The Impact of Heating Rate on the Kinetics of the Nitriding Process for 52100 Steel
Abstract
:1. Introduction
- Nitriding, carbon-nitriding, oxy-carbon-nitriding, boroning, and oxy-nitriding using glow discharge for the electrical activation of direct currents and pulsed plasma environments;
- Carburizing or nitro-carburizing under reduced pressure, with pulsed carbon or nitrogen-bearing gas injection;
- Gas nitriding and its variations (used to produce wear- and corrosion-resistant layers for steel grades that are difficult to nitride in frictional conditions).
2. Literature Review
3. Research and Methodology
- The first variant centred around increasing the nitriding temperature at the following rates of: 1 °C/min, 2 °C/min, 5 °C/min, and 10 °C/min.
- The second variant relied on the rapid heating up of workpieces—25 °C/min to a temperature of 475 °C, in which the atmospheric nitrogenous potential promoted faster nitrogen diffusion deep into the nitrided substrate with subsequent reheating to nitriding temperature at different rates as follows: 1 °C/min, 2 °C/min, 5 °C/min and 10 °C /min, respectively.
4. Results and Discussion
4.1. Formed Layer Thickness and Composition Investigation
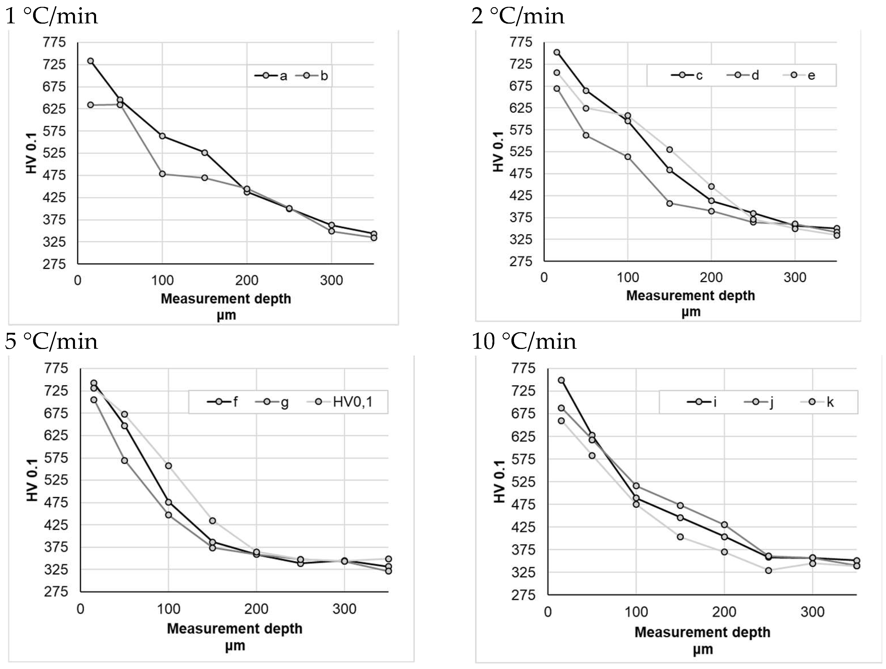
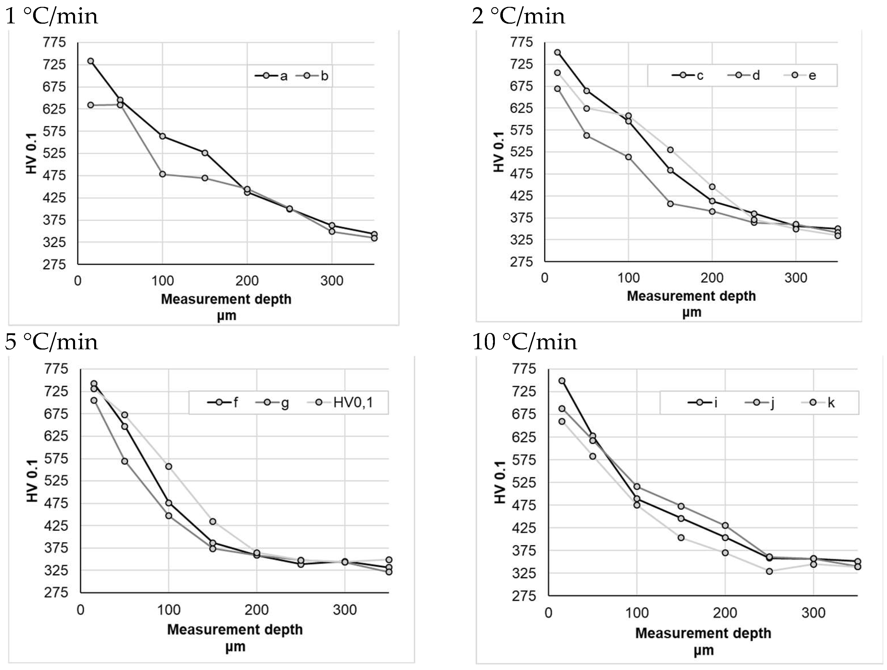
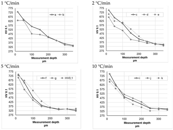
4.2. Sample Hardness Testing following the Nitriding Processes
5. Conclusions
- A heating rate up to 475 °C does not significantly affect sample average mass gain.
- It should be stated that up to a temperature of 475 °C, the nitrided sample average mass gain is small, reaching a value of 0.162 mg at this temperature for all heating rates thereof. Above this temperature (but still within the nitriding temperature range), the extension of time increases sample mass gain. Therefore, it seems to be logical to reduce the sample heating period in the reaction chamber to 475 °C.
- Specified gas precision dosing and optimum heating rate selection (temperature increase rate and electric current consumption; sample mass and heat capacity) should constitute the first step towards process cost limiting. However, it should be mentioned that some studies have shown that despite the better process efficiency (greater sample mass gain per time unit), using double-stage heating contributes to thinner nitrided layers and lower sample hardness in the near-surface layers (especially for lower heating rates).
- The reaction gas composition and the flow rate thereof in individual stages of the process may be indicative of the nitrogenous potential, which seems to be a separate issue. According to Lehrer’s system, this parameter determines individual phase durability areas and, to some extent, affects the kinetics of the entire process.
- Using a modified atmosphere of 190 mL/min NH3 + 10 mL/min H2 in the nitriding process resulted in a slight reduction in nitride layer thickness, whereas the hardness of our obtained samples (with respect to the samples nitrided in 200 mL/min in NH3 atmosphere) varied—within a measurement range of 0 to 200 μm—from + 6% for the heating up variant with a heating rate of 5 °C/min to 9% for the heating up variant with a heating rate of 10 °C/min. For a heating rate of 2 °C/min, the average hardness difference was close to 0. Taking into consideration these results, it is difficult at this stage to explicitly demonstrate the advantages or disadvantages of using such a modified atmosphere. In order to achieve that aim, additional research is required.
Author Contributions
Funding
Institutional Review Board Statement
Data Availability Statement
Conflicts of Interest
References
- Frączek, T. Niekonwencjonalne Niskotemperaturowe Azotowanie Jarzeniowe Materiałów Metalicznych; Wydawnictwo WIPMiFS Politechniki Czestochowskiej: Częstochowa, Poland, 2011; ISBN 9788387745097. [Google Scholar]
- Wang, J.; Zhang, G.; Sun, J.; Bao, Y.; Zhuang, L.; Wen, H. Low Temperature Nitriding of Medium Carbon Steel. Vacuum 2006, 80, 855–859. [Google Scholar] [CrossRef]
- Mittemeijer, E.J. Fundamentals of Nitriding and Nitrocarburizing. In Steel Heat Treating Fundamentals and Processes; ASM International: Almere, The Netherlands, 2013; pp. 619–646. [Google Scholar]
- Shen, H.; Wang, L. Mechanism and Properties of Plasma Nitriding AISI 420 Stainless Steel at Low Temperature and Anodic (Ground) Potential. Surf. Coat. Technol. 2020, 403, 126390. [Google Scholar] [CrossRef]
- Xie, W.; Chen, Y.; Chen, D.; Yang, Y.; Zhang, C.; Cui, G.; Wang, Y. Low-Pressure Gas Nitriding of AISI 304 Austenitic Stainless Steel: Reducing the Precipitation of Chromium Nitrides. Mater. Res. Express 2020, 7, 066406. [Google Scholar] [CrossRef]
- Allen, C.; Li, C.; Bell, T.; Sun, Y. The Effect of Fretting on the Fatigue Behaviour of Plasma Nitrided Stainless Steels. Wear 2003, 254, 1106–1112. [Google Scholar] [CrossRef]
- Pellizzari, M.; Molinari, A.; Straffelini, G. Thermal Fatigue Resistance of Gas and Plasma Nitrided 41CrAlMo7 Steel. Mater. Sci. Eng. A 2003, 352, 186–194. [Google Scholar] [CrossRef]
- Sun, J.; Tong, W.P.; Zhang, H.; Du, X.D.; Wu, Y.C. Enhanced Strength and Plasticity of Gas Nitrided Iron by Surface Mechanical Attrition Pretreatment. Surf. Coat. Technol. 2016, 286, 279–284. [Google Scholar] [CrossRef]
- Roliński, E. Effect of Plasma Nitriding Temperature on Surface Properties of Austenitic Stainless Steel. Surf. Eng. 1987, 3, 35–40. [Google Scholar] [CrossRef]
- Kulka, M.; Panfil, D.; Michalski, J.; Wach, P. The Effects of Laser Surface Modification on the Microstructure and Properties of Gas-Nitrided 42CrMo4 Steel. Opt. Laser Technol. 2016, 82, 203–219. [Google Scholar] [CrossRef]
- Du, H.; Lange, N.; Ågren, J. Formation of Compound Layers on Iron during Gas Nitriding. Surf. Eng. 1995, 11, 301–307. [Google Scholar] [CrossRef]
- Jentzsch, W.-D.; Böhmer, S. Investigations on Nitride Layer Formation at the Iron Surface during Gas Nitriding. Krist. Und Tech. 1979, 14, 617–624. [Google Scholar] [CrossRef]
- Chen, Y.; Liu, C.; Yan, H.; Fan, Y.; Wang, J.; Cui, Y. Effect of Gas Nitriding on 316 L Stainless Steel Lattice Manufactured via Selective Laser Melting. Surf. Coat. Technol. 2022, 441, 128559. [Google Scholar] [CrossRef]
- Bell, T. Source Book on Nitriding; American Society for Metals: Novelty, OH, USA, 1977. [Google Scholar]
- Kowalska, J. Niskoemisyjne, Ekologiczne Azotowanie Elementów Pojazdów Samochodowych Przy Wykorzystaniu Metody Zeroflow. AUTOBUSY–Tech. Eksploat. Syst. Transp. 2016, 6, 236–241. [Google Scholar]
- Kowalska, J. Symulator Kinetyki Wzrostu Warstwy Azotowanej—Narzędzie Wspomagające Projektowanie Procesów Azotowania. AUTOBUSY–Tech. Eksploat. Syst. Transp. 2016, 12, 1075–1081. [Google Scholar]
- Małdziński, L.; Ostrowska, K.; Okoniewicz, P. Controlled ZeroFlow Gas Nitriding as a Method Increasing the Durability of Dies for Hot Extrusion of Aluminum Profiles. Obróbka Plast. Met. 2014, 3, 169–183. [Google Scholar]
- Wang, B.; Fu, W.; Dong, F.; Jin, G.; Feng, W.; Wang, Z.; Sun, S. Significant Acceleration of Nitriding Kinetics in Pure Iron by Pressurized Gas Treatment. Mater. Des. 2015, 85, 91–96. [Google Scholar] [CrossRef]
- Wang, B.; Sun, S.; Guo, M.; Jin, G.; Zhou, Z.; Fu, W. Study on Pressurized Gas Nitriding Characteristics for Steel 38CrMoAlA. Surf. Coat. Technol. 2015, 279, 60–64. [Google Scholar] [CrossRef]
- Mongis, J.; Peyre, J.P.; Tournier, C. Nitriding of Microalloyed Steels. Heat Treat. Met. 1984, 11, 71–75. [Google Scholar]
- Cho, K.T.; Lee, Y.-K.; Lee, W.B. Wear Behavior of AISI D2 Steel by Enhanced Ion Nitriding with Atomic Attrition. Tribol. Int. 2015, 87, 82–90. [Google Scholar] [CrossRef]
- Cho, K.T.; Song, K.; Oh, S.H.; Lee, Y.-K.; Lee, W.B. Enhanced Surface Hardening of AISI D2 Steel by Atomic Attrition during Ion Nitriding. Surf. Coat. Technol. 2014, 251, 115–121. [Google Scholar] [CrossRef]
- Ferkel, H.; Glatzer, M.; Estrin, Y.; Valiev, R.Z. RF Plasma Nitriding of a Severely Deformed High Alloyed Steel. Scr. Mater. 2002, 46, 623–628. [Google Scholar] [CrossRef]
- Baranowska, J.; Szczeciński, K.; Wysiecki, M. Increasing of Gas Nitriding Kinetics via Surface Pre-Treatment. Surf. Coat. Technol. 2002, 151–152, 534–539. [Google Scholar] [CrossRef]
- Tong, W.P.; Liu, C.Z.; Wang, W.; Tao, N.R.; Wang, Z.B.; Zuo, L.; He, J.C. Gaseous Nitriding of Iron with a Nanostructured Surface Layer. Scr. Mater. 2007, 57, 533–536. [Google Scholar] [CrossRef]
- Tong, W.P.; Han, Z.; Wang, L.M.; Lu, J.; Lu, K. Low-Temperature Nitriding of 38CrMoAl Steel with a Nanostructured Surface Layer Induced by Surface Mechanical Attrition Treatment. Surf. Coat. Technol. 2008, 202, 4957–4963. [Google Scholar] [CrossRef]
- Wolowiec-Korecka, E.; Michalski, J.; Kucharska, B. Kinetic Aspects of Low-Pressure Nitriding Process. Vacuum 2018, 155, 292–299. [Google Scholar] [CrossRef]
- Syla, N.; Aliaj, F.; Rama, M. Hardness Curves for 31CrMoV9 Steel after Gas Nitriding. Acta Phys. Pol. A 2017, 132, 484–486. [Google Scholar] [CrossRef]








| Grade Steel | ϕ | Element Content in wt. % | ||||||
|---|---|---|---|---|---|---|---|---|
| (mm) | C | Mn | Si | P | S | Ni | Cr | |
| AISI 52100 | 3 | 1.0 | 0.4 | 0.3 | 0.02 | 0.02 | - | 1.5 |
| Sample No. | T [°C] | Process Type * | t [min] Whole | t [min] from 475 °C | ΔT [°C] | NH3, [mL/min] |
|---|---|---|---|---|---|---|
| a | 590 | 2 | 165.2 | 125 | 1 | 200 |
| b | 1 | 592.4 | ||||
| c | 590 | 1 | 312.4 | 67.5 | 2 | 200 |
| d | 2 | 107.7 | ||||
| e | 1 | 312.4 | 190 | |||
| f | 590 | 1 | 144.4 | 33 | 5 | 200 |
| g | 2 | 73.2 | ||||
| h | 1 | 144.4 | 190 | |||
| i | 590 | 1 | 88.4 | 21.5 | 10 | 200 |
| j | 2 | 61.7 | ||||
| k | 1 | 88.4 | 190 |
| Sample | Δmt [mg] | Δmc [mg] | gmpmin [μm] | gmpmax [μm] |
|---|---|---|---|---|
| a | 0.0084 | 5.05 | 18 | 19 |
| b | 0.0268 | 5.07 | 17 | 18 |
| c | 0.0135 | 4.50 | 16 | 16 |
| d | 0.0229 | 2.42 | 12 | 12 |
| e | 0.0144 | 4.55 | 15 | 15 |
| f | 0.0295 | 3.95 | 13 | 14 |
| g | 0.0558 | 3.95 | 10 | 11 |
| h | 0.0266 | 3.95 | 11 | 12 |
| i | 0.0420 | 3.90 | 11 | 11 |
| j | 0.0538 | 3.50 | 10 | 11 |
| k | 0.0388 | 3.60 | 11 | 12 |
Disclaimer/Publisher’s Note: The statements, opinions and data contained in all publications are solely those of the individual author(s) and contributor(s) and not of MDPI and/or the editor(s). MDPI and/or the editor(s) disclaim responsibility for any injury to people or property resulting from any ideas, methods, instructions or products referred to in the content. |
© 2023 by the authors. Licensee MDPI, Basel, Switzerland. This article is an open access article distributed under the terms and conditions of the Creative Commons Attribution (CC BY) license (https://creativecommons.org/licenses/by/4.0/).
Share and Cite
Frączek, T.; Prusak, R.; Michalski, J.; Skuza, Z.; Ogórek, M. The Impact of Heating Rate on the Kinetics of the Nitriding Process for 52100 Steel. Materials 2023, 16, 6708. https://doi.org/10.3390/ma16206708
Frączek T, Prusak R, Michalski J, Skuza Z, Ogórek M. The Impact of Heating Rate on the Kinetics of the Nitriding Process for 52100 Steel. Materials. 2023; 16(20):6708. https://doi.org/10.3390/ma16206708
Chicago/Turabian StyleFrączek, Tadeusz, Rafał Prusak, Jerzy Michalski, Zbigniew Skuza, and Marzena Ogórek. 2023. "The Impact of Heating Rate on the Kinetics of the Nitriding Process for 52100 Steel" Materials 16, no. 20: 6708. https://doi.org/10.3390/ma16206708
APA StyleFrączek, T., Prusak, R., Michalski, J., Skuza, Z., & Ogórek, M. (2023). The Impact of Heating Rate on the Kinetics of the Nitriding Process for 52100 Steel. Materials, 16(20), 6708. https://doi.org/10.3390/ma16206708

