Effects of an Electric Current on the Superplastic Deformation Behavior of 3Y-TZP in an Oxygen-Lean Atmosphere
Abstract
:1. Introduction
2. Experimental Procedures
3. Results and Discussion
4. Conclusions
- The superplastic deformation of 3Y-TZP was improved by the electric current in an oxygen-lean atmosphere. With the electric current increased, the flow stress during deformation had a significant decrease. And this decreased flow stress resulted from a combined effect of Joule heating and the enhancement of the Zr cation diffusion due to the electric current. The relative contribution of Joule heating indicated that Joule heat had a more significant effect on decreasing the flow stress in a deformation with 5 A.
- Significant grain growth was observed in the deformed specimen with the electric current. And the microstructures of the deformed specimens were all equiaxed grains without an obvious preferential grain growth. The stress exponents n of the deformation with different electric currents at 1400 °C were determined to be n = 2.05~2.61, which suggested that the dominant deformation was grain boundary sliding.
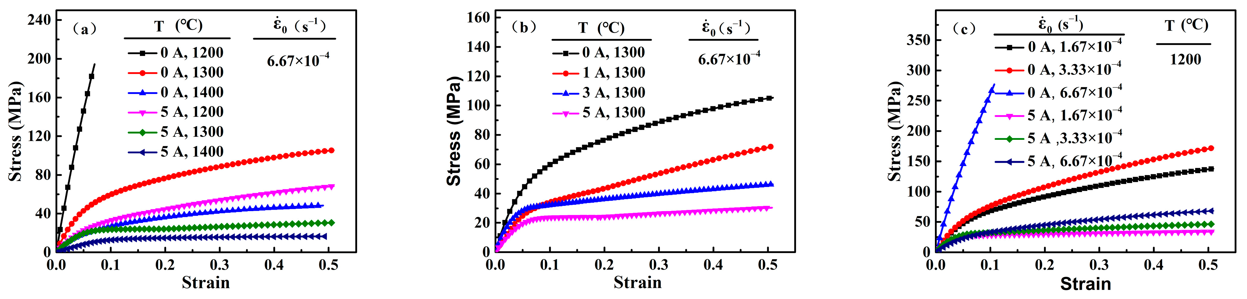
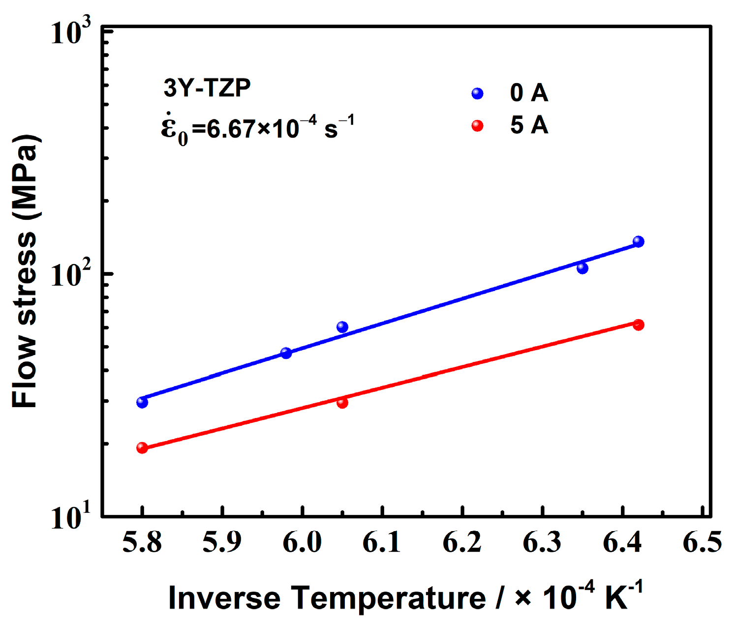
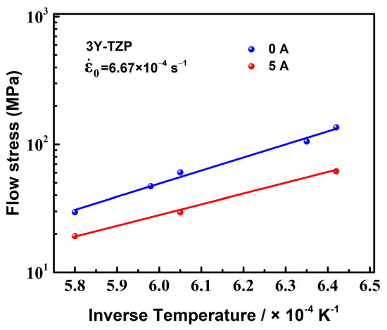
- The apparent activation energies for the deformation with different electric currents were evaluated to be about 315~365 kJ·mol−1, which was significantly lower than without the electric current (465 kJ·mol−1). This decreased apparent activation energy indicated that the cation diffusion was accelerated during the deformation by the electric current, which may result in a transition of the rate-controlling step for the deformation from lattice diffusion to grain boundary diffusion.
Supplementary Materials
Author Contributions
Funding
Institutional Review Board Statement
Informed Consent Statement
Data Availability Statement
Conflicts of Interest
References
- Wakai, F.; Kondo, N.; Shinoda, Y. Ceramics Superplasticity. Curr. Opin. Solid State Mater. Sci. 1999, 4, 461–465. [Google Scholar] [CrossRef]
- Hiraga, K.; Kim, B.-N.; Morita, K.; Yoshida, H.; Suzuki, T.S.; Sakka, Y. High-Strain-Rate Superplasticity in Oxide Ceramics. Sci. Technol. Adv. Mater. 2007, 8, 578–587. [Google Scholar] [CrossRef]
- Nieh, T.G.; Wadsworth, J.; Sherby, O.D. Superplasticity in Metals and Ceramics. In Materials Science Forum; Cambridge University Press: Cambridge, UK, 1997. [Google Scholar] [CrossRef]
- Wakai, F.; Kodama, Y.; Sakaguchi, S.; Murayama, N.; Izaki, K.; Niihara, K. A Superplastic Covalent Crystal Composite. Nature 1990, 344, 421–423. [Google Scholar] [CrossRef]
- Zapata-Solvas, E.; Gómez-García, D.; García-Gañán, C.; Domínguez-Rodríguez, A. High Temperature Creep Behaviour of 4 mol% Yttria Tetragonal Zirconia Polycrystals (4-YTZP) with Grain Sizes between 0.38 and 1.15 μm. J. Eur. Ceram. Soc. 2007, 27, 3325–3329. [Google Scholar] [CrossRef]
- Morita, K.; Hiraga, K.; Kim, B.N. High-Strain-Rate Superplastic Flow in Tetragonal ZrO2 Polycrystal Enhanced by the Dispersion of 30 Vol.% MgAl2O4 Spinel Particles. Acta Mater. 2007, 55, 4517–4526. [Google Scholar] [CrossRef]
- Owen, D.M.; Chokshi, A.H. The High Temperature Mechanical Characteristics of Superplastic 3 Mol% Yttria Stabilized Zirconia. Acta Mater. 1998, 46, 667–679. [Google Scholar] [CrossRef]
- Conrad, H.; Yang, D. Effect of an Alternating Current Electric Field on the Plastic Deformation of Ultrafine-Grained 3Y-TZP at 1400 °C and 1500 °C. Metall. Mater. Trans. A 2008, 39, 272–278. [Google Scholar] [CrossRef]
- Conrad, H.; Yang, D. Effect of DC Electric Field on the Tensile Deformation of Ultrafine-Grained 3Y-TZP at 1450–1600 °C. Acta Mater. 2007, 55, 6789–6797. [Google Scholar] [CrossRef]
- Conrad, H.; Yang, D. Influence of an Applied DC Electric Field on the Plastic Deformation Kinetics of Oxide Ceramics. Philos. Mag. 2010, 90, 1141–1157. [Google Scholar] [CrossRef]
- Yang, D.; Raj, R.; Conrad, H. Enhanced Sintering Rate of Zirconia (3Y mil ZP) Through the Effect of a Weak Dc Electric Field on Grain Growth. J. Am. Ceram. Soc. 2010, 93, 2935–2937. [Google Scholar] [CrossRef]
- Yang, D.; Conrad, H. Influence of an Electric Field on the Superplastic Deformation of 3Y-TZP. Scr. Mater. 1997, 36, 1431–1435. [Google Scholar] [CrossRef]
- Yoshida, H.; Sasaki, Y. Low Temperature and High Strain Rate Superplastic Flow in Structural Ceramics Induced by Strong Electric-Field. Scr. Mater. 2018, 146, 173–177. [Google Scholar] [CrossRef]
- Conrad, H.; Yang, D.; Becher, P. Plastic Deformation of Ultrafine-Grained 2.5Y-TZP Exposed to a Dc Electric Field with an Air Gap. Mater. Sci. Eng. A 2008, 496, 9–13. [Google Scholar] [CrossRef]
- Cologna, M.; Rashkova, B.; Raj, R. Flash Sintering of Nanograin Zirconia in <5 s at 850 °C. J. Am. Ceram. Soc. 2010, 93, 3556–3559. Available online: https://ceramics.onlinelibrary.wiley.com/doi/epdf/10.1111/j.1551-2916.2010.04089.x (accessed on 31 May 2023).
- Francis, J.S.C.; Raj, R. Flash-Sinterforging of Nanograin Zirconia: Field Assisted Sintering and Superplasticity. J. Am. Ceram. Soc. 2012, 95, 138–146. [Google Scholar] [CrossRef]
- Raj, R.; Cologna, M.; Francis, J.S.C. Influence of Externally Imposed and Internally Generated Electrical Fields on Grain Growth, Diffusional Creep, Sintering and Related Phenomena in Ceramics. J. Am. Ceram. Soc. 2011, 94, 1941–1965. [Google Scholar] [CrossRef]
- Motomura, H.; Tamao, D.; Nambu, K.; Masuda, H.; Yoshida, H. Athermal Effect of Flash Event on High-Temperature Plastic Deformation in Y2O3-Stabilized Tetragonal ZrO2 Polycrystal. J. Eur. Ceram. Soc. 2022, 42, 5045–5052. [Google Scholar] [CrossRef]
- Sasaki, Y.; Morita, K.; Yamamoto, T.; Soga, K.; Masuda, H.; Yoshida, H. Electric Current Dependence of Plastic Flow Behavior with Large Tensile Elongation in Tetragonal Zirconia Polycrystal under a DC Field. Scr. Mater. 2021, 194, 113659. [Google Scholar] [CrossRef]
- Zhang, Y.; Luo, J. Promoting the Flash Sintering of ZnO in Reduced Atmospheres to Achieve Nearly Full Densities at Furnace Temperatures of <120 °C. Scr. Mater. 2015, 106, 26–29. [Google Scholar] [CrossRef]
- Hulbert, D.M.; Jiang, D.; Kuntz, J.D.; Kodera, Y.; Mukherjee, A.K. A Low-Temperature High-Strain-Rate Formable Nanocrystalline Superplastic Ceramic. Scr. Mater. 2007, 56, 1103–1106. [Google Scholar] [CrossRef]
- Dong, Y.; Wang, H.; Chen, I.-W. Electrical and Hydrogen Reduction Enhances Kinetics in Doped Zirconia and Ceria: I. Grain Growth Study. J. Am. Ceram. Soc. 2017, 100, 876–886. [Google Scholar] [CrossRef]
- Dong, Y.; Chen, I. Electrical and Hydrogen Reduction Enhances Kinetics in Doped Zirconia and Ceria: II. Mapping Electrode Polarization and Vacancy Condensation in YSZ. J. Am. Ceram. Soc. 2018, 101, 1058–1073. [Google Scholar] [CrossRef]
- Wakai, F.; Nagono, T. The Role of Interface-Controlled Diffusion Creep on Superplasticity of Yttria-Stabilized Tetragonal ZrO2 Polycrystals. J. Mater. Sci. Lett. 1988, 7, 607–609. [Google Scholar] [CrossRef]
- Wakai, F.; Nagano, T. Effects of Solute Ion and Grain Size on Superplasticity of ZrO2 Polycrystals. J. Mater. Sci. 1991, 26, 241–247. [Google Scholar] [CrossRef]
- Jiménez-Melendo, M.; Domínguez-Rodríguez, A.; Holgado-Salado, M. Superplastic Characteristics of High Purity Yttria-Stabilized Zirconia Polycrystals. Int. J. Plast. 2001, 17, 341–352. [Google Scholar] [CrossRef]
- Jiménez-Melendo, M.; Domínguez-Rodríguez, A.; Bravo-León, A. Superplastic Flow of Fine-Grained Yttria-Stabilized Zirconia Polycrystals: Constitutive Equation and Deformation Mechanisms. J. Am. Ceram. Soc. 2005, 81, 2761–2776. [Google Scholar] [CrossRef]
- Morita, K.; Hiraga, K. Critical Assessment of High-Temperature Deformation and Deformed Microstructure in High-Purity Tetragonal Zirconia Containing 3 Mol.% Yttria. Acta Mater. 2002, 50, 1075–1085. [Google Scholar] [CrossRef]
- Bernard-Granger, G.; Addad, A.; Guizard, C. Superplasticity of a Fine-Grained TZ3Y Material Involving Dynamic Grain Growth and Dislocation Motion. J. Am. Ceram. Soc. 2010, 93, 848–856. Available online: https://ceramics.onlinelibrary.wiley.com/doi/full/10.1111/j.1551-2916.2009.03512.x (accessed on 2 October 2023). [CrossRef]
- Wang, K.; Chen, G.; Wang, Q.; Fu, X.; Zhou, W. Unusual Electrode-Dependent Deformation of 3Y-TZP Induced by Weak Electric Current in Oxygen-Lean Atmosphere. Scr. Mater. 2021, 205, 114220. [Google Scholar] [CrossRef]
- Raj, R. Joule Heating during Flash-Sintering. J. Eur. Ceram. Soc. 2012, 32, 2293–2301. [Google Scholar] [CrossRef]
- Ho, C.-J.; Tuan, W.-H. Phase Stability and Microstructure Evolution of Yttria-Stabilized Zirconia during Firing in a Reducing Atmosphere. Ceram. Int. 2011, 37, 1401–1407. [Google Scholar] [CrossRef]
- Biesuz, M.; Pinter, L.; Saunders, T.; Reece, M.; Binner, J.; Sglavo, V.M.; Grasso, S. Investigation of Electrochemical, Optical and Thermal Effects during Flash Sintering of 8YSZ. Materials 2018, 11, 1214. [Google Scholar] [CrossRef]
- Chen, P.L.; Chen, I.W. Role of Defect Interaction in Boundary Mobility and Cation Diffusivity of CeO2. J. Am. Ceram. Soc. 1994, 77, 2289–2297. [Google Scholar] [CrossRef]
- Narayan, J. A New Mechanism for Field-Assisted Processing and Flash Sintering of Materials. Scr. Mater. 2013, 69, 107–111. [Google Scholar] [CrossRef]
- Cáceres, C.H.; Wilkinson, D.S. Large Strain Behaviour of a Superplastic Copper Alloy—I. Deformation. Acta Metall. 1984, 32, 415–422. [Google Scholar] [CrossRef]
- Sakka, Y.; Suzuki, T.S.; Matsumoto, T.; Morita, K.; Hiraga, K.; Moriyoshi, Y. Effect of Titania and Magnesia Addition to 3 Mol% Yttria Doped Tetragonal Zirconia on Some Diffusion Related Phenomena. Solid State Ion. 2004, 172, 499–503. [Google Scholar] [CrossRef]
- Charalambous, H.; Jha, S.K.; Vikrant, K.S.N.; García, R.E.; Phuah, X.L.; Wang, H.; Wang, H.; Mukherjee, A.; Tsakalakos, T. Electric Field-Induced Grain Boundary Degradation Mechanism in Yttria Stabilized Zirconia. Scr. Mater. 2021, 204, 114130. [Google Scholar] [CrossRef]
- Cho, J.; Li, Q.; Wang, H.; Fan, Z.; Li, J.; Xue, S.; Vikrant, K.S.N.; Wang, H.; Holland, T.B.; Mukherjee, A.K.; et al. High Temperature Deformability of Ductile Flash-Sintered Ceramics via in-Situ Compression. Nat. Commun. 2018, 9, 2063. [Google Scholar] [CrossRef]
- Liu, D.; Wang, K.; Zhao, K.; Liu, J.; An, L. Creep Behavior of Zirconia Ceramics under a Strong DC Field. Scr. Mater. 2022, 214, 114654. [Google Scholar] [CrossRef]
- Yoshida, H.; Morita, K.; Kim, B.-N.; Hiraga, K.; Yamamoto, T. Doping Amount and Temperature Dependence of Superplastic Flow in Tetragonal ZrO2 Polycrystal Doped with TiO2 and/or GeO2. Acta Mater. 2009, 57, 3029–3038. [Google Scholar] [CrossRef]
- Charalambous, H.; Jha, S.K.; Okasinski, J.S.; Tsakalakos, T. Generation of Electric-Field Stabilized Zirconium Monoxide Secondary Phase within Cubic Zirconia. Scr. Mater. 2021, 190, 22–26. [Google Scholar] [CrossRef]
- Dong, Y.; Qi, L.; Li, J.; Chen, I.-W. Electron Localization Enhances Cation Diffusion in Reduced ZrO2, CeO2 and BaTiO3. arXiv 2018, arXiv:1808.05198. [Google Scholar]
- Xu, W.; Maksymenko, A.; Hasan, S.; Meléndez, J.J.; Olevsky, E. Effect of External Electric Field on Diffusivity and Flash Sintering of 8ysz: A Molecular Dynamics Study. Acta Mater. 2021, 206, 116596. Available online: https://www.semanticscholar.org/paper/Effect-of-External-Electric-Field-on-Diffusivity-of-Xu-Maksymenko/79775275074271bd952b36675abd9341821e3fe5 (accessed on 2 October 2023). [CrossRef]
- Swaroop, S.; Kilo, M.; Argirusis, C.; Borchardt, G.; Chokshi, A.H. Lattice and Grain Boundary Diffusion of Cations in 3YTZ Analyzed Using SIMS. Acta Mater. 2005, 53, 4975–4985. [Google Scholar] [CrossRef]







Disclaimer/Publisher’s Note: The statements, opinions and data contained in all publications are solely those of the individual author(s) and contributor(s) and not of MDPI and/or the editor(s). MDPI and/or the editor(s) disclaim responsibility for any injury to people or property resulting from any ideas, methods, instructions or products referred to in the content. |
© 2023 by the authors. Licensee MDPI, Basel, Switzerland. This article is an open access article distributed under the terms and conditions of the Creative Commons Attribution (CC BY) license (https://creativecommons.org/licenses/by/4.0/).
Share and Cite
Wang, K.; Zu, Y.; Chen, G.; Fu, X.; Zhou, W. Effects of an Electric Current on the Superplastic Deformation Behavior of 3Y-TZP in an Oxygen-Lean Atmosphere. Materials 2023, 16, 6785. https://doi.org/10.3390/ma16206785
Wang K, Zu Y, Chen G, Fu X, Zhou W. Effects of an Electric Current on the Superplastic Deformation Behavior of 3Y-TZP in an Oxygen-Lean Atmosphere. Materials. 2023; 16(20):6785. https://doi.org/10.3390/ma16206785
Chicago/Turabian StyleWang, Kang, Yufei Zu, Guoqing Chen, Xuesong Fu, and Wenlong Zhou. 2023. "Effects of an Electric Current on the Superplastic Deformation Behavior of 3Y-TZP in an Oxygen-Lean Atmosphere" Materials 16, no. 20: 6785. https://doi.org/10.3390/ma16206785
APA StyleWang, K., Zu, Y., Chen, G., Fu, X., & Zhou, W. (2023). Effects of an Electric Current on the Superplastic Deformation Behavior of 3Y-TZP in an Oxygen-Lean Atmosphere. Materials, 16(20), 6785. https://doi.org/10.3390/ma16206785
