
- Jones, D.R.H. Creep failures of overheated boiler, superheater and reformer tubes. Eng. Fail. Anal. 2004, 11, 873–893. [Google Scholar] [CrossRef]
- Perdomo, J.J.; Spry, T.D. An overheat boiler tube failure. J. Fail. Anal. Prev. 2005, 5, 25–28. [Google Scholar] [CrossRef]
- Kim, W.G.; Park, J.Y.; Kim, S.J.; Jang, J. Reliability assessment of creep rupture life for Gr. 91 steel. Mater. Des. 2013, 51, 1045–1051. [Google Scholar] [CrossRef]
- Niu, S.; Yu, Y.; Liu, Y.; Niu, Y.; Zhang, J. The Study of Creep Induced SGTR in Severe Accident for HPR1000. Nucl. Sci. Eng. 2021, 41, 48–56. [Google Scholar]
- Loghman, A.; Moradi, M. Creep damage and life assessment of thick-walled spherical reactor using Larson–Miller parameter. Int. J. Press. Vessel. Pip. 2017, 151, 11–19. [Google Scholar] [CrossRef]
- Lee, C.; Lee, T.; Choi, Y.S. Simple Data Analytics Approach Coupled with Larson–Miller Parameter Analysis for Improved Prediction of Creep Rupture Life. Met. Mater. Int. 2023, 1–12. [Google Scholar] [CrossRef]
- Pavan, R.; Srinivasan, P. Investigations on creep life of Alloy 617 material for the final stage superheater coils for ultra super critical thermal power plants. Mater. Today Proc. 2020, 28, 461–467. [Google Scholar] [CrossRef]
- Render, M.; Santella, M.L.; Chen, X.; Tortorelli, P.F.; Cedro, V. Long-term creep-rupture behavior of alloy Inconel 740/740H. Metall. Mater. Trans. A 2021, 52, 2601–2612. [Google Scholar] [CrossRef]
- Duoqi, S.; Tianxiao, S.U.I.; Zhenlei, L.I.; Xiaoguang, Y.A.N.G. An orientation-dependent creep life evaluation method for nickel-based single crystal superalloys. Chin. J. Aeronaut. 2022, 35, 238–249. [Google Scholar]
- Cedro III, V.; Garcia, C.; Render, M. Use of the Wilshire equation to correlate and extrapolate creep rupture data of Incoloy 800 and 304H stainless steel. Mater. High Temp. 2019, 36, 511–530. [Google Scholar] [CrossRef]
- Huang, Y.; Luo, X.; Zhan, Y.; Chen, Y.; Yu, L.; Feng, W.; Xiong, J.; Yang, J.; Mao, G.; Yang, L. High-temperature creep rupture behavior of dissimilar welded joints in martensitic heat resistant steels. Eng. Fract. Mech. 2022, 273, 108739. [Google Scholar] [CrossRef]
- Sourabh, K.; Singh, J.B. Creep behaviour of alloy 690 in the temperature range 800–1000 °C. J. Mater. Res. Technol. 2022, 17, 1553–1569. [Google Scholar] [CrossRef]
- Zhang, X.C.; Gong, J.G.; Xuan, F.Z. A deep learning based life prediction method for components under creep, fatigue and creep-fatigue conditions. Int. J. Fatigue 2021, 148, 106236. [Google Scholar] [CrossRef]
- Wang, J.; Fa, Y.; Tian, Y.; Yu, X. A machine-learning approach to predict creep properties of Cr–Mo steel with time-temperature parameters. J. Mater. Res. Technol. 2021, 13, 635–650. [Google Scholar] [CrossRef]
- Tan, Y.; Wang, X.; Kang, Z.; Ye, F.; Chen, Y.; Zhou, D.; Zhang, X.; Gong, J. Creep lifetime prediction of 9% Cr martensitic heat-resistant steel based on ensemble learning method. J. Mater. Res. Technol. 2022, 21, 4745–4760. [Google Scholar] [CrossRef]
- He, J.J.; Sandström, R.; Zhang, J.; Qin, H.Y. Application of soft constrained machine learning algorithms for creep rupture prediction of an austenitic heat resistant steel Sanicro 25. J. Mater. Res. Technol. 2023, 22, 923–937. [Google Scholar] [CrossRef]
- Xiang, S.; Chen, X.; Fan, Z.; Chen, T.; Lian, X. A deep learning-aided prediction approach for creep rupture time of Fe–Cr–Ni heat-resistant alloys by integrating textual and visual features. J. Mater. Res. Technol. 2022, 18, 268–281. [Google Scholar] [CrossRef]
- Zhu, Y.; Duan, F.; Yong, W.; Fu, H.; Zhang, H.; Xie, J. Creep rupture life prediction of nickel-based superalloys based on data fusion. Comput. Mater. Sci. 2022, 211, 111560. [Google Scholar] [CrossRef]
- Liu, Y.; Wu, J.; Wang, Z.; Lu, X.G.; Avdeev, M.; Shi, S.; Wang, C.; Yu, T. Predicting creep rupture life of Ni-based single crystal superalloys using divide-and-conquer approach based machine learning. Acta Mater. 2020, 195, 454–467. [Google Scholar] [CrossRef]
- Kong, B.O.; Kim, M.S.; Kim, B.H.; Lee, J.H. Prediction of creep life using an explainable artificial intelligence technique and alloy design based on the genetic algorithm in creep-strength-enhanced ferritic 9% Cr steel. Met. Mater. Int. 2023, 29, 1334–1345. [Google Scholar] [CrossRef]
- Han, H.; Li, W.; Antonov, S.; Li, L. Mapping the creep life of nickel-based SX superalloys in a large compositional space by a two-model linkage machine learning method. Comput. Mater. Sci. 2022, 205, 111229. [Google Scholar] [CrossRef]
- Khatavkar, N.; Singh, A.K. Highly interpretable machine learning framework for prediction of mechanical properties of nickel based superalloys. Phys. Rev. Mater. 2022, 6, 123603. [Google Scholar] [CrossRef]
- Feng, J.; Zhang, H.; Gao, K.; Liao, Y.; Gao, W.; Wu, G. Efficient creep prediction of recycled aggregate concrete via machine learning algorithms. Constr. Build. Mater. 2022, 360, 129497. [Google Scholar] [CrossRef]
- Wang, C.; Wei, X.; Ren, D.; Wang, X.; Xu, W. High-throughput map design of creep life in low-alloy steels by integrating machine earning with a genetic algorithm. Mater. Des. 2022, 213, 110326. [Google Scholar] [CrossRef]
- Larson, F.R.; Miller, J. A time temperature relationship for rupture and creep stress-es. Trans. AME 1952, 74, 765–775. [Google Scholar]
- Manson, S.S.; Succop, G. Stress-rupture properties of Inconel 700 and correlation on the basis several time temperature parameters. ASTM STP 174 1956, 64, 1–10. [Google Scholar]
- Kim, W.G.; Yoon, S.N.; Ryu, W.S. Application and standard error analysis of the parametric methods for predicting the creep life of type 316LN SS. Key Eng. Mater. 2005, 297, 2272–2277. [Google Scholar] [CrossRef]
- Yuan, L.; Chenglong, W.; Yongchao, S.; Mingbo, S.; Yu, Y.; Zhan, G.; Yiwen, X. Review on Creep Phenomenon and Its Model in Aircraft Engines. Int. J. Aerosp. Eng. 2023, 2023, 4465565. [Google Scholar] [CrossRef]
- Manson, S.S.; Haferd, A.M. A Linear Time Temperature Relation for Extrapolation of Creep and Stress Rupture Data. 1953, 62, 2890–2893. Available online: https://digital.library.unt.edu/ark%3A/67531/metadc56933/m2/1/high_res_d/19930083803.pdf (accessed on 21 December 2022).
- Mamun, O.; Wenzlick, M.; Sathanur, A.; Hawk, J.; Devanathan, R. Machine learning augmented predictive and generative model for rupture life in ferritic and austenitic steels. Npj Mater. Degrad. 2021, 5, 20. [Google Scholar] [CrossRef]
- Wang, L.; Liu, X.; Fan, P.; Zhu, L.; Zhang, K.; Wang, K.; Song, C.; Ren, S. A creep life prediction model of P91 steel coupled with back-propagation artificial neural network (BP-ANN) and θ projection method. Int. J. Press. Vessel. Pip. 2023, 206, 105039. [Google Scholar] [CrossRef]
- Gao, J.; Tong, Y.; Zhang, H.; Zhu, L.; Hu, Q.; Hu, J.; Zhang, S. Machine learning assisted design of Ni-based superalloys with excellent high-temperature performance. Mater. Charact. 2023, 198, 112740. [Google Scholar] [CrossRef]
- Hu, Y.; Li, J.; Hong, M.; Ren, J.; Lin, R.; Liu, Y.; Liu, M.; Man, Y. Short term electric load forecasting model and its verification for process industrial enterprises based on hybrid GA-PSO-BPNN algorithm—A case study of papermaking process. Energy 2019, 170, 1215–1227. [Google Scholar] [CrossRef]
- Zhou, H.; Huang, S.; Zhang, P.; Ma, B.; Ma, P.; Feng, X. Prediction of jacking force using PSO-BPNN and PSO-SVR algorithm in curved pipe roof. Tunn. Undergr. Space Technol. 2023, 138, 105159. [Google Scholar] [CrossRef]
- Cai, B.; Pan, G.; Fu, F. Prediction of the postfire flexural capacity of RC beam using GA-BPNN machine learning. J. Perform. Constr. Facil. 2020, 34, 04020105. [Google Scholar] [CrossRef]
- Zhang, Y.; Aslani, F.; Lehane, B. Compressive strength of rubberized concrete: Regression and GA-BPNN approaches using ultrasonic pulse velocity. Constr. Build. Mater. 2021, 307, 124951. [Google Scholar] [CrossRef]
- Liu, Z.; Liu, X.; Wang, K.; Liang, Z.; Correia, J.A.; De Jesus, A.M. GA-BP neural network-based strain prediction in full-scale static testing of wind turbine blades. Energies 2019, 12, 1026. [Google Scholar] [CrossRef]
- Dhanalakshmi, P.; Palanivel, S.; Ramalingam, V. Classification of audio signals using SVM and RBFNN. Expert Syst. Appl. 2009, 36, 6069–6075. [Google Scholar] [CrossRef]
- Zhang, Q.; Gao, J.; Dong, H.; Mao, Y. WPD and DE/BBO-RBFNN for solution of rolling bearing fault diagnosis. Neurocomputing 2018, 312, 27–33. [Google Scholar] [CrossRef]
- Hu, Y.; You, J.J.; Liu, J.N.K.; He, T. An eigenvector based center selection for fast training scheme of RBFNN. Inf. Sci. 2018, 428, 62–75. [Google Scholar] [CrossRef]
- Biau, G. Analysis of a random forests model. J. Mach. Learn. Res. 2012, 13, 1063–1095. [Google Scholar]
- Biau, G.; Scornet, E. A random forest guided tour. Test 2016, 25, 197–227. [Google Scholar] [CrossRef]
- Cutler, A.; Cutler, D.R.; Stevens, J.R. Random forests. In Ensemble Machine Learning: Methods and Applications; Springer: Berlin/Heidelberg, Germany, 2012; pp. 157–175. [Google Scholar]
- Smola, A.J.; Schölkopf, B. A tutorial on support vector regression. Stat. Comput. 2004, 14, 199–222. [Google Scholar] [CrossRef]
- Zhang, F.; O’Donnell, L.J. Support vector regression. In Machine Learning; Academic Press: Cambridge, MA, USA, 2020; pp. 123–140. [Google Scholar]
- Liu, W.; Wang, Z.; Liu, X.; Zeng, N.; Liu, Y.; Alsaadi, F.E. A survey of deep neural network architectures and their applications. Neurocomputing 2017, 234, 11–26. [Google Scholar] [CrossRef]
- Quinonero-Candela, J.; Rasmussen, C.E. A unifying view of sparse approximate Gaussian process regression. J. Mach. Learn. Res. 2005, 6, 1939–1959. [Google Scholar]
- Schulz, E.; Speekenbrink, M.; Krause, A. A tutorial on Gaussian process regression: Modelling, exploring, and exploiting functions. J. Math. Psychol. 2018, 85, 1–16. [Google Scholar] [CrossRef]
- Le Roux, N.; Bengio, Y. Representational power of restricted Boltzmann machines and deep belief networks. Neural Comput. 2008, 20, 1631–1649. [Google Scholar] [CrossRef]
- Kuremoto, T.; Kimura, S.; Kobayashi, K.; Obayashi, M. Time series forecasting using a deep belief network with restricted Boltzmann machines. Neurocomputing 2014, 137, 47–56. [Google Scholar] [CrossRef]
- Sawada, K.; Kimura, K.; Abe, F.; Taniuchi, Y.; Sekido, K.; Nojima, T.; Ohba, T.; Kushima, H.; Miyazaki, H.; Hongo, H. Catalog of NIMS creep data sheets. Sci. Technol. Adv. Mater. 2019, 20, 1131–1149. [Google Scholar] [CrossRef]

















| Chemical Formula | T/°C | σ/MPa | Chemical Composition (wt.%) | lg(t) | ||||||||||
|---|---|---|---|---|---|---|---|---|---|---|---|---|---|---|
| C | Si | Mn | P | S | Ni | Cr | Mo | Cu | Al | N | ||||
| 5Cr-0.5Mo | 550 | 88 | 0.1 | 0.27 | 0.45 | 0.014 | 0.006 | 0 | 4.31 | 0.59 | 0.1 | 0.002 | 0.0164 | 3.526080692 |
| 550 | 64 | 0.1 | 0.27 | 0.45 | 0.014 | 0.006 | 0 | 4.31 | 0.59 | 0.1 | 0.002 | 0.0164 | 4.424718337 | |
| 600 | 98 | 0.1 | 0.27 | 0.45 | 0.014 | 0.006 | 0 | 4.31 | 0.59 | 0.1 | 0.002 | 0.0164 | 1.886490725 | |
| 600 | 69 | 0.1 | 0.27 | 0.45 | 0.014 | 0.006 | 0 | 4.31 | 0.59 | 0.1 | 0.002 | 0.0164 | 2.752816431 | |
| 1Cr-0.5Mo | 450 | 422 | 0.14 | 0.25 | 0.57 | 0.011 | 0.009 | 0.15 | 0.96 | 0.53 | 0.14 | 0.005 | 0.0098 | 2.256958153 |
| 450 | 412 | 0.14 | 0.25 | 0.57 | 0.011 | 0.009 | 0.15 | 0.96 | 0.53 | 0.14 | 0.005 | 0.0098 | 2.682686478 | |
| 650 | 41 | 0.14 | 0.25 | 0.55 | 0.012 | 0.011 | 0.14 | 0.91 | 0.54 | 0.14 | 0.017 | 0.0098 | 2.831741834 | |
| 650 | 29 | 0.14 | 0.25 | 0.55 | 0.012 | 0.011 | 0.14 | 0.91 | 0.54 | 0.14 | 0.017 | 0.0098 | 3.530814194 | |
| Model | Cubic Term (a3) | Quadratic Term (a2) | First Power Term (a1) | Constant Term (a0) | Goodness of Fit |
|---|---|---|---|---|---|
| L-M | 0.73077384 | −8.78500953 | 34.21754956 | −41.28994736 | 0.98204 |
| M-S | 0.00475337475 | −0.389710496 | 10.4841186 | −90.7454929 | 0.98763 |
| G-D | 0.0031320327 | 0.213718871 | 4.70693983 | 35.0563393 | 0.97758 |
| M-H | −73854.1678 | −871.449158 | 78.5190039 | 2.7753578 | 0.97617 |
| The Category of the Model | Model | R-Squared | RMSE | MAPE |
|---|---|---|---|---|
| Time-temperature parametric models | L-M | 0.89915 | 0.26079 | 0.05516 |
| M-S | 0.81604 | 0.36274 | 0.08812 | |
| G-D | 0.82924 | 0.34949 | 0.07380 | |
| M-H | −0.00229 | 0.82213 | 0.19542 | |
| Machine learning models | PSO-BPNN | 0.83987 | 0.32860 | 0.08606 |
| GA-BPNN | 0.87129 | 0.29462 | 0.07819 | |
| RBFNN | 0.65821 | 0.48009 | 0.13802 | |
| RF | 0.42197 | 0.62433 | 0.17128 | |
| SVR | 0.73761 | 0.42065 | 0.11426 | |
| DNN | 0.72609 | 0.42978 | 0.10071 | |
| GPR | 0.86998 | 0.29611 | 0.07653 | |
| DBN | 0.72438 | 0.43112 | 0.11329 | |
| Composite models | L-M + PSO-BPNN | 0.98855 | 0.08786 | 0.02033 |
| L-M + GA-BPNN | 0.97715 | 0.12413 | 0.03246 | |
| L-M + RBFNN | 0.95364 | 0.17682 | 0.04506 | |
| L-M + RF | 0.98608 | 0.09688 | 0.02512 | |
| L-M + SVR | 0.97179 | 0.13793 | 0.03308 | |
| L-M + DNN | 0.97902 | 0.11895 | 0.02249 | |
| L-M + GPR | 0.96317 | 0.15759 | 0.03465 | |
| L-M + DBN | 0.97797 | 0.12189 | 0.02823 | |
| M-S + PSO-BPNN | 0.71748 | 0.43648 | 0.11446 | |
| M-S + GA-BPNN | 0.80245 | 0.36499 | 0.09021 | |
| M-S + RBFNN | 0.90821 | 0.24880 | 0.06756 | |
| M-S + RF | 0.83555 | 0.33301 | 0.08134 | |
| M-S + SVR | 0.81723 | 0.35107 | 0.08621 | |
| M-S + DNN | 0.81055 | 0.35743 | 0.10176 | |
| M-S + GPR | 0.81342 | 0.35471 | 0.08910 | |
| M-S + DBN | 0.92224 | 0.22899 | 0.05187 | |
| G-D + PSO-BPNN | 0.91711 | 0.23642 | 0.06321 | |
| G-D + GA-BPNN | 0.89371 | 0.26772 | 0.07017 | |
| G-D + RBFNN | 0.96582 | 0.15182 | 0.03663 | |
| G-D + RF | 0.96735 | 0.14838 | 0.03966 | |
| G-D + SVR | 0.96902 | 0.14453 | 0.03223 | |
| G-D + DNN | 0.78624 | 0.37967 | 0.08100 | |
| G-D + GPR | 0.77820 | 0.38675 | 0.09104 | |
| G-D + DBN | 0.97352 | 0.13364 | 0.03737 | |
| M-H + PSO-BPNN | 0.15121 | 0.75656 | 0.19010 | |
| M-H + GA-BPNN | 0.19909 | 0.73491 | 0.17209 | |
| M-H + RBFNN | 0.56002 | 0.54470 | 0.12729 | |
| M-H + RF | 0.27659 | 0.69845 | 0.14541 | |
| M-H + SVR | 0.47376 | 0.59571 | 0.15259 | |
| M-H + DNN | 0.32738 | 0.67349 | 0.16517 | |
| M-H + GPR | 0.23094 | 0.72015 | 0.15742 | |
| M-H + DBN | 0.33878 | 0.66775 | 0.15937 |
Disclaimer/Publisher’s Note: The statements, opinions and data contained in all publications are solely those of the individual author(s) and contributor(s) and not of MDPI and/or the editor(s). MDPI and/or the editor(s) disclaim responsibility for any injury to people or property resulting from any ideas, methods, instructions or products referred to in the content. |
© 2023 by the authors. Licensee MDPI, Basel, Switzerland. This article is an open access article distributed under the terms and conditions of the Creative Commons Attribution (CC BY) license (https://creativecommons.org/licenses/by/4.0/).
Share and Cite
Zhang, X.; Yao, J.; Wu, Y.; Liu, X.; Wang, C.; Liu, H. A Method for Predicting the Creep Rupture Life of Small-Sample Materials Based on Parametric Models and Machine Learning Models. Materials 2023, 16, 6804. https://doi.org/10.3390/ma16206804
Zhang X, Yao J, Wu Y, Liu X, Wang C, Liu H. A Method for Predicting the Creep Rupture Life of Small-Sample Materials Based on Parametric Models and Machine Learning Models. Materials. 2023; 16(20):6804. https://doi.org/10.3390/ma16206804
Chicago/Turabian StyleZhang, Xu, Jianyao Yao, Yulin Wu, Xuyang Liu, Changyin Wang, and Hao Liu. 2023. "A Method for Predicting the Creep Rupture Life of Small-Sample Materials Based on Parametric Models and Machine Learning Models" Materials 16, no. 20: 6804. https://doi.org/10.3390/ma16206804
APA StyleZhang, X., Yao, J., Wu, Y., Liu, X., Wang, C., & Liu, H. (2023). A Method for Predicting the Creep Rupture Life of Small-Sample Materials Based on Parametric Models and Machine Learning Models. Materials, 16(20), 6804. https://doi.org/10.3390/ma16206804
