Effect of TiO2 on Pd/La2O3-CeO2-Al2O3 Systems during Catalytic Oxidation of Methane in the Presence of H2O and SO2
Abstract
:1. Introduction
2. Materials and Methods
2.1. Catalysts Synthesis
2.2. Characterization Techniques
2.3. Catalytic Tests
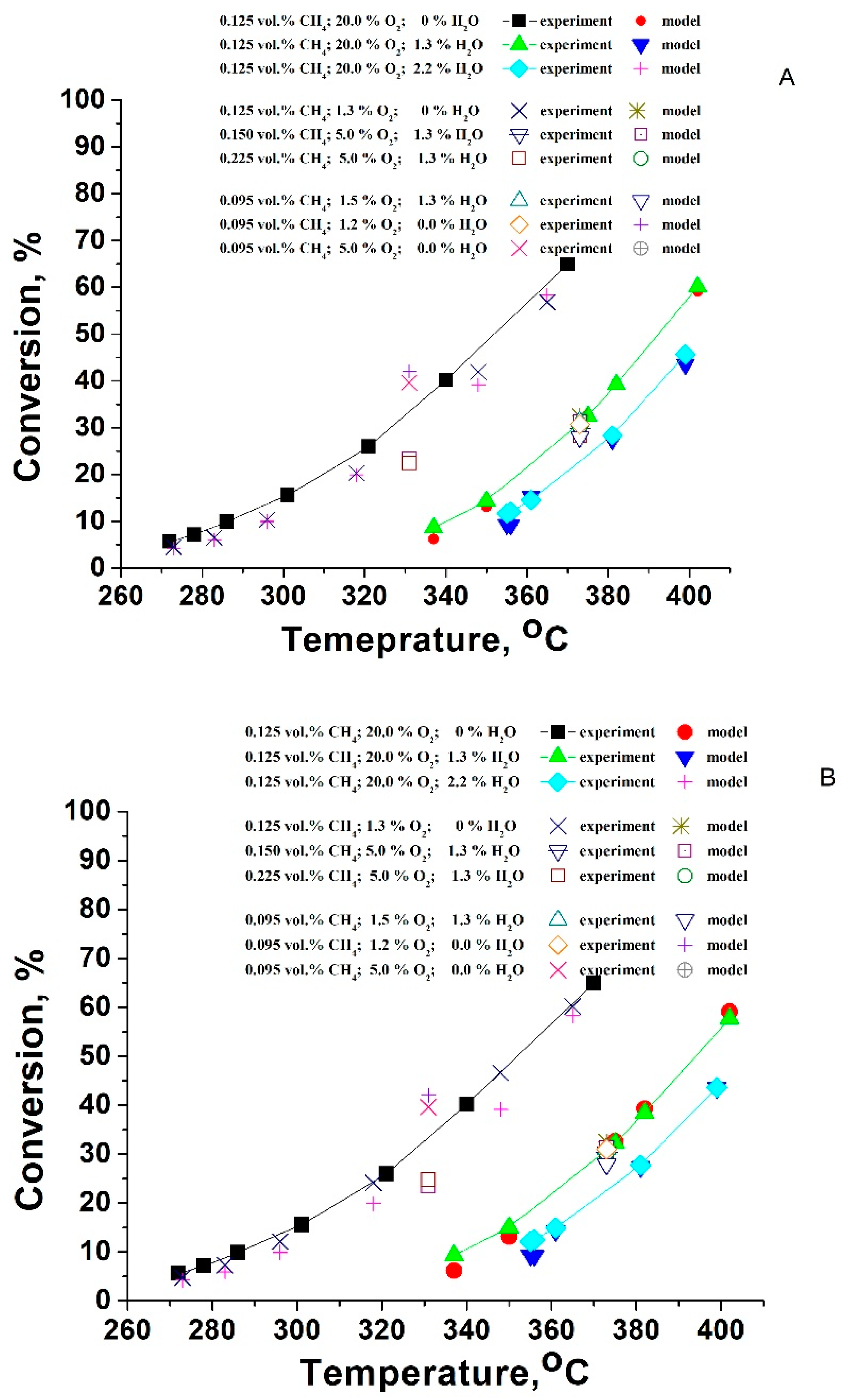
3. Results and Discussion
3.1. Catalytic Experiments
3.2. Low-Temperature Nitrogen Adsorption
3.3. Powder X-ray Diffraction
3.4. Scanning Electron Microscopy
3.5. Transmission Electron Microscopy
3.6. X-ray Photoelectron Spectroscopy
3.7. Electron Paramagnetic Resonance
3.8. FTIR Spectroscopy
3.9. Reaction Kinetics
3.10. Monolithic Reactor Tests and Modeling
4. Conclusions
Supplementary Materials
Author Contributions
Funding
Institutional Review Board Statement
Informed Consent Statement
Data Availability Statement
Acknowledgments
Conflicts of Interest
References
- Amoatey, P.; Izady, A.; Al-Maktoumi, A.; Chen, M.; Al-Harthy, I.; Al-Jabri, K.; Msagati, T.A.; Nkambule, T.T.; Baawain, M.S. A critical review of environmental and public health impacts from the activities of evaporation ponds. Sci. Total Environ. 2021, 796, 149065. [Google Scholar] [CrossRef]
- Moumen, A.; Azizi, G.; Chekroun, K.; Baghour, M. The effects of livestock methane emission on the global warming: A review. Int. J. Glob. Warm. 2016, 9, 229–253. [Google Scholar] [CrossRef]
- Getabalew, M.; Alemneh, T.; Akeberegn, D. Methane Production in Ruminant Animals: Implication for Their Impact on Climate Change. Concepts Dairy Vet. Sci. 2019, 2, 204–211. [Google Scholar] [CrossRef]
- Arendt, E.; Maione, A.; Klisinska, A.; Sanz, O.; Montes, M.; Suarez, S.; Blanco, J.; Ruiz, P. Structuration of LaMnO3 perovskite catalysts on ceramic and metallic monoliths: Physico-chemical characterisation and catalytic activity in methane combustion. Appl. Catal. A Gen. 2008, 339, 1–14. [Google Scholar] [CrossRef]
- Barrera, A.; Fuentes, S.; Dнaz, G.; Gymez-Cortes, A.; Tzompantzi, F.; Molina, J.C. Methane oxidation over Pd catalysts supported on binary Al2O3–La2O3 oxides prepared by the sol–gel method. Fuel 2012, 93, 136–141. [Google Scholar] [CrossRef]
- Zhang, B.; Li, D.; Wang, X. Catalytic performance of La–Ce–O mixed oxide for combustion of methane. Catal. Today 2010, 158, 348–353. [Google Scholar] [CrossRef]
- Persson, K.; Jansson, K.; Järås, S. Characterisation and microstructure of Pd and bimetallic Pd–Pt catalysts during methane oxidation. J. Catal. 2007, 245, 401–414. [Google Scholar] [CrossRef]
- Guo, Y.; Lu, G.; Zhang, Z.; Jiang, L.; Wang, X.; Li, S.; Zhang, B.; Niu, J. Effects of ZrO2/Al2O3 properties on the catalytic activity of Pd catalysts for methane combustion and CO oxidation. Catal. Today 2007, 126, 441–448. [Google Scholar] [CrossRef]
- Xiao, L.; Sun, K.; Xu, X. Catalytic combustion of methane over CeO2–MOx(M = La3+, Ca2+) Solid Solution Promoted Pd/c-Al2O3 Catalysts. Acta Phys.–Chim. Sin. 2008, 24, 2108–2113. [Google Scholar] [CrossRef]
- Tao, J.; Liu, Y.; Deng, J.; Jing, L.; Hou, Z.; Wei, L.; Wang, Z.; Dai, H. Methane combustion over zeolite-supported palladium-based catalysts. Catalysts 2023, 13, 1251. [Google Scholar] [CrossRef]
- Baohua, Y.; Renxian, Z.; Yuejuan, W.; Xiaoming, Z. Effect of rare earths (La, Pr, Nd, Sm, and Y) on the methane combustion over Pd/Ce–Zr/Al2O3 catalysts. Appl. Catal. A Gen. 2005, 295, 31–39. [Google Scholar] [CrossRef]
- Arai, H.; Fukuzawa, H. Research and development on high temperature catalytic combustion. Catal. Today 1995, 26, 217–221. [Google Scholar] [CrossRef]
- Furuya, T.; Sasaki, K.; Hanakata, Y.; Ohhashi, T.; Yamada, M.; Tsuchiya, T.; Furuse, Y. Development of a hybrid catalytic combustor for a 1300 °C class gas turbine. Catal. Today 1995, 26, 345–350. [Google Scholar] [CrossRef]
- Ozawa, Y.; Tochihara, Y.; Watanabe, A.; Nagai, M.; Omi, S. Stabilizing effect of Nd2O3, La2O3 and ZrO2 on Pt•PdO/Al2O3 during catalytic combustion of methane. Appl. Catal. A Gen. 2004, 258, 261–267. [Google Scholar] [CrossRef]
- Velinova, R.; Todorova, S.; Drenchev, B.; Ivanov, G.; Shipochka, M.; Markov, P.; Nihtianova, D.; Kovacheva, D.; Larine, A.V.; Naydenov, A. Complex study of the activity, stability and sulphur resistance of Pd/La2O3- CeO2-Al2O3 system as a monolithic catalyst for abatement of methane. Chem. Eng. J. 2019, 368, 865–876. [Google Scholar] [CrossRef]
- Forzatti, P. Present status and perspectives in de-NOx SCR catalysis. Appl. Catal. A Gen. 2001, 222, 221–236. [Google Scholar] [CrossRef]
- Kanno, Y.; Hihara, T.; Watanabe, T.; Katoh, K. Low Sulfate Generation Diesel Oxidation Catalyst; SAE Technical Paper; 2004-01-1427; SAE International: Warrendale, PA, USA, 2004. [Google Scholar] [CrossRef]
- Hirata, H.; Hachisuka, I.; Ikeda, Y.; Tsuji, S.; Matsumoto, S.I. NOx storage-reduction three-way catalyst with improved sulfur tolerance. Top. Catal. 2001, 16, 145–149. [Google Scholar] [CrossRef]
- Satterfield, C.N. Heterogeneous Catalysis in Industrial Practice, 2nd ed.; McGraw-Hill: New York, NY, USA, 1991. [Google Scholar]
- Giraudon, J.M.; Nguyen, T.B.; Leclercq, G.; Siffer, S.; Lamonier, J.F.; Aboukais, A.; Vantomme, A.; Su, B.L. Chlorobenzene total oxidation over palladium supported on ZrO2, TiO2 nanostructured supports. Catal. Today 2008, 137, 379–384. [Google Scholar] [CrossRef]
- Kawahara, T.; Konishi, Y.; Tada, H.; Tohge, N.; Nishii, J.; Ito, S. A patterned TiO2(anatase)/TiO2(rutile) bilayer-type photocatalyst: Effect of the anatase/rutile junction on the photocatalytic activity. Angew. Chem. 2002, 114, 2935–2937. [Google Scholar] [CrossRef]
- Diebold, U. The surface science of titanium dioxide. Surf. Sci. Rep. 2003, 48, 53–229. [Google Scholar] [CrossRef]
- Rui, Z.; Wu, S.; Peng, C.; Ji, H. Comparison of TiO2 Degussa P25 with anatase and rutile crystalline phases for methane combustion. Chem. Eng. J. 2014, 243, 254–264. [Google Scholar] [CrossRef]
- Di Carlo, G.; Melaet, G.; Kruse, N.; Liotta, F.L.; Pantaleoc, G.; Veneziac, M.A. Combined sulfating and non-sulfating support to prevent water and sulfur poisoning of Pd catalysts for methane combustion. Chem. Commun. 2010, 46, 6317–6319. [Google Scholar] [CrossRef] [PubMed]
- Pecchi, G.; Morales, M.; Reyes, P. Pt/SiO2 catalysts obtained by the sol-gel method. Influence of the pH of gelation on the surface and catalytic properties. React. Kinet. Catal. Lett. 1997, 61, 237–244. [Google Scholar] [CrossRef]
- Pecchi, G.; Reyes, P.; López, T.; Gómez, R.; Moreno, A.; Fierro, J.L.G.; Martínez-Arias, A. Catalytic Combustion of methane on fe-tio2 catalysts prepared by sol-gel method. J. Solgel. Sci. Technol. 2003, 27, 205–214. [Google Scholar] [CrossRef]
- Yoldas, B.E. Alumina gels that form porous transparent Al2O3. J. Mater. Sci. 1975, 10, 1856–1860. [Google Scholar] [CrossRef]
- Gomez-Serrano, V.; Gonzalez-Garcia, C.; Gonzalez-Martın, M. Nitrogen adsorption isotherms on carbonaceous materials, Comparison of BET and Langmuir surface areas. Powder Technol. 2001, 116, 103–108. [Google Scholar] [CrossRef]
- Barrett, E.P.; Joyner, L.G.; Halenda, P.P. The determination of pore volume and area distributions in porous substances. I. Computations from nitrogen isotherms. J. Am. Chem. Soc. 1951, 73, 373–380. [Google Scholar] [CrossRef]
- Galarneau, A.; Villemot, F.; Rodriguez, J.; Fajula, F.; Coasne, B. Validity of the t-plot method to assess microporosity in hierarchical micro/mesoporous materials. Langmuir 2014, 30, 13266–13274. [Google Scholar] [CrossRef]
- Rosmini, C.; Tsoncheva, T.; Kovatcheva, D.; Velinov, N.; Kolev, H.; Karashanova, D.; Dimitrov, M.; Tsyntsarski, B.; Sebastián, D.; Jesús Lázaro, M. Mesoporous Ce–Fe–Ni nanocomposites encapsulated in carbon-nanofibers: Synthesis, characterization and catalytic behavior in oxygen evolution reaction. Carbon 2022, 196, 186–202. [Google Scholar] [CrossRef]
- Gregg, S.J.; Sing, K.S.W. Adsorption, Surface Area, and Porosity; Academia Press: London, UK, 1991; pp. 111–194. [Google Scholar]
- Levenspiel, J. Chemical Reaction Engineering, 2nd ed.; Wiley: New York, NY, USA, 1972; p. 496. [Google Scholar]
- Lyubovsky, M.; Pfefferle, L.; Datye, A.; Bravo, J.; Nelson, T. TEM study of the microstructural modifications of an alumina-supported palladium combustion catalyst. J. Catal. 1999, 187, 275–284. [Google Scholar] [CrossRef]
- Wenge, L.; Deyong, G.; Xin, X. Research progress of palladium catalysts for methane combustion. China Petrol. Proc. Petrochem. Technol. Rev. 2012, 14, 1–9. [Google Scholar]
- Todorova, S.; Naydenov, A.; Velinova, R.; Kolev, H.; Larin, A.V.; Stoyanova, D.; Shopska, M.; Tenchev, K.; Stefanov, P. Pd–MeOx/Al2O3 (Me=Co, La, Ce) catalysts for methane combustion. Reac. Kineti. Mech. Catal. 2019, 126, 663–678. [Google Scholar] [CrossRef]
- Stefanov, P.; Todorova, S.; Naydenov, A.; Tzaneva, B.; Kolev, H.; Atanasova, G.; Stoyanova, D.; Karakirova, Y.; Aleksieva, K. On the development of active and stable Pd–Co/γ-Al2O3 catalyst for complete oxidation of methane. Chem. Eng. J. 2015, 266, 329–338. [Google Scholar] [CrossRef]
- Tyuliev, G.; Panayotov, D.; Avramova, I.; Stoichev, D.; Marinova, T. Thin-film coating of Cu-Co oxide catalyst on lanthana/zirconia films electrodeposited on stainless steel. Mat. Sci. Eng. C 2003, 23, 117–121. [Google Scholar] [CrossRef]
- Burroughs, P.; Hamnett, A.; Orchard, A.F.; Thornton, G. Satellite structure in the X-ray photoelectron spectra of some binary and mixed oxides of lanthanum and cerium. J. Chem. Soc. Dalton Trans. 1976, 17, 1686–1698. [Google Scholar] [CrossRef]
- Matolín, V.; Cabala, M.; Cháb, V.; Matolínová, I.; Prince, K.C.; Škoda, M.; Šutara, F.; Skála, T.; Veltruská, K. A resonant photoelectron spectroscopy study of Sn(Ox) doped CeO2 catalysts. Surf. Interf. Anal. 2008, 40, 225–230. [Google Scholar] [CrossRef]
- Smirnov, M.; Kalinkin, A.V.; Pashis, A.V.; Prosvirin, I.P.; Bukhtiyarov, V.I. Interaction of SO2 with Pt model supported catalysts studied by XPS. J. Phys. Chem. C 2014, 118, 22120–22135. [Google Scholar] [CrossRef]
- Moulder, J.F.; Stickle, W.F.; Sobol, P.E.; Bomben, K.D.M. Handbook of X-ray Photoelectron Spectroscopy; Perkin-Elmer Corporation: Eden Prairie, MN, USA, 1992. [Google Scholar]
- Michalik, J.; Narayana, M.; Kevan, L. Studies of the interaction of Pd3+ and Pd+ with organic adsorbates, water, and molecular oxygen in Pd-Ca-X zeolites by ESR and Electron-spin echo modulation spectroscopy. J. Phys. Chem. 1985, 89, 4553–45601. [Google Scholar] [CrossRef]
- Gamarra, D.; López Cámara, A.; Monte, M.; Rasmussen, S.B.; Chinchilla, L.E.; Hungría, A.B.; Munuera, G.; Gyorffy, N.; Schay, Z.; Cortés Corberán, V.; et al. Preferential oxidation of CO in excess H2 over CuO/CeO2 catalysts: Characterization and performance as a function of the exposed face present in the CeO2 support. Appl. Catal. B Environ. 2013, 130–131, 224–238. [Google Scholar] [CrossRef]
- Cybula, A.; Priebe, J.B.; Pohl, M.-M.; Sobczak, J.W.; Schneider, M.; Zielinska-Jurek, A.; Brückner, A.; Zaleska, A. The effect of calcination temperature on structure and photocatalytic properties of Au/Pd nanoparticles supported on TiO2. Appl. Catal. B Environ. 2014, 152–153, 202–211. [Google Scholar] [CrossRef]
- Xiong, L.-B.; Li, J.-L.; Yang, B.; Yu, Y. Ti3+ in the surface of titanium dioxide: Generation, properties and photocatalytic application. J. Nanomater. 2012, 2012, 831524. [Google Scholar] [CrossRef]
- Abragam, A.; Bleaney, B. Book: Electron Paramagnetic Resonance of Transition Metals; Clarendon Press: Oxford, UK, 1970; p. 222. [Google Scholar]
- Luo, T.; Gorte, R.J. Characterization of SO2-poisoned ceria-zirconia mixed oxides. Appl. Catal. B 2004, 53, 77–85. [Google Scholar] [CrossRef]
- Schoonheydt, R.A.; Lunsford, J.H. Infrared spectroscopic investigation of the adsorption and reactions of SO2 on MgO. J. Catal. 1972, 26, 261–271. [Google Scholar] [CrossRef]
- Trura, M.J.; Regull, P.; Victorit, L.; Dolors de Castellar, M. XPS and IR (ATR) analysis of Pd oxide films obtained by electrochemical methods. Surf Interface Anal. 1988, 11, 4477449. [Google Scholar] [CrossRef]
- Kliche, G. Far-infrared reflection spectra of PdO, PdS, PdSe and PtS. Infrared Phys. 1985, 25, 381–383. [Google Scholar] [CrossRef]
- Todorova, S.; Naydenov, A.; Kolev, H.; Holgado, J.P.; Ivanov, G.; Kadinov, G.; Caballero, A. Mechanism of complete n-hexane oxidation on silica supported cobalt and manganese catalysts. Appl. Catal. A Gen. 2012, 413–414, 43–51. [Google Scholar] [CrossRef]
- Markova-Velichkova, M.; Lazarova, T.; Tumbalev, V.; Ivanov, G.; Kovacheva, D.; Stefanov, P.; Naydenov, A. Complete oxidation of hydrocarbons on YFeO3 and LaFeO3 catalysts. Chem. Eng. J. 2013, 231, 236–244. [Google Scholar] [CrossRef]
- Honkanen, M.; Kärkkäinen, M.; Kolli, T.; Heikkinen, O.; Viitanen, V.; Zeng, L.; Jiang, H.; Kallinen, K.; Huuhtanen, M.; Keiski, R.L.; et al. Accelerated deactivation studies of the natural-gas oxidation catalyst–verifying the roleof sulfur and elevated temperature in catalyst aging. Appl. Catal. B Environ. 2016, 182, 439–448. [Google Scholar] [CrossRef]
- Bartholomew, C.H. Mechanisms of catalyst deactivation. Appl. Catal. A Gen. 2001, 212, 17–60. [Google Scholar] [CrossRef]
- Neyestanaki, A.K.; Klingstedt, F.; Salmi, T.; Murzin, D.Y. Deactivation of postcombustion catalysts, a review. Fuel 2004, 83, 395–408. [Google Scholar] [CrossRef]
- Carp, O.; Huisman, C.L.; Reller, A. Photoinduced reactivity of titanium dioxide. Prog. Solid State Chem. 2004, 21, 33–177. [Google Scholar] [CrossRef]
- Hirano, M.; Nakahara, N.; Ota, K.; Tanaike, O.; Inagaki, N. Photoactivity and phase stability of ZrO2-doped anatase-type TiO2 directly formed as nanometer-sized particles by hydrolysis under hydrothermal conditions. J. Solid State Chem. 2003, 170, 39–47. [Google Scholar] [CrossRef]
- Kim, J.; Song, K.C.; Foncillas, S. Pratsinis S Dopants for synthesis of stable bimodally porous titania. J. Eur. Ceram. Soc. 2001, 21, 2863–2872. [Google Scholar] [CrossRef]
- Gouma, P.I.; Mills, M.J. Anatase-to-rutile transformation in titania powders. J. Am. Ceram. Soc. 2001, 84, 619–622. [Google Scholar] [CrossRef]
- Hyoung, G.L.; Zuo, J.M. Growth and phase transformation of nanometer-sized titanium oxide powders produced by the precipitation method. J. Am. Ceram. Soc. 2004, 87, 473–479. [Google Scholar] [CrossRef]
- Zhang, Q.; Gao, L.; Guo, J. Effects of calcination on the photocatalytic properties of nanosized TiO2 powders prepared by TiCl4 hydrolysis. Appl. Catal. B 2000, 26, 207–215. [Google Scholar] [CrossRef]
- Zhang, Z.; Wang, C.; Zakaria, R.; Ying, J. Role of Particle Size in Nanocrystalline TiO2-Based Photocatalysts. J. Phys. Chem. B 1998, 102, 10871–10878. [Google Scholar] [CrossRef]
- Suzana, M.; Francisco, P.; Mastelaro, V.R. Inhibition of the anatase−rutile phase transformation with addition of CeO2 to CuO−TiO2 system: raman spectroscopy, X-ray diffraction, and textural studies. Chem. Mater. 2002, 14, 2514–2518. [Google Scholar] [CrossRef]
- Bagheri, S.; Shameli, K.; Abd Hamid, S.B. Synthesis and characterization of anatase titanium dioxide nanoparticles using egg white solution via sol-gel method. J. Chem. 2013, 2013, 848205. [Google Scholar] [CrossRef]
- Kominami, H.; Kalo, J.-I.; Takada, Y.; Doushi, Y.; Ohtani, B.; Nishimoto, S.; Inoue, M.; Inui, T.; Kera, Y. Novel synthesis of microcrystalline titanium(IV) oxide having high thermal stability and ultra-high photocatalytic activity: Thermal decomposition of titanium(IV) alkoxide in organic solvents. Catal. Lett. 1997, 46, 235–240. [Google Scholar] [CrossRef]
- Su, S.C.; Carstens, J.N.; Bell, A.T. A study of the dynamics of Pd oxidation and PdO reduction by H2 and CH4. J. Catal. 1998, 176, 125–135. [Google Scholar] [CrossRef]
- Belfiore, L.A. Transport Phenomena for Chemical Reactor Design; John Wiley & Sons, Inc.: Hoboken, NJ, USA, 2003. [Google Scholar]
- Nauman, E.B. Chemical Reactor Design, Optimization, and Scaleup; McGraw-Hill Companies: New York, NY, USA, 2002. [Google Scholar]
- Satterfield, C.N. Mass Transfer in Heterogeneous. Catalysis, Cambridge, Mass; MIT Press: Cambridge, UK, 1970. [Google Scholar]
- Tomašić, V. Application of the monoliths in DeNOx catalysis. Catal. Tod. 2007, 119, 106–113. [Google Scholar] [CrossRef]
- Tomašić, S.; Gomzi, Z. Experimental and theoretical study of NO decomposition in a catalytic monolith reactor. Chem. Engin. Proc. 2004, 43, 765–774. [Google Scholar] [CrossRef]
- Tomašić, V.; Jović, F. State-of-the-art in the monolithic catalysts/reactors. Appl. Catal. Gen. 2006, 311, 112–121. [Google Scholar] [CrossRef]















| Sample | SBET m2/g | Sext m2/g | Smicro m2/g | Vmicro cm3/g | Total Pore Volume cm3/g | Average Pore Diameter nm |
|---|---|---|---|---|---|---|
| La2O3-CeO2-TiO2-Al2O3-support | 210 | 134 | 76 | 0.04 | 0.26 | 4.9 |
| Pd/La2O3-CeO2-TiO2-Al2O3-fresh | 106 | 103 | 3 | 0.02 | 0.19 | 7.4 |
| Pd/La2O3-CeO2-TiO2-Al2O3-used, after sulfur poisoning | 100 | - | - | - | 0.22 | 8.6 |
| Pd/La2O3-CeO2-TiO2-Al2O3-thermally aged | 82 | - | - | - | 0.16 | 8.1 |
| Sample | Phase Composition According to XRD | Phase Composition According to HRTEM | PdO (nm) a | Pd (nm) a | Mean Crystalline Size (nm) b |
|---|---|---|---|---|---|
| La2O3-CeO2-TiO2-Al2O3-support | AlO(OH), γ-Al2O3, | - | - | - | |
| Pd/La2O3-CeO2-TiO2-Al2O3-fresh | AlO(OH), γ-Al2O3, PdO | AlO(OH), γ-Al2O3, PdO, Pd, CeO2, TiO2-anatase | 12 | - | 8 |
| Pd/La2O3-CeO2-TiO2-Al2O3-used, after sulfur poisoning | γ-Al2O3, CeO2,PdO, Pd | AlO(OH), γ-Al2O3, PdO, Pd, CeO2, TiO2-rutile | 11 | 40 | 8 |
| Pd/La2O3-CeO2-TiO2-Al2O3-thermally aged | AlO(OH), γ-Al2O3, PdO | AlO(OH), γ-Al2O3, PdO, Pd, CeO2, TiO2-rutile | 19 | - | 12 |
| Sample | O1s | Al2p | La3d | Ce3d | Pd3d | Ti2p | S2p |
|---|---|---|---|---|---|---|---|
| S2Pd/La2O3-CeO2-TiO2-Al2O3-fresh | 56.48% | 36.14% | 0.53% | 1.45% | 4.15% | 1.24% | - |
| Pd/La2O3-CeO2-TiO2-Al2O3-used, after sulfur poisoning | 58.40% | 31.63% | 0.53% | 1.38% | 6.43% | 1.33% | 0.30% |
| Pd/La2O3-CeO2-TiO2-Al2O3-thermally aged | 60.00% | 30.02% | 0.49% | 1.41% | 6.68% | 1.41% | - |
| PWL | |||||||
| Ea | ko | m (CH4) | n (O2) | p (H2O) | RSS | R2 | |
| Pd/La2O3-CeO2-TiO2-Al2O3 | 108.0 | 3.65 × 109 | 0.94 | 0.02 | −0.33 | 10.6 | 1.00 |
| Model: MVK-SDP, (Water Adsorbs on Oxidized and Reduced Sites, Slow Desorption of Products) = 2 | ||||||||||||
| Ea.ox | ko.ox | Ea.red | ko.red | −ΔHw.ox | ko.water. ox | ΔHw.red | ko.w, red | Ea.des | ko.des | RSS | R2 | |
| Pd/La2O3-CeO2-TiO2-Al2O3 | 124.1 | 4.49 × 1011 | 51.3 | 1.02 × 106 | 94.8 | 3.01 × 10−7 | 74.6 | 1.89 × 10−7 | 95.8 | 1.56 × 108 | 3.8 | 1.00 |
| LH-DS-D: water compete with oxygen and methane | ||||||||||||
| Ea | ko | −ΔHvoc | ko.voc | −ΔHox | ko.ox | ΔHwater | ko.water | ΔHwater.red | ko.water. red | RSS | R2 | |
| Pd/La2O3-CeO2-TiO2-Al2O3 | 136.6 | 6.60 × 1011 | 169.2 | 1.22 × 103 | 77.4 | 5.23 × 10−6 | 79.5 | 7.96 × 10−1 | 75.8 | 8.08 × 10−6 | 4.8 | 0.98 |
Disclaimer/Publisher’s Note: The statements, opinions and data contained in all publications are solely those of the individual author(s) and contributor(s) and not of MDPI and/or the editor(s). MDPI and/or the editor(s) disclaim responsibility for any injury to people or property resulting from any ideas, methods, instructions or products referred to in the content. |
© 2023 by the authors. Licensee MDPI, Basel, Switzerland. This article is an open access article distributed under the terms and conditions of the Creative Commons Attribution (CC BY) license (https://creativecommons.org/licenses/by/4.0/).
Share and Cite
Velinova, R.; Todorova, S.; Kovacheva, D.; Kolev, H.; Karakirova, Y.; Markov, P.; Tumbalova, K.; Ivanov, G.; Naydenov, A. Effect of TiO2 on Pd/La2O3-CeO2-Al2O3 Systems during Catalytic Oxidation of Methane in the Presence of H2O and SO2. Materials 2023, 16, 6784. https://doi.org/10.3390/ma16206784
Velinova R, Todorova S, Kovacheva D, Kolev H, Karakirova Y, Markov P, Tumbalova K, Ivanov G, Naydenov A. Effect of TiO2 on Pd/La2O3-CeO2-Al2O3 Systems during Catalytic Oxidation of Methane in the Presence of H2O and SO2. Materials. 2023; 16(20):6784. https://doi.org/10.3390/ma16206784
Chicago/Turabian StyleVelinova, Ralitsa, Silviya Todorova, Daniela Kovacheva, Hristo Kolev, Yordanka Karakirova, Pavel Markov, Katerina Tumbalova, Georgi Ivanov, and Anton Naydenov. 2023. "Effect of TiO2 on Pd/La2O3-CeO2-Al2O3 Systems during Catalytic Oxidation of Methane in the Presence of H2O and SO2" Materials 16, no. 20: 6784. https://doi.org/10.3390/ma16206784
APA StyleVelinova, R., Todorova, S., Kovacheva, D., Kolev, H., Karakirova, Y., Markov, P., Tumbalova, K., Ivanov, G., & Naydenov, A. (2023). Effect of TiO2 on Pd/La2O3-CeO2-Al2O3 Systems during Catalytic Oxidation of Methane in the Presence of H2O and SO2. Materials, 16(20), 6784. https://doi.org/10.3390/ma16206784

