Trifluoromethylated 4,5-Dihydro-1,2,4-triazin-6(1H)-ones via (3+3)-Annulation of Nitrile Imines with α-Amino Esters
Abstract
1. Introduction
2. Materials and Methods
2.1. General Information
2.2. Synthetic Protocols
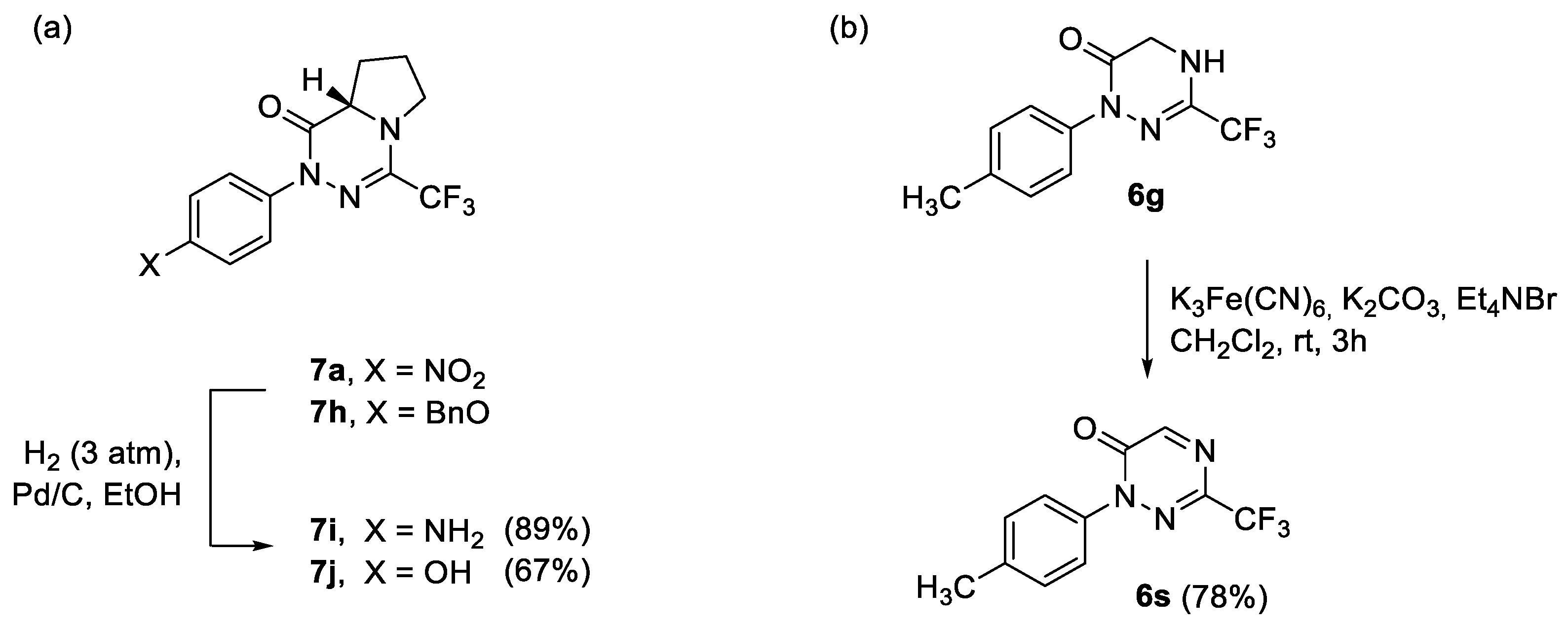
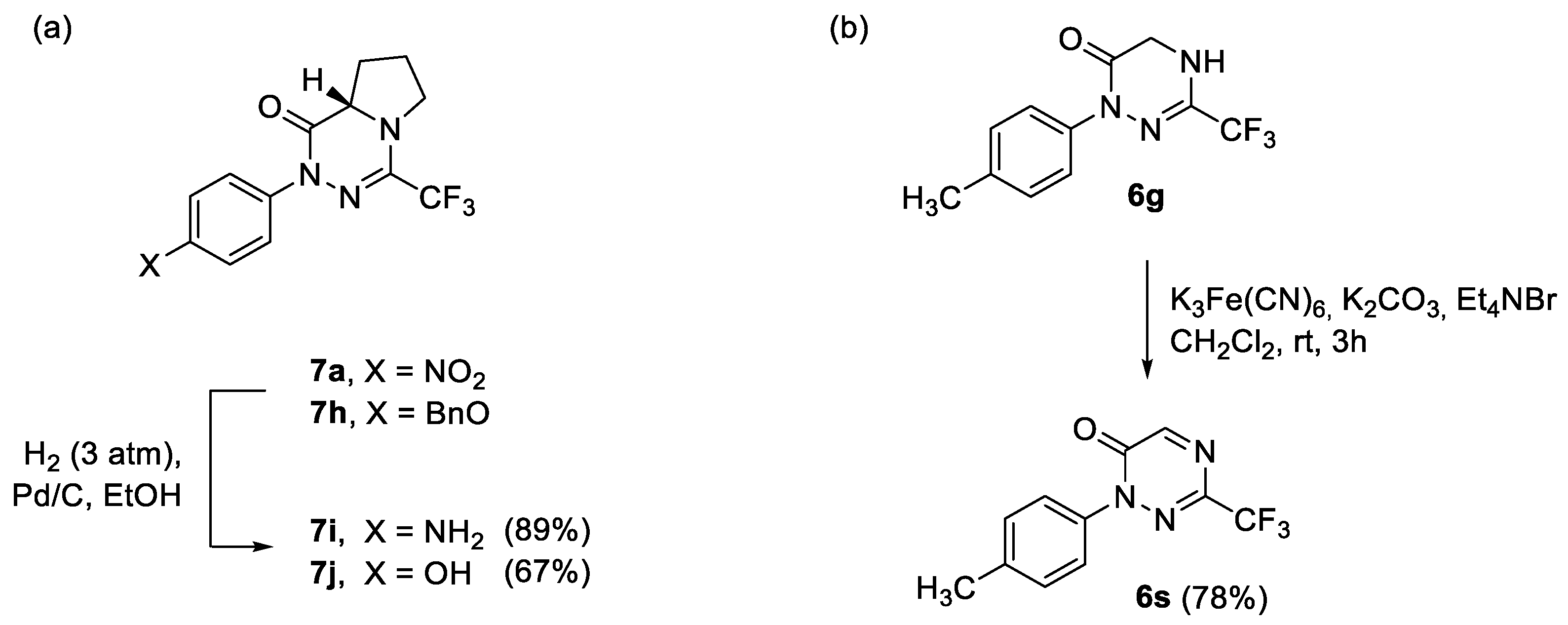
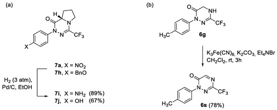
3. Results and Discussion
4. Conclusions
Supplementary Materials
Author Contributions
Funding
Institutional Review Board Statement
Informed Consent Statement
Data Availability Statement
Conflicts of Interest
References
- O’Hagan, D. Understanding organofluorine chemistry. An introduction to the C–F bond. Chem. Soc. Rev. 2008, 37, 308–319. [Google Scholar] [CrossRef]
- Purser, S.; Moore, P.R.; Swallow, S.; Gouverneur, V. Fluorine in medicinal chemistry. Chem. Soc. Rev. 2008, 37, 320–330. [Google Scholar] [CrossRef]
- Kirsch, P. Modern Fluoroorganic Chemistry: Synthesis, Reactivity, Applications; Wiley-VCH: Weinheim, Germany, 2013. [Google Scholar] [CrossRef]
- Nenajdenko, V. (Ed.) Fluorine in Heterocyclic Chemistry, Vol. 1: 5-Membered Heterocycles and Macrocycles; Springer International Publishing: Manhattan, NY, USA, 2014. [Google Scholar] [CrossRef]
- Liu, Y.; Jiang, L.; Wang, H.; Wang, H.; Jiao, W.; Chen, G.; Zhang, P.; Hui, D.; Jian, X. A brief review for fluorinated carbon: Synthesis. Properties and applications. Nanotechnol. Rev. 2019, 8, 573–586. [Google Scholar] [CrossRef]
- Lemoine, K.; Hémon-Ribaud, A.; Leblanc, M.; Lhoste, J.; Tarascon, J.-M.; Maisonneuve, V. Fluorinated materials as positive electrodes for Li- and Na-ion batteries. Chem. Rev. 2022, 122, 14405–14439. [Google Scholar] [CrossRef]
- Chen, X.; Fan, K.; Liu, Y.; Liu, X.; Feng, W.; Wang, X. Recent advances in fluorinated graphene from synthesis to applications: Critical review on functional chemistry and structure engineering. Adv. Mater. 2022, 34, 2101665. [Google Scholar] [CrossRef]
- Wang, J.; Sánchez-Roselló, M.; Aceña, J.L.; del Pozo, C.; Sorochinsky, A.E.; Fustero, S.; Soloshonok, V.A.; Liu, H. Fluorine in pharmaceutical industry: Fluorine-containing drugs introduced to the market in the last decade (2001–2011). Chem. Rev. 2014, 114, 2432–2506. [Google Scholar] [CrossRef] [PubMed]
- Zhang, C.; Yan, K.; Fu, C.; Peng, H.; Hawker, C.J.; Whittaker, A.K. Biological utility od fluorinated compounds: From materials design to molecular imaging, therapeutics and environmental remediation. Chem. Rev. 2022, 122, 167–208. [Google Scholar] [CrossRef]
- Tiz, D.B.; Bagnoli, L.; Rosati, O.; Marini, F.; Sancineto, L.; Santi, C. New halogen-containing drugs approved by FDA in 2021: An overview on their syntheses and pharmaceutical use. Molecules 2022, 27, 1643. [Google Scholar] [CrossRef]
- Ogawa, Y.; Tokunaga, E.; Kobayashi, O.; Hirai, K.; Shibata, N. Current contributions of organofluorine compounds to the agrochemical industry. iScience 2020, 23, 101467. [Google Scholar] [CrossRef]
- Gakh, A.A.; Shermolovich, Y. Trifluoromethylated heterocycles. Curr. Top. Med. Chem. 2014, 14, 952–965. [Google Scholar] [CrossRef]
- Meyer, F. Trifluoromethyl nitrogen heterocycles: Synthetic aspects and potential biological targets. Chem. Commun. 2016, 52, 3077–3094. [Google Scholar] [CrossRef] [PubMed]
- Liu, F.; Sameem, B. Fluorinated N-heterocycles as conformationally diverse bioactives for drug discovery. In Targets in Heterocyclic Systems; Italian Chemical Society: Rome, Italy, 2021; Volume 25, pp. 502–516. [Google Scholar] [CrossRef]
- Petrov, V.A. (Ed.) Fluorinated Heterocyclic Compound: Synthesis, Chemistry, and Applications; J. Wiley & Sons, Inc.: Hoboken, NJ, USA, 2009. [Google Scholar]
- Luzzio, F.A. Synthesis and reactivity of fluorinated heterocycles. In Advances in Heterocyclic Chemistry; Academic Press: Cambridge, MA, USA, 2020; Volume 132, pp. 1–84. [Google Scholar] [CrossRef]
- Sap, J.B.I.; Meyer, C.F.; Straathof, N.J.W.; Iwumene, N.; am Ende, C.W.; Trabanco, A.A.; Governeur, V. Late-stage difluoromethylation: Concepts, developments and perspective. Chem. Soc. Rev. 2021, 50, 8214–8247. [Google Scholar] [CrossRef] [PubMed]
- Mlostoń, G.; Shermolovich, Y.; Heimgartner, H. Synthesis of fluorinated and fluoroalkylated heterocycles containing at least one sulfur atom via cyclocondensation reactions. Materials 2022, 15, 7244. [Google Scholar] [CrossRef] [PubMed]
- He, P.; Zhu, S.Z. Preparation of fluorine-containing heterocyclic compounds via cycloaddition reactions. Mini-Rev. Org. Chem. 2004, 4, 417–435. [Google Scholar] [CrossRef]
- Jamieson, C.; Livingstone, K. The Nitrile Imine 1,3-Dipole; Properties, Reactivity and Applications; Springer Nature: Cham, Switzerland, 2020. [Google Scholar]
- Deepthi, A.; Acharjee, N.; Sruthi, S.L.; Meenakshy, C.B. An overview of nitrile imine based [3+2] cycloadditions over half a decade. Tetrahedron 2022, 116, 132812. [Google Scholar] [CrossRef]
- Mykhailiuk, P.K. 2,2,2-Trifluorodiazoethane (CF3CHN2): A long journey since 1943. Chem. Rev. 2020, 120, 12718–12755. [Google Scholar] [CrossRef]
- Kumar, A.; Khan, W.A.; Ahamad, S.; Mohanan, K. Trifluorodiazoethane: A versatile building block to access trifluoromethylated heterocycles. J. Heterocycl. Chem. 2022, 59, 607–632. [Google Scholar] [CrossRef]
- Chandrasekharan, S.P.; Dhami, A.; Kumar, S.; Mohanan, K. Recent advances in pyrazole synthesis employing diazo compounds and synthetic analogues. Org. Biomol. Chem. 2022, 20, 8787–8817. [Google Scholar] [CrossRef]
- Mlostoń, G.; Urbaniak, K.; Utecht, G.; Lentz, D.; Jasiński, M. Trifluoromethylated 2,3-dihydro-1,3,4-thiadiazoles via the regioselective [3+2]-cycloadditions of fluorinated nitrile imines with aryl, hetaryl, and ferrocenyl thioketones. J. Fluor. Chem. 2016, 192, 147–154. [Google Scholar] [CrossRef]
- Utecht, G.; Sioma, J.; Jasiński, M.; Mlostoń, G. Expected and unexpected results in reactions of fluorinated nitrile imines with (cyclo)aliphatic thioketones. J. Fluor. Chem. 2017, 201, 68–75. [Google Scholar] [CrossRef]
- Utecht, G.; Fruziński, A.; Jasiński, M. Polysubstituted 3-trifluoromethylpyrazoles: Regioselective (3+2)-cycloaddition of trifluoroacetonitrile imines with enol ethers and functional group transformations. Org. Biomol. Chem. 2018, 16, 1252–1257. [Google Scholar] [CrossRef] [PubMed]
- Utecht, G.; Mlostoń, G.; Jasiński, M. A straightforward access to trifluoromethylated spirobipyrazolines through a double (3+2)-cycloaddition of fluorinated nitrile imines with alkoxyallenes. Synlett 2018, 29, 1753–1758. [Google Scholar] [CrossRef]
- Tian, Y.-C.; Li, J.-K.; Zhang, F.-G.; Ma, J.-A. Regioselective decarboxylative cycloaddition route to fully substituted 3-CF3-pyrazoles from nitrilimines and isoxazolidinediones. Adv. Synth. Catal. 2021, 363, 2093–2097. [Google Scholar] [CrossRef]
- Kowalczyk, A.; Utecht-Jarzyńska, G.; Mlostoń, G.; Jasiński, M. A straightforward access to 3-trifluoromethyl-1H-indazoles via (3+2)-cycloaddition of arynes with nitrile imines derived from trifluoroacetonitrile. J. Fluor. Chem. 2021, 241, 109691. [Google Scholar] [CrossRef]
- Han, T.; Wang, K.-H.; Yang, M.; Zhao, P.; Wang, F.; Wang, J.; Huang, D.; Hu, Y. Synthesis of difluoromethylated pyrazoles by the [3+2] cycloaddition reaction of difluoroacetohydrazonoyl bromides. J. Org. Chem. 2022, 87, 498–511. [Google Scholar] [CrossRef]
- Ren, Y.; Ma, R.; Feng, Y.; Wang, K.-H.; Wang, J.; Huang, D.; Lv, X.; Hu, Y. Synthesis of difluoromethyl pyrazolines and pyrazoles by [3+2] cycloaddition reaction of difluoroacetohydrazonoyl bromides with electron-deficient olefins. Asian J. Org. Chem. 2022, 11, e202200438. [Google Scholar] [CrossRef]
- Wang, K.-H.; Liu, H.; Liu, X.; Bian, C.; Wang, J.; Su, Y.; Huang, D.; Hu, Y. Regioselective synthesis of 3-trifluoromethyl 4-subtituted pyrazoles by [3+2]-cycloaddition of trifluoroacetonitrile imines and nitroalkenes. Asian J. Org. Chem. 2022, 11, e202200103. [Google Scholar] [CrossRef]
- Zhou, Y.; Gao, C.-F.; Ma, H.; Nie, J.; Ma, J.-A.; Zhang, F.-G. Quadruple functionalized pyrazole pharmacophores by one-pot regioselective [3+2]-cycloaddition of fluorinated nitrile imines and dicyanoalkenes. Chem. Asian J. 2022, 17, e202200436. [Google Scholar] [CrossRef]
- Utecht-Jarzyńska, G.; Nagła, K.; Mlostoń, G.; Heimgartner, H.; Palusiak, M.; Jasiński, M. A straightforward conversion of 1,4-quinones into polycyclic pyrazoles via [3+2]-cycloaddition with fluorinated nitrile imines. Beilstein J. Org. Chem. 2021, 17, 1509–1517. [Google Scholar] [CrossRef]
- Kowalczyk, A.; Utecht-Jarzyńska, G.; Mlostoń, G.; Jasiński, M. Trifluoromethylated pyrazoles via sequential (3+2)-cycloaddition of fluorinated nitrile imines with chalcones and solvent-dependent deacylative oxidation reactions. Org. Lett. 2022, 24, 2499–2503. [Google Scholar] [CrossRef]
- Utecht-Jarzyńska, G.; Kowalczyk, A.; Jasiński, M. Fluorinated and non-fluorinated 1,4-diarylpyrazoles via MnO2-mediated mechanochemical deacylative oxidation of 5-acylpyrazolines. Molecules 2022, 27, 8446. [Google Scholar] [CrossRef]
- Utecht-Jarzyńska, G.; Jasiński, M.; Świątek, K.; Mlostoń, G.; Heimgartner, H. Novel trifluoromethylated spiro-1,3,4-thiadiazoles via [3+2]-cycloadditions of 2,3-diphenylcyclopropenethione with selected in situ-generated nitrile imines derived from trifluoroacetonitrile. Heterocycles 2020, 101, 251–262. [Google Scholar] [CrossRef]
- Grzelak, P.; Utecht, G.; Jasiński, M.; Mlostoń, G. First (3+2)-cycloadditions of thiochalcones as C=S dipolarophiles: Efficient synthesis of 1,3,4-thiadiazoles via reactions with fluorinated nitrile imines. Synthesis 2017, 49, 2129–2137. [Google Scholar] [CrossRef]
- Utecht-Jarzyńska, G.; Mykhaylychenko, S.S.; Rusanov, E.B.; Shermolovich, Y.G.; Jasiński, M.; Mlostoń, G. Highly fluorinated 2,3-dihydro-1,3,4-thiadiazole derivatives via [3+2]-cycloadditions of tertiary thioamides with nitrile imines derived from trifluoroacetonitrile. J. Fluor. Chem. 2021, 242, 109702. [Google Scholar] [CrossRef]
- Zhang, Y.; Zeng, J.-L.; Chen, Z.; Wang, R. Base-promoted (3+2)-cycloaddition of trifluoroacetohydrazonoyl chlorides with imidates en route to trifluoromethyl-1,2,4-triazoles. J. Org. Chem. 2022, 87, 14514–14522. [Google Scholar] [CrossRef] [PubMed]
- Utecht-Jarzyńska, G.; Michalak, A.; Banaś, J.; Mlostoń, G.; Jasiński, M. Trapping of trifluoroacetonitrile imines with mercaptoacetaldehyde and mercaptocarboxylic acids: An access to fluorinated 1,3,4-thiadiazine derivatives via (3+3)-annulation. J. Fluor. Chem. 2019, 222–223, 8–14. [Google Scholar] [CrossRef]
- Kumar, R.; Sirohi, T.S.; Singh, H.; Yadav, R.; Roy, R.K.; Chaudhary, A.; Pandeya, S.N. 1,2,4-Triazine analogs as novel class of therapeutic agents. Mini-Rev. Med. Chem. 2014, 14, 168–207. [Google Scholar] [CrossRef]
- Cascioferro, S.; Parrino, B.; Spaño, V.; Carbone, A.; Montalbano, A.; Barraja, P.; Diana, P.; Cirrincione, G. An overview on the recent developments of 1,2,4-triazine derivatives as anticancer compounds. Eur. J. Med. Chem. 2017, 142, 328–375. [Google Scholar] [CrossRef]
- Krauth, F.; Dahse, H.-M.; Rüttinger, H.-H.; Frohberg, P. Synthesis and characterization of novel 1,2,4-triazine derivatives with antiproliferative activity. Bioorg. Med. Chem. 2010, 18, 1816–1821. [Google Scholar] [CrossRef] [PubMed]
- Makki, M.S.I.; Abdel-Rahman, R.M.; Khan, K.A. Fluorine substituted 1,2,4-triazinones as potential ani-HIV-1 and CDK2 inhibitors. J. Chem. 2014, 2014, 430573. [Google Scholar] [CrossRef]
- Sweeney, M.; Coyle, R.; Kavanagh, P.; Berezin, A.A.; Lo Re, D.; Zissimou, G.A.; Koutentis, P.A.; Carty, M.P.; Aldabbagh, F. Discovery of anti-cancer activity for benzo[1,2,4]triazin-7-ones: Very strong correlation to pleurotin and thioredoxin reductase inhibition. Bioorg. Med. Chem. 2016, 24, 3565–3570. [Google Scholar] [CrossRef] [PubMed]
- Srinivasa Rao, D.; Pavan Kumar, G.V.; Pooja, B.; Harika, G.; Anil Kumar, Y.; Sadasiva Rao, G. An extensive review on 1,2,3 and 1,2,4-triazines scaffold-valuable lead molecules with potent and diverse pharmacological activities. Chem. Sin. 2016, 7, 101–130. [Google Scholar]
- Zaki, I.; Abdelhameid, M.K.; El-Deen, I.M.; Abdel Wahab, A.H.A.; Ashmawy, A.M.; Mohamed, K.O. Design, synthesis and screening of 1,2,4-triazinone derivatives as potential antitumor agents with apoptosis inducing activity on MCF-7 breast cancer cell line. Eur. J. Med. Chem. 2018, 156, 563–579. [Google Scholar] [CrossRef] [PubMed]
- Saloutina, L.V.; Zapevalov, A.Y.; Kodess, M.I.; Slepukhin, P.A.; Ganebnykh, I.N.; Saloutin, V.I.; Chupakhin, O.N. Trifluoromethyl-containing 1,2,4-triazines. Synthesis on the base of perfluorobiacetyl and reactions with thiosemicarbazide and thiourea. J. Fluor. Chem. 2019, 227, 109362. [Google Scholar] [CrossRef]
- Al-Otaibi, F.A.; Bakhotmah, D.A. Synthesis and biological evaluation of new fluorine compounds bearing 4-amino-1,2,4-triazino[4,3-b]-1,2,4-triazin-8-one and the related derivatives as CDK2 inhibitors of tumor cell. Polycycl. Aromat. Comp. 2020, 42, 623–634. [Google Scholar] [CrossRef]
- Wojciechowska, A.; Jasiński, M.; Kaszyński, P. Tautomeric equilibrium in trifluoroacetaldehyde arylhydrazones. Tetrahedron 2015, 71, 2349–2356. [Google Scholar] [CrossRef]
- Howard, J.L.; Cao, Q.; Browne, D.L. Mechanochemistry as an emerging tool for molecular synthesis: What can it offer? Chem. Sci. 2018, 9, 3080–3094. [Google Scholar] [CrossRef]
- Pickhardt, W.; Grätz, S.; Borchardt, L. Direct mechanocatalysis: Using milling balls as catalysts. Chem. Eur. J. 2020, 26, 12903–12911. [Google Scholar] [CrossRef]
- Mlostoń, G.; Celeda, M.; Heimgartner, H.; Duda, D.; Obijalska, E.; Jasiński, M. Synthesis and selected transformations of 2-unsubstituted imidazole N-oxides using a ball-milling mechanochemical approach. Catalysts 2022, 12, 589. [Google Scholar] [CrossRef]
- Awadallah, A.M.; Ferwanah, A.-R.S.; El-Sawi, E.; Dalloul, H.M. Cyclocondensation reactions of nitrilimines: Synthesis of 1,2,4-triazin-6-ones and 1,2,4,5-tetrazines. Heterocycl. Commun. 2002, 8, 369–374. [Google Scholar] [CrossRef]
- Dalloul, H.M.M. Synthesis of spiroheterocycles containing thiadiazole thiadiazine and triazine moieties from nitrilimines. Phosphorus Sulfur Silicon Relat. Elem. 2011, 186, 1876–1884. [Google Scholar] [CrossRef]
- Omelańczuk, J.; Mikołajczyk, M. Chiral t-butylphenylphosphinothioic acid: A useful chiral solvating agent for direct determination of enantiomeric purity of alcohols, thiols, amines, diols, aminoalcohols and related compounds. Tetrahedron Asymmetry 1996, 7, 2687–2694. [Google Scholar] [CrossRef]
- Kowalczyk, A.; Jasiński, M. 4,5-Dihydro-1,2,4-triazin-6(1H)-ones. Chem. Heterocycl. Comp. 2022, 58, 585–587. [Google Scholar] [CrossRef]
- Camparini, A.; Celli, A.M.; Ponticelli, F. Synthesis and structure of dihydro-1,2,4-triazin-6(1H)ones. J. Heterocycl. Chem. 1978, 15, 1271–1276. [Google Scholar] [CrossRef]
- Taylor, E.C.; Macor, J.E. Efficient synthesis of 5-substituted-4,5-dihydro-1,2,4-triazin-6-ones and 5-substituted-1,2,4-triazin-6-ones. J. Heterocycl. Chem. 1985, 22, 409–411. [Google Scholar] [CrossRef]
- Boeglin, D.; Cantel, S.; Martinez, J.; Fehrentz, J.-A. Efficient solid-phase synthesis of 4,5-dihydro-1,2,4-triazin-6(1H)-ones. Tetrahedron Lett. 2003, 44, 459–462. [Google Scholar] [CrossRef]
- Kudelko, A.; Zieliński, W.; Jasiak, K. Synthesis of novel 1-[(1-ethoxymethylene)amino]imidazol-5(4H)-ones and 1,2,4-triazin-6(5H)-ones from optically active α-aminocarboxylic acid hydrazides. Tetrahedron Lett. 2013, 54, 4637–4640. [Google Scholar] [CrossRef]
- Amin, M.A.; Saad, H.A. Synthesis and biological activity of fused heteropolycyclic systems containing an indole moiety. Curr. Org. Synth. 2016, 13, 116–125. [Google Scholar] [CrossRef]
- Mosmann, T. Rapid colorimetric assay for cellular growth and survival: Application to proliferation and cytotoxicity assays. J. Immunol. Methods 1983, 65, 55–63. [Google Scholar] [CrossRef]








Disclaimer/Publisher’s Note: The statements, opinions and data contained in all publications are solely those of the individual author(s) and contributor(s) and not of MDPI and/or the editor(s). MDPI and/or the editor(s) disclaim responsibility for any injury to people or property resulting from any ideas, methods, instructions or products referred to in the content. |
© 2023 by the authors. Licensee MDPI, Basel, Switzerland. This article is an open access article distributed under the terms and conditions of the Creative Commons Attribution (CC BY) license (https://creativecommons.org/licenses/by/4.0/).
Share and Cite
Kowalczyk, A.; Świątek, K.; Celeda, M.; Utecht-Jarzyńska, G.; Jaskulska, A.; Gach-Janczak, K.; Jasiński, M. Trifluoromethylated 4,5-Dihydro-1,2,4-triazin-6(1H)-ones via (3+3)-Annulation of Nitrile Imines with α-Amino Esters. Materials 2023, 16, 856. https://doi.org/10.3390/ma16020856
Kowalczyk A, Świątek K, Celeda M, Utecht-Jarzyńska G, Jaskulska A, Gach-Janczak K, Jasiński M. Trifluoromethylated 4,5-Dihydro-1,2,4-triazin-6(1H)-ones via (3+3)-Annulation of Nitrile Imines with α-Amino Esters. Materials. 2023; 16(2):856. https://doi.org/10.3390/ma16020856
Chicago/Turabian StyleKowalczyk, Anna, Kamil Świątek, Małgorzata Celeda, Greta Utecht-Jarzyńska, Agata Jaskulska, Katarzyna Gach-Janczak, and Marcin Jasiński. 2023. "Trifluoromethylated 4,5-Dihydro-1,2,4-triazin-6(1H)-ones via (3+3)-Annulation of Nitrile Imines with α-Amino Esters" Materials 16, no. 2: 856. https://doi.org/10.3390/ma16020856
APA StyleKowalczyk, A., Świątek, K., Celeda, M., Utecht-Jarzyńska, G., Jaskulska, A., Gach-Janczak, K., & Jasiński, M. (2023). Trifluoromethylated 4,5-Dihydro-1,2,4-triazin-6(1H)-ones via (3+3)-Annulation of Nitrile Imines with α-Amino Esters. Materials, 16(2), 856. https://doi.org/10.3390/ma16020856

