A Study to Improve the Reliability of High-Strength Concrete Strength Evaluation Using an Ultrasonic Velocity Method
Abstract
:1. Introduction
2. Materials and Methods
2.1. Experimental Plan
2.2. Materials
2.3. Mix Proportion
2.4. Preparation of Specimens
2.5. Experimental Investigation
2.5.1. Heating Method
2.5.2. Test Method
3. Results and Discussion
3.1. Mechanical Properties of Concrete
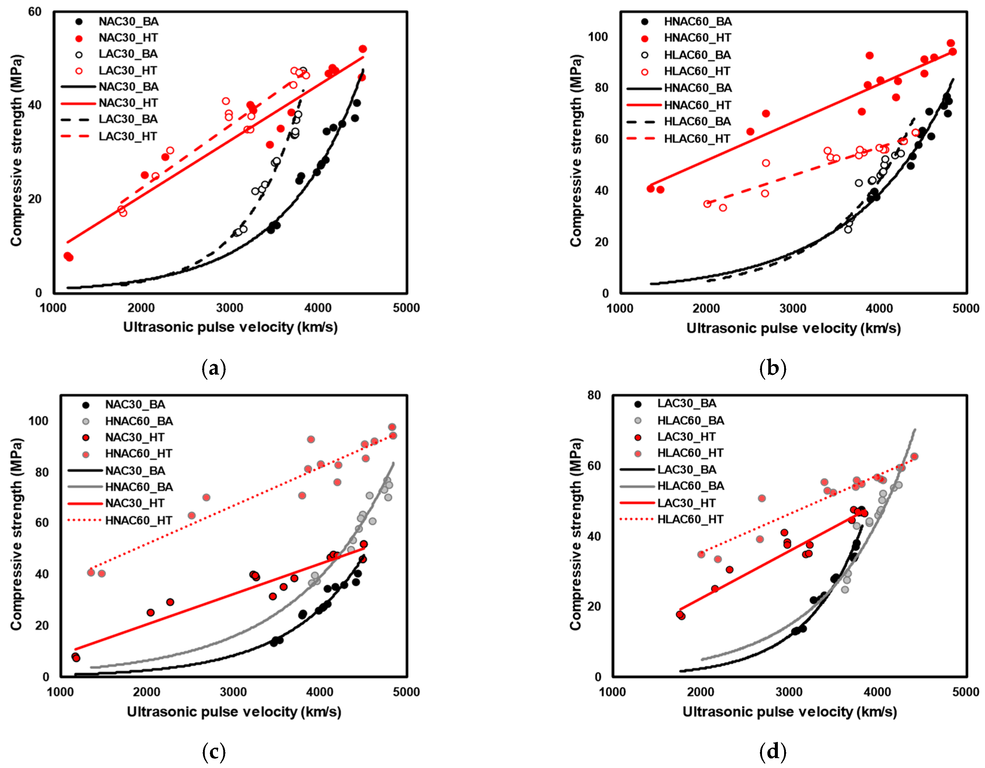
3.1.1. Compressive Strength
3.1.2. Ultrasonic Pulse Velocity
3.1.3. Relative Compressive Strength and UPV
3.2. Statistical Analysis
3.2.1. Statistical Hypothesis Test
3.2.2. Regression Analysis
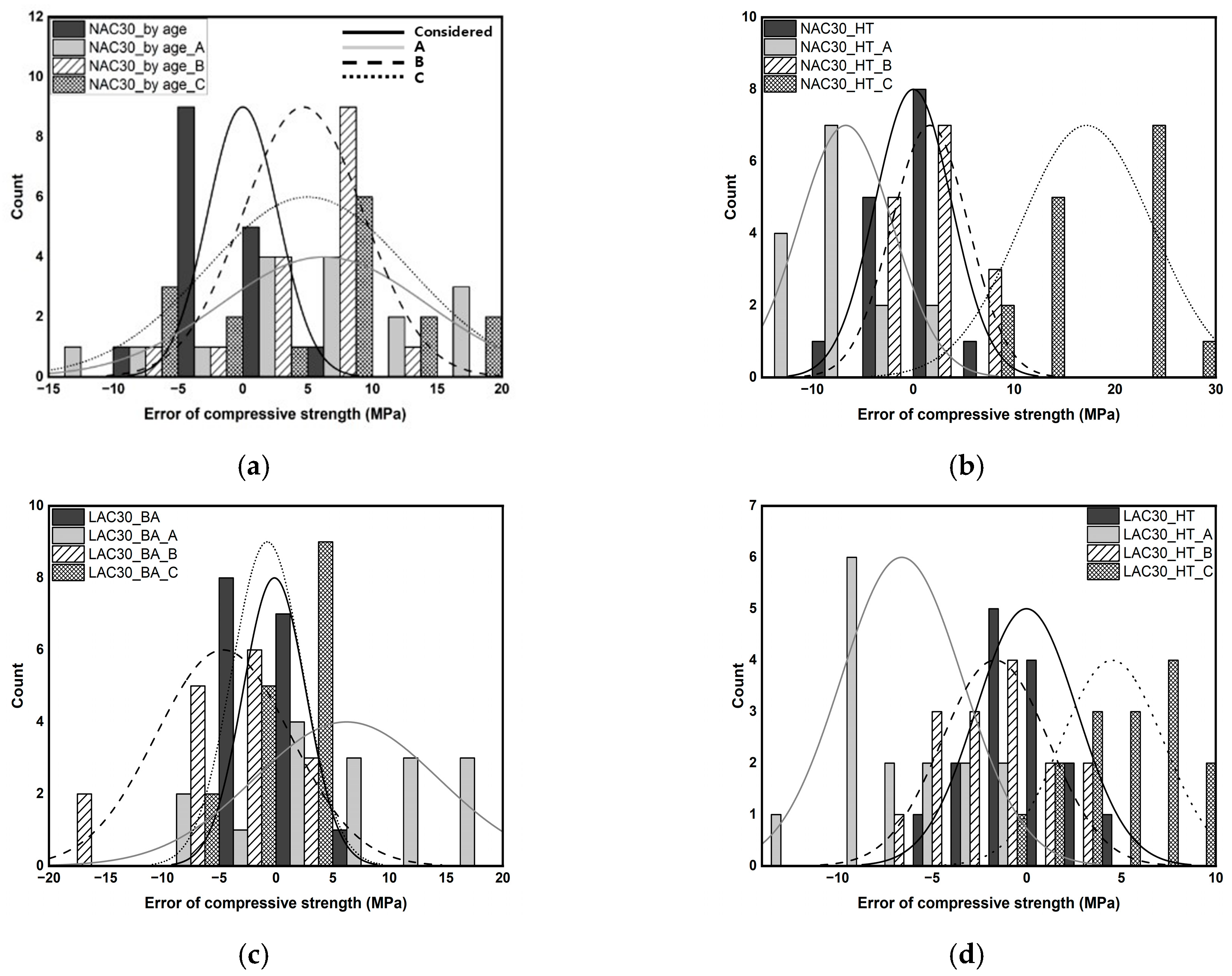
3.3. Prediction Model and Microscopic Analysis
4. Conclusions
- The residual compressive strength of the concrete after high-temperature exposure tended to be in range 9.53–24.82%, higher than the compressive strength of the aged concrete. The higher compressive strength of the concrete after high-temperature exposure compared to the age-specific compressive strength is attributed to insufficient formation of hydration products and strength expression. This is because the formation of cracks and voids reduced the strength, while the formation of hydration products and strength development converged to some extent.
- The UPV of the aged concrete tended to be 29.87–66.22% higher than the residual UPV displayed after the high-temperature exposure of the concrete. The UPV reduced by the formation of cracks and voids is believed to be more sensitive to the severely degraded matrix structure of the concrete exposed to high temperature.
- The significance test results suggested that the compressive strength and UPV were significantly different owing to high-temperature exposure, aggregate density, and design compressive strength. In particular, consideration of the set factors is critical for evaluating the mechanical properties of HNAC and HLAC.
- The regression analysis results showed a very low R2 when the age-specific and temperature-specific data of the concrete were not separated. The error test result showed that the average error converged to almost zero when the compressive-strength prediction model considered all the factors set in this study.
- When SEM analysis was performed based on the same compressive strength in the compressive-strength prediction model for concrete by age and after high temperature, the difference in UPV increased in the lower compressive strength range. This appears to be due to the effect of severe cracks and voids that occur in concrete after high temperature, which resulted in a very low UPV compared to the compressive-strength prediction model for concrete by age.
Author Contributions
Funding
Institutional Review Board Statement
Informed Consent Statement
Data Availability Statement
Conflicts of Interest
References
- Baehaki; Andi, M.; Yohanes, G.R. Experimental study of crack depth measurement of concrete with ultrasonic pulse velocity (UPV). IOP Conf. Ser. Mater. Sci. Eng. 2019, 673, 012047. [Google Scholar] [CrossRef]
- Wiciak, P.; Cascante, G.; Polak, M.A. Sensor and Dimensions Effects in Ultrasonic Pulse Velocity Measurements in Mortar Specimens. Procedia Eng. 2017, 193, 409–416. [Google Scholar] [CrossRef]
- Kim, S.-D.; Shin, D.-H.; Lim, L.-M.; Lee, J.; Kim, S.-H. Designed strength identification of concrete by ultrasonic signal processing based on artificial intelligence techniques. IEEE Trans. Ultrason. Ferroelectr. Freq. Control. 2005, 52, 1145–1151. [Google Scholar] [CrossRef]
- Vu, C.-C.; Weiss, J.; Plé, O.; Amitrano, D.; Vandembroucq, D. Revisiting statistical size effects on compressive failure of heterogeneous materials, with a special focus on concrete. J. Mech. Phys. Solids 2018, 121, 47–70. [Google Scholar] [CrossRef]
- Bonamy, D.; Bouchaud, E. Failure of heterogeneous materials: A dynamic phase transition? Phys. Rep. 2011, 498, 1–44. [Google Scholar] [CrossRef]
- Architectural Institute of Japan. Japanese Architectural Standard Specification (JASS 5); Architectural Institute of Japan: Tokyo, Japan, 2009. [Google Scholar]
- Pyszniak, J. Method of concrete strength control, in prefabricated slabs, by ultrasound. Build. Sci. 1968, 2, 331–335. [Google Scholar] [CrossRef]
- Kim, M.H.; Choi, S.J.; Kim, Y.R.; Jang, J.H.; Kim, J.H.; Yoon, J.K. A Study on the Proposal of Strength Presumption Equation and Evaluation of Practical Application of High Strength Concrete by Non-Destructive Test. J. Archit. Inst. Korea 2004, 20, 55–62. [Google Scholar]
- Lee, T.; Lee, J.; Choi, H. Assessment of Strength Development at Hardened Stage on High-Strength Concrete Using NDT. Appl. Sci. 2020, 10, 6261. [Google Scholar] [CrossRef]
- Kumar, N.V.S.; Ram, K.S. Performance of Concrete at Elevated Temperatures Made with Crushed Rock Dust as Filler Material. Mater. Today Proc. 2019, 18, 2270–2278. [Google Scholar] [CrossRef]
- Saha, A.K.; Sarker, P.K.; Majhi, S. Effect of elevated temperatures on concrete incorporating ferronickel slag as fine aggregate. Fire Mater. 2018, 43, 8–21. [Google Scholar] [CrossRef]
- Islam, M.Z.; Sohel, K.M.; Al-Jabri, K.; Al Harthy, A. Properties of concrete with ferrochrome slag as a fine aggregate at elevated temperatures. Case Stud. Constr. Mater. 2021, 15, e00599. [Google Scholar] [CrossRef]
- Dolinar, U.; Trtnik, G.; Turk, G.; Hozjan, T. The feasibility of estimation of mechanical properties of limestone concrete after fire using nondestructive methods. Constr. Build. Mater. 2019, 228, 116786. [Google Scholar] [CrossRef]
- Zhang, Y.; Aslani, F. Compressive strength prediction models of lightweight aggregate concretes using ultrasonic pulse velocity. Constr. Build. Mater. 2021, 292, 123419. [Google Scholar] [CrossRef]
- Khan, K.; Amin, M.N.; Sahar, U.U.; Ahmad, W.; Shah, K.; Mohamed, A. Machine learning techniques to evaluate the ultrasonic pulse velocity of hybrid fiber-reinforced concrete modified with nano-silica. Front. Mater. 2022, 9, 1098304. [Google Scholar] [CrossRef]
- Tenza-Abril, A.; Villacampa, Y.; Solak, A.; Baeza-Brotons, F. Prediction and sensitivity analysis of compressive strength in segregated lightweight concrete based on artificial neural network using ultrasonic pulse velocity. Constr. Build. Mater. 2018, 189, 1173–1183. [Google Scholar] [CrossRef]
- Hertz, K.D. Concrete strength for fire safety design. Mag. Concr. Res. 2005, 57, 445–453. [Google Scholar] [CrossRef]
- Arioz, O. Retained properties of concrete exposed to high temperatures: Size effect. Fire Mater. 2009, 33, 211–222. [Google Scholar] [CrossRef]
- Hager, I. Behaviour of cement concrete at high temperature. Bull. Pol. Acad. Sci. Tech. Sci. 2013, 61, 145–154. [Google Scholar] [CrossRef]
- Zhang, Q.; Ye, G. Dehydration kinetics of Portland cement paste at high temperature. J. Therm. Anal. Calorim. 2012, 110, 153–158. [Google Scholar] [CrossRef]
- Song, H.; Chu, Y.S.; Lee, J.K. High Temperature Properties of Alkali Activated Light-weight Finishing Materials Using Light-weight Aggregate. J. Inst. Constr. Environ. Chungwoon Univ. 2012, 7, 182–189. [Google Scholar]
- Alonso, C.; Fernandez, L. Dehydration and rehydration processes of cement paste exposed to high temperature environments. J. Mater. Sci. 2004, 39, 3015–3024. [Google Scholar] [CrossRef]
- Ghannam, M. Proposed models for concrete thermal expansion with different aggregate types and saturation conditions. SN Appl. Sci. 2019, 1, 425. [Google Scholar] [CrossRef]
- Uygunoğlu, T.; Topçu, I.B. Thermal expansion of self-consolidating normal and lightweight aggregate concrete at elevated temperature. Constr. Build. Mater. 2009, 23, 3063–3069. [Google Scholar] [CrossRef]
- ASTM C873/C873M; Standard Test Method for Compressive Strength of Concrete Cylinders Cast in Place in Cylindrical Molds. American Society of Testing and Materials (ASTM): West Conshohocken, PA, USA, 2015; pp. 1–4.
- ASTM C39/C39; Standard Test Method for Compressive Strength of Cylindrical Concrete Specimens. American Society of Testing and Materials (ASTM): West Conshohocken, PA, USA, 2018; pp. 1–8.
- ASTM C597-16; Standard Test Method for Pulse Velocity through Concrete. American Society of Testing and Materials (ASTM): West Conshohocken, PA, USA, 2016; pp. 1–4.
- Ali, Z.; Bhaskar, S.B. Basic statistical tools in research and data analysis. Indian J. Anaesth. 2016, 60, 662–669. [Google Scholar] [CrossRef] [PubMed]
- Vargas, P.; Restrepo-Baena, O.; Tobón, J.I. Microstructural analysis of interfacial transition zone (ITZ) and its impact on the compressive strength of lightweight concretes. Constr. Build. Mater. 2017, 137, 381–389. [Google Scholar] [CrossRef]
- Hossain, K.M.A. Properties of volcanic pumice based cement and lightweight concrete. Cem. Concr. Res. 2004, 34, 283–291. [Google Scholar] [CrossRef]
- Kumar, S.; Kapoor, K.; Singh, S.; Singh, P.; Sharma, V. A review on the properties of natural and recycled coarse aggregates concrete made with different coal ashes. Clean. Mater. 2022, 5, 100109. [Google Scholar] [CrossRef]
- Lo, T.Y.; Cui, H.; Tang, W.; Leung, W. The effect of aggregate absorption on pore area at interfacial zone of lightweight concrete. Constr. Build. Mater. 2008, 22, 623–628. [Google Scholar] [CrossRef]
- Andiç-Çakır, Ö.; Hızal, S. Influence of elevated temperatures on the mechanical properties and microstructure of self consolidating lightweight aggregate concrete. Constr. Build. Mater. 2012, 34, 575–583. [Google Scholar] [CrossRef]
- Kim, W.; Jeong, K.; Choi, H.; Lee, T. Correlation Analysis of Ultrasonic Pulse Velocity and Mechanical Properties of Normal Aggregate and Lightweight Aggregate Concretes in 30–60 MPa Range. Materials 2022, 15, 2952. [Google Scholar] [CrossRef]
- Yao, W.; Pang, J.; Liu, Y. Performance Degradation and Microscopic Analysis of Lightweight Aggregate Concrete after Exposure to High Temperature. Materials 2020, 13, 1566. [Google Scholar] [CrossRef] [PubMed]
- Roufael, G.; Beaucour, A.-L.; Eslami, J.; Hoxha, D.; Noumowé, A. Influence of lightweight aggregates on the physical and mechanical residual properties of concrete subjected to high temperatures. Constr. Build. Mater. 2021, 268, 121221. [Google Scholar] [CrossRef]
- Torić, N.; Boko, I.; Juradin, S.; Baloević, G. Mechanical properties of lightweight concrete after fire exposure. Struct. Concr. 2016, 17, 1071–1081. [Google Scholar] [CrossRef]
- Lee, T.; Jeong, K.; Choi, H. Effect of Thermal Properties of Aggregates on the Mechanical Properties of High Strength Concrete under Loading and High Temperature Conditions. Materials 2021, 14, 6093. [Google Scholar] [CrossRef]
- Zhang, J.; Shen, Y.; Yang, G.; Zhang, H.; Wang, Y.; Hou, X.; Sun, Q.; Li, G. Inconsistency of changes in uniaxial compressive strength and P-wave velocity of sandstone after temperature treatments. J. Rock Mech. Geotech. Eng. 2021, 13, 143–153. [Google Scholar] [CrossRef]
- Lieber, R.L. Statistical significance and statistical power in hypothesis testing. J. Orthop. Res. 1990, 8, 304–309. [Google Scholar] [CrossRef] [PubMed]
- Rao, S.K.; Sravana, P.; Rao, T.C. Experimental studies in Ultrasonic Pulse Velocity of roller compacted concrete pavement containing fly ash and M-sand. Int. J. Pavement Res. Technol. 2016, 9, 289–301. [Google Scholar] [CrossRef]
- Abed, M.; de Brito, J. Evaluation of high-performance self-compacting concrete using alternative materials and exposed to elevated temperatures by non-destructive testing. J. Build. Eng. 2020, 32, 101720. [Google Scholar] [CrossRef]
- Balgourinejad, N.; Haghighifar, M.; Madandoust, R.; Charkhtab, S. Experimental study on mechanical properties, microstructural of lightweight concrete incorporating polypropylene fibers and metakaolin at high temperatures. J. Mater. Res. Technol. 2022, 18, 5238–5256. [Google Scholar] [CrossRef]
- Mello, L.C.d.A.; dos Anjos, M.A.S.; de Sá, M.V.V.A.; de Souza, N.S.L.; de Farias, E.C. Effect of high temperatures on self-compacting concrete with high levels of sugarcane bagasse ash and metakaolin. Constr. Build. Mater. 2020, 248, 118715. [Google Scholar] [CrossRef]
- Zhu, Q.; Yuan, Y.-X.; Chen, J.-H.; Fan, L.; Yang, H. Research on the high-temperature resistance of recycled aggregate concrete with iron tailing sand. Constr. Build. Mater. 2022, 327, 126889. [Google Scholar] [CrossRef]
- Nadeem, A.; Memon, S.A.; Lo, T.Y. The performance of Fly ash and Metakaolin concrete at elevated temperatures. Constr. Build. Mater. 2014, 62, 67–76. [Google Scholar] [CrossRef]
- Mehdipour, S.; Nikbin, I.; Dezhampanah, S.; Mohebbi, R.; Moghadam, H.; Charkhtab, S.; Moradi, A. Mechanical properties, durability and environmental evaluation of rubberized concrete incorporating steel fiber and metakaolin at elevated temperatures. J. Clean. Prod. 2020, 254, 120126. [Google Scholar] [CrossRef]
- Mohammadhosseini, H.; Yatim, J.M. Microstructure and residual properties of green concrete composites incorporating waste carpet fibers and palm oil fuel ash at elevated temperatures. J. Clean. Prod. 2017, 144, 8–21. [Google Scholar] [CrossRef]
- Saridemir, M.; Severcan, M.; Ciflikli, M.; Celikten, S.; Ozcan, F.; Atis, C. The influence of elevated temperature on strength and microstructure of high strength concrete containing ground pumice and metakaolin. Constr. Build. Mater. 2016, 124, 244–257. [Google Scholar] [CrossRef]















| Temperature (°C) | Properties |
|---|---|
| 30–200 | Expansion and evaporation for physically bound water |
| 80–130 | Dehydration of calcium silicate hydrate (C-S-H) |
| 250–270 | Dehydration of ettringite (C3A3CSH32) |
| 50–300 | Dehydration of monosulfate (C3ACSH12) Three stages of dehydration (50–150 °C, 200 °C, and 300 °C) |
| 450–550 | Decomposition of calcium hydroxide (CaO) Ca(OH)2 → CaO + H2O |
| 570 | Phase change of quartz (aggregate) |
| 600–900 | Decomposition of calcium carbonate (CaCO3) |
| 1100–1200 | Melting of concrete |
| Item | Details |
|---|---|
| Types of concrete | NAC (normal-aggregate concrete) LAC (lightweight-aggregate concrete) |
| Design compressive strength | 30 MPa (normal-strength concrete) 60 MPa (high-strength concrete) |
| Curing age | 1, 3, 7, 28, 56, 91 days |
| Heating temperature | 100, 200, 300, 500, 700 °C |
| Mechanical properties | Compressive strength UPV (ultrasonic pulse velocity) |
| Statistical analysis | F-test, t-test, regression analysis, error test |
| Item | Details | |
|---|---|---|
| Cement | ASTM Type-I ordinary Portland cement Density: 3150 kg/m3; fineness: 320 m2/kg | |
| Coarse aggregate | Granite aggregate Density: 2680 kg/m3; fineness modulus: 7.03; absorption: 0.68%; Sizemax: 20 mm | |
| Coal-ash aggregate Density: 1470 kg/m3; fineness modulus: 6.39; absorption: 8.68%; Sizemax: 20 mm | ||
| Fine aggregate | River sand Density: 2540 kg/m3; fineness modulus: 2.54; absorption: 1.60% | |
| Super plasticizer (SP) | Polycarboxylic-based super plasticizer | |
| Chemical composition (%) | CaO | 60.30 |
| SiO2 | 19.80 | |
| Al2O3 | 4.90 | |
| Fe2O3 | 3.30 | |
| MgO | 3.80 | |
| SO3 | 2.90 | |
| K2O | 1.10 | |
| Others | 0.90 | |
| L.O.I. | 3.00 | |
| Mix ID | Ratio | Unit Weight (kg/m3) | |||||
|---|---|---|---|---|---|---|---|
| w/c | S/a | Water | Cement | River Sand | Granite Aggregate | Coal-Ash Aggregate | |
| NAC30 | 0.41 | 0.46 | 165 | 400 | 799 | 938 | - |
| LAC30 | 0.41 | 0.46 | 400 | 799 | - | 530 | |
| HANC60 | 0.28 | 0.43 | 600 | 676 | 896 | - | |
| HLAC60 | 0.28 | 0.43 | 600 | 676 | - | 507 | |
| Item | Standards and Methods |
|---|---|
| Compressive Strength | ASTM C39/C39M |
| UPV | ASTMC597-16 |
| F-test | Equal-variance test of two groups |
| t-test | Compare the means of the two groups |
| Regression analysis | Determine the effect of an independent variable on a dependent variable |
| Error test | Comparison of experimental and predicted values |
| Classification | ID | Compressive Strength | UPV | ||
|---|---|---|---|---|---|
| Mean | Standard Deviation | Mean | Standard Deviation | ||
| Normal strength | NAC30_BA | 29.93 | 11.08 | 4032.88 | 348.50 |
| NAC30_HT | 35.40 | 13.56 | 3236.30 | 1101.62 | |
| LAC30_BA | 28.69 | 10.83 | 3514.00 | 262.65 | |
| LAC30_HT | 36.26 | 10.06 | 3032.67 | 724.15 | |
| High strength | HNAC60_BA | 63.43 | 18.06 | 4490.63 | 320.83 |
| HNAC60_HT | 77.22 | 17.86 | 3684.73 | 1145.63 | |
| HLAC60_BA | 46.35 | 11.28 | 4004.19 | 238.14 | |
| HLAC60_HT | 51.40 | 8.72 | 3466.20 | 746.92 | |
| Classification | Groups | Mechanical Properties | F-Test (p-Value) | t-Test (p-Value) |
|---|---|---|---|---|
| Significance test of mechanical properties by age and after high temperature | NAC30_BA and NAC30_HT | Compressive strength | 0.224 | 0.227 |
| UPV | <0.050 | <0.050 | ||
| LAC30_BA and LAC30_HT | Compressive strength | 0.394 | 0.053 | |
| UPV | <0.050 | <0.050 | ||
| HNAC60_BA and HNAC60_HT | Compressive strength | 0.48516 | <0.050 | |
| UPV | <0.050 | <0.050 | ||
| HLAC60_BA and HLAC60_HT | Compressive strength | 0.172 | 0.176 | |
| UPV | <0.050 | <0.050 | ||
| Significance test of mechanical properties according to aggregate density | NAC30_BA and LAC30_BA | Compressive strength | 0.465 | 0.751 |
| UPV | 0.142 | <0.050 | ||
| HNAC60_BA and HLAC60_BA | Compressive strength | 0.039 | <0.050 | |
| UPV | 0.130 | <0.050 | ||
| NAC30_HT and LAC30_HT | Compressive strength | 0.138 | 0.846 | |
| UPV | 0.064 | 0.554 | ||
| HNAC60_HT and HLAC60_HT | Compressive strength | <0.050 | <0.050 | |
| UPV | 0.061 | 0.541 | ||
| Significance test of mechanical properties according to the design strength | NAC30_BA and HNAC60_BA | Compressive strength | <0.050 | <0.050 |
| UPV | 0.376 | <0.050 | ||
| LAC30_BA and HLAC60_BA | Compressive strength | 0.438 | <0.050 | |
| UPV | 0.355 | <0.050 | ||
| NAC30_HT and HNAC60_HT | Compressive strength | 0.157 | <0.050 | |
| UPV | 0.443 | 0.284 | ||
| LAC30_HT and HLAC60_HT | Compressive strength | 0.300 | <0.050 | |
| UPV | 0.455 | 0.118 |
| Classification | ID | Pearsons’s R2 | R2 |
|---|---|---|---|
| Not considering high temperature and room temperature | NAC30 | 0.671 | 0.450 |
| LAC30 | 0.579 | 0.335 | |
| HNAC60 | 0.513 | 0.263 | |
| HLAC60 | 0.557 | 0.310 | |
| Not considering density of coarse aggregate | 30_BA | 0.757 | 0.573 |
| 30_HT | 0.949 | 0.900 | |
| 60_BA | 0.937 | 0.879 | |
| 60_HT | 0.758 | 0.574 | |
| Not considering the design compressive strength | NAC_BA | 0.919 | 0.844 |
| LAC_BA | 0.973 | 0.947 | |
| NAC_HT | 0.712 | 0.507 | |
| LAC_HT | 0.884 | 0.782 |
| ID | a | b | c | Pearson’s R2 | R2 |
|---|---|---|---|---|---|
| NAC30_BA | 2.59750 | −15.05774 | 0.00007 | - | 0.940 |
| NAC30_HT | 0.01181 | −2.82703 | - | 0.960 | 0.921 |
| LAC30_BA | 0.09397 | 0.76061 | 0.00160 | - | 0.934 |
| LAC30_HT | 0.01340 | −4.36475 | - | 0.964 | 0.930 |
| HNAC60_BA | 0.00024 | 35.49031 | 0.00254 | - | 0.882 |
| HNAC60_HT | 0.01484 | 22.55900 | - | 0.951 | 0.906 |
| HLAC60_BA | 0.55290 | −0.34598 | 0.00110 | - | 0.871 |
| HLAC60_HT | 0.01096 | 13.39931 | - | 0.939 | 0.881 |
| ID | Means | Standard Deviation | ID | Means | Standard Deviation |
|---|---|---|---|---|---|
| NAC30_BA | −0.001 | 2.722 | NAC30_HT | 0.010 | 3.797 |
| NAC30_BA_A | 6.269 | 7.975 | NAC30_HT_A | −6.686 | 4.642 |
| NAC30_BA_B | 4.667 | 4.653 | NAC30_HT_B | 1.651 | 3.809 |
| NAC30_BA_C | 5.016 | 7.777 | NAC30_HT_C | 17.175 | 6.543 |
| LAC30_BA | −0.127 | 2.776 | LAC30_HT | −0.012 | 2.671 |
| LAC30_BA_A | 6.223 | 8.125 | LAC30_HT_A | −6.605 | 3.217 |
| LAC30_BA_B | −4.643 | 5.918 | LAC30_HT_B | −1.666 | 2.836 |
| LAC30_BA_C | −0.757 | 3.110 | LAC30_HT_C | 4.516 | 2.717 |
| HNAC60_BA | −0.397 | 6.211 | HNAC60_HT | −0.017 | 5.472 |
| HNAC60_BA_A | 10.856 | 14.962 | HNAC60_HT_A | −11.557 | 7.246 |
| HNAC60_BA_B | 1.974 | 7.539 | HNAC60_HT_B | −11.265 | 5.480 |
| HNAC60_BA_C | −5.004 | 7.018 | HNAC60_HT_C | −17.178 | 5.854 |
| HLAC60_BA | 0.001 | 3.967 | HLAC60_HT | 0.010 | 3.007 |
| HLAC60_BA_A | 4.918 | 9.110 | HLAC60_HT_A | −5.243 | 3.200 |
| HLAC60_BA_B | −1.997 | 2.926 | HLAC60_HT_B | 11.262 | 4.307 |
| HLAC60_BA_C | 0.780 | 3.272 | HLAC60_HT_C | −4.518 | 3.803 |
Disclaimer/Publisher’s Note: The statements, opinions and data contained in all publications are solely those of the individual author(s) and contributor(s) and not of MDPI and/or the editor(s). MDPI and/or the editor(s) disclaim responsibility for any injury to people or property resulting from any ideas, methods, instructions or products referred to in the content. |
© 2023 by the authors. Licensee MDPI, Basel, Switzerland. This article is an open access article distributed under the terms and conditions of the Creative Commons Attribution (CC BY) license (https://creativecommons.org/licenses/by/4.0/).
Share and Cite
Kim, W.; Lee, T. A Study to Improve the Reliability of High-Strength Concrete Strength Evaluation Using an Ultrasonic Velocity Method. Materials 2023, 16, 6800. https://doi.org/10.3390/ma16206800
Kim W, Lee T. A Study to Improve the Reliability of High-Strength Concrete Strength Evaluation Using an Ultrasonic Velocity Method. Materials. 2023; 16(20):6800. https://doi.org/10.3390/ma16206800
Chicago/Turabian StyleKim, Wonchang, and Taegyu Lee. 2023. "A Study to Improve the Reliability of High-Strength Concrete Strength Evaluation Using an Ultrasonic Velocity Method" Materials 16, no. 20: 6800. https://doi.org/10.3390/ma16206800
APA StyleKim, W., & Lee, T. (2023). A Study to Improve the Reliability of High-Strength Concrete Strength Evaluation Using an Ultrasonic Velocity Method. Materials, 16(20), 6800. https://doi.org/10.3390/ma16206800

