Abstract
Hydrogen production via water splitting has been extensively explored over the past few decades, and considerable effort has been directed toward finding more reactive and cost-effective electrocatalysts by engineering their compositions, shapes, and crystal structures. In this study, we developed hierarchical cobalt phosphide (Co-P) nanosphere assemblies as non-noble metal electrocatalysts via one-step electrodeposition. The morphologies of the Co-P nanostructures and their electrocatalytic activities towards the hydrogen evolution reactions (HER) were controlled by the applied potentials during electrodeposition. The physicochemical properties of the as-prepared Co-P nanostructures in this study were characterized by field-emission scanning electron microscopy, X-ray photoemission spectroscopy and X-ray diffraction. Linear sweep voltammetry revealed that the Co-P grown at −0.9 V showed the best HER performance exhibiting the highest electrochemical active surface area and lowest interfacial charge transfer resistance. The Co-P electrocatalysts showed superior long-term stability to electrodeposited Pt, indicating their potential benefits.
1. Introduction
Water splitting is the first step in converting solar energy into chemical energy in nature [1,2]. Researchers have emulated this reaction in the past few decades to efficiently produce hydrogen fuels [3,4]. Water splitting (2H2O → O2 + 2H2) is a non-spontaneous reaction (ΔG = 237.1 kJ/mol) [5,6] that occurs through two half-reactions: an oxygen evolution reaction (OER; 2H2O → O2 + 4H+ + 4e−, 1.23 V vs. standard hydrogen electrode (SHE)) and hydrogen evolution reaction (HER; 4H+ + 4e− → 2H2, 0 V vs. SHE) in acidic media [7]. The specific thermodynamic potential of water splitting (1.23 V) restricts the availability of semiconductors [5,8], and only a few resources are substantially active toward water electrolysis. Ru, Ir, and Pt-based materials have demonstrated the best performance for the OER and HER in terms of current density and overpotential levels [9,10]. However, transition metal (Fe, Co, Ni, Mo, and W) carbides, nitrides, and chalcogenides have also been widely investigated as alternatives to expensive and scarce noble-metal-based electrocatalysts [11,12,13].
Cobalt phosphide (Co-P), which is representative of a transition metal phosphide (TMP) family, has attracted considerable attention as an efficient non-noble metal electrocatalyst [14]. The difference in electronegativities of Co and P is derived from the partial negative charges on P atoms; thus, protons from water are initially adsorbed onto the electrocatalytic surfaces [15]. Density functional theory calculations from previous studies showed that the Gibbs free energy of hydrogen adsorption (ΔGH*) on Co-P was negative, indicating that the evolution of clean and renewable H2 fuels on Co-P could be definitive [16,17]. Heteroatom doping, that is, the incorporation of non-metals (O and B) [18,19] or metals (Mo, Ni, and Fe) [20,21,22,23,24], into Co-P was also effective in improving the HER activities because it altered the electronic structure of the pure Co-P compound and optimized ΔGH* [14]. Because the geometry and dimensions of Co-P affect its electrocatalytic activities, the synthesis techniques that govern the structural properties of Co-P are critical. Therefore, fabricating Co-P electrocatalysts using various precursors, such as solid Co, organometallic Co complexes, and Co salts, has been attempted in diverse solvents and temperature conditions, followed by phosphidation [14]. As mentioned above, recent research indicates that a new approach to manipulating the structural and compositional properties of Co-P should be developed for highly efficient TMPs for the HER.
Here, we employed a one-step electrodeposition technique, a facile and low-cost method to directly grow multicomponent electrocatalysts on a wide range of solid substrates [25,26,27] for the preparation of hierarchical Co-P nanospheres on indium tin oxide (ITO)-coated glasses. The results obtained from field-emission scanning electron microscopy (FE-SEM) measurements confirmed that the applied voltages for the electrodeposition procedure were the key to controlling the morphologies and the coverages of the self-supported Co-P nanostructures. The linear sweep voltammogram showed that the Co-P nanostructure grown at a potential of −0.9 V exhibited the lowest overpotential for HER at a current density of 10 mA cm−2 in acidic media compared with that of other Co-P electrocatalysts prepared at higher applied potentials (that is, −1.0, −1.1, and −1.2 V), which was predominantly attributed to the enhanced charge transfer behavior and a higher electrochemical active surface area (ECSA). The electrodeposited Co-P showed better stability towards the HER over time than the noble metal Pt electrocatalysts.
2. Materials and Methods
2.1. Electrochemical Deposition of Electrocatalysts
As shown in Figure 1a, a potentiostat (AMETEK Princeton Applied Research, PARSTAT MC) with a three-electrode configuration was employed for the electrodeposition of Co-P and Pt electrocatalysts. Ag/AgCl in 3 M KCl(l) and Pt wire were used as the reference, and counter electrodes, respectively, and ITO-coated glass was utilized as a working electrode in an aqueous solution of 0.025 M CoSO4·7H2O, 0.5 M NaH2PO2·H2O, and 0.025 mM CH3COONa for Co-P or 0.5 mM of H2PtCl6·6H2O for Pt electrocatalysts. Potentials of −0.9 to −1.2 V (with respect to the Ag/AgCl electrode) for Co-P or −0.35 V (vs. Ag/AgCl) for Pt electrocatalysts was applied for 10 min.
Figure 1.
(a) Schematic of the Co-P nanocluster generation by electrodeposition. (b) Photographs and (c–j) SEM images of the resulting Co-P nanostructures on ITO which were grown at various applied potentials: (c,g) −0.9 V, (d,h) −1.0 V, (e,i) −1.1 V, and (f,j) −1.2 V (inset: size distribution histogram of nanoclusters).
2.2. Material Characterizations
The morphologies of the Co-P and Pt electrocatalysts were investigated by FE-SEM at an acceleration voltage of 10 kV (FEI, Inspect F, Hillsboro, OR, USA). The chemical composition of the Co-P hybrid nanostructures was examined using X-ray photoemission spectroscopy (XPS) (Nexas system, Thermo Fisher Scientific, Waltham, MA, USA) equipped with a monochromatic Al Kα photon source (1486.6 eV, 72 W, 12 kV). X-ray diffraction (XRD) patterns were collected by an X-ray diffractometer (Dmax2500/PC, Rigaku, Tokyo, Japan) using Cu Kα radiation (λ = 1.5406 Å) at a scanning rate of 2°/min.
2.3. Electrochemical Measurement
The HER activities of the electrodeposited Co-P and Pt electrocatalysts on ITO were evaluated in 0.5 M H2SO4 (pH ≈ 0.45) using Ag/AgCl and Pt wire as the reference and counter electrodes, respectively. Cyclic voltammetry (CV), linear sweep voltammetry (LSV), electrochemical impedance spectroscopy (EIS), and chronopotentiometry were conducted using an AMETEK potentiostat. All potentials for the electrochemical measurements were calibrated with respect to the reversible hydrogen electrode (RHE) using the following equation: ERHE = EAg/AgCl + 0.197 + 0.059 × pH. LSV curves were recorded at a scan rate of 10 mV s−1. The EIS measurements were conducted in the frequency range of 105–1 Hz at a potential of −0.2 V vs. RHE with an AC potential amplitude of 5 mV. The CV curves were measured in a non-Faradaic region (0.2 to 0.27 vs. RHE) at a scan rate of 20–200 mV s−1 to obtain electrochemical double-layer capacitance. The chronopotentiometry measurements were performed at a fixed current density of 10 mA cm−2 for 12 h to evaluate the durability of the electrodeposited Co-P electrocatalysts.
3. Results and Discussion
3.1. Structural Evolution of Co-P Nanostructures
The Co-P nanostructures were synthesized based on the following reaction (Equation (1)) during the electrodeposition process [28,29].
Co2+ + H2PO2− + 2H+ + 3e− → Co-P + 2H2O
Electrodeposition was performed on ITO using chronoamperometry for 10 min. To determine the optimal potential windows, the applied voltages were varied, and the growth of Co-P nanostructures was observed from −0.9 V. FE-SEM images in Figure 1 show the morphologies of electrodeposited Co-P under different applied potentials. At −0.9 V, cabbage-like Co-P nanosphere assemblies with an average size of 700 ± 200 nm are formed (Figure 1c,g). When the applied voltage is increased to −1.0 V, that is, the more cathodic potential is provided to the reactants, a decrease in the size and vertical growth of the Co-P nanoclusters is observed (Figure 1d,h). The color change of the Co-P film to black at −1.0 V (Figure 1b) indicates the protrusion of Co-P nanoclusters in the direction normal to the substrate [30,31,32]. During the electrochemical deposition at −1.1 and −1.2 V, the Co-P nanopillar arrays disappear; however, raspberry-like Co-P nanoclusters comprising smaller Co-P nanoparticles remain (Figure 1e,f,i,j). The variation in the darkness of the Co-P film at different applied potentials (Figure 1b) indicates that the surface coverage or the density of the Co-P nanoclusters on ITO depends on the applied potentials. Further, uniform deposition is observed up to −1.0 V.
3.2. Analysis of the Chemical Composition of Co-P Nanostructures
XRD patterns of Co-P nanostructures that were electrodeposited on bare ITO substrate at applied potentials of −0.9 and −1.0 V are obtained, as shown in Figure 2a. Three distinct diffraction peaks are observed at 41.8°, 44.8° and 47.6°, which can be assigned to the (100), (002), and (101) planes of hexagonal close-packed Co (JCPDS no. 04-003-3863). No diffraction peaks related to the polymorphs of Co-P are observed, presumably owing to the nature of the electrodeposition technique, which occasionally results in a lower portion of hybridization [28]. However, the XPS spectra of the Co-P nanostructures in Figure 2b–d confirm the existence of Co-P. The high-resolution spectrum of Co 2p in Figure 2c shows a small peak at 778.9 eV, which is attributed to the positively charged Coδ+ species in Co-P, in addition to the peaks from the oxidized Co state (Co2+ and Co3+) and the satellite features (Sat) [23,33,34,35,36]. The high-resolution XPS spectrum of P 2p in Figure 2d shows two peaks for P 2p3/2 and P 2p1/2 of Co-P at 129.4 and 130.4 eV, respectively, ref. [37] and also an orthophosphate peak at 133.1 eV, which indicates the formation of Co3(PO4)2 [38].
Figure 2.
(a) XRD patterns of Co-P electrodeposited at applied voltages of −0.9 and −1.0 V on ITO substrate. (b–d) XPS spectra of Co-P prepared at −1.0 V. (b) Survey scan and high-resolution spectra of (c) Co 2p and (d) P 2p of the Co-P nanoclusters.
3.3. HER Performance of Co-P Electrocatalysts
As shown in Figure 3a, the HER activities of the Co-P nanostructures are evaluated by LSV in a 0.5 M H2SO4 aqueous solution. The overpotentials to reach the current density (j) of 10 mA cm−2 were increased in the following order: Co-P nanostructures fabricated under the electrodeposition at −1.2 V (302.9 mV) > −1.1 V (281.2 mV) > −1.0 V (186.9 mV) > −0.9 V (176.5 mV), confirming that the Co-P electrocatalysts prepared at −0.9 V showed the best HER performance. Metallic Pt nanoparticles evenly distributed on ITO (Figures S1 and S2) were prepared using the same electrodeposition technique and were used to estimate the HER performance of Co-P. The Pt electrocatalysts exhibited a higher HER performance than Co-P, with an overpotential of 60.2 mV at j = 10 mA cm−2.
Figure 3.
(a) HER polarization curves and (b) corresponding Tafel plots of electrodeposited Co-P and Pt electrocatalysts on ITO substrate.
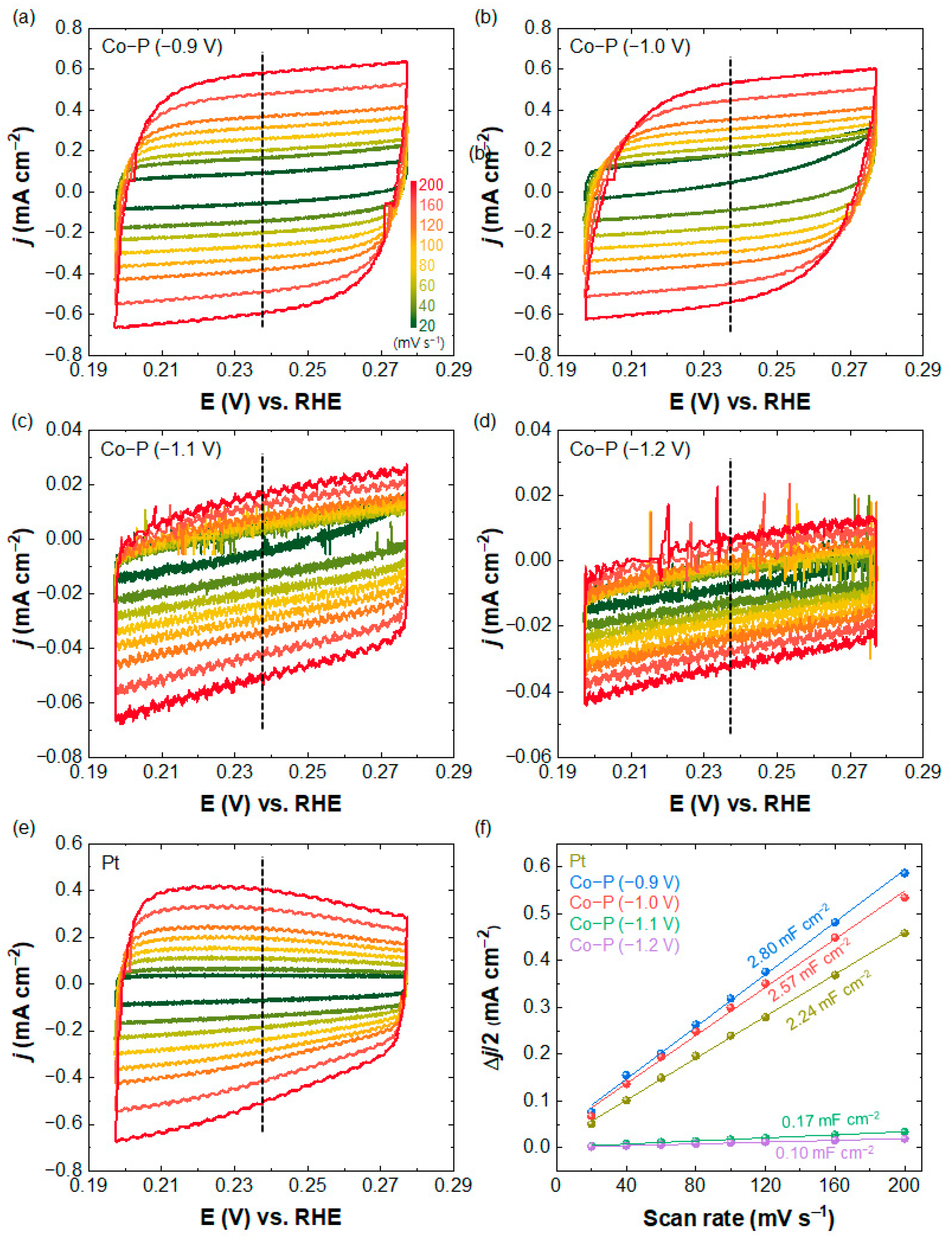
To determine the origin, we estimated the ECSA of the Co-P nanostructures. Because ECSA is expressed using the electrochemical double-layer capacitance (Cdl) (ECSA = Cdl/CS; CS, which refers to the specific capacitance of an electrode with flat surface (35 μF cm−2) [39,40,41,42,43,44,45]), we performed CV to obtain Cdl in the non-Faradaic region (Figure 4a–e). The slopes of the linear fit of Δj/2 = (ja − jc) (ja and jc are the anodic and cathodic current densities at 0.237 V vs. RHE, respectively, in the cyclic voltammograms) vs. the scan rate (Vb) (Figure 4f) were Cdl (Cdl = d(Δj)/2dVb). Cdl for Co-Ps electrodeposited at −0.9, −1.0, −1.1, and −1.2 V were 2.80, 2.57, 0.17, and 0.10 mF cm−2, respectively, and the corresponding ECSA were 29, 24, 1.7, and 0.9 cm2, which is in good agreement with the LSV results. The ECSA values of Co-P grown at −0.9 and −1.0 V were higher than that of Pt electrocatalysts (23.8 cm2), indicating that the Co-Ps possess a substantial number of effective sites for HER. In particular, the Co-P nanostructure prepared at −0.9 V showed a higher HER performance than the hierarchical vertical assembly of Co-P nanospheres grown at −1.0 V. The degradation of electrocatalytic activity may be attributed to structural instability. The SEM images in Figure S3 show that the one-dimensional Co-P nanoclusters disassembled after the LSV experiment, whereas the shapes and the sizes of the Co-P nanostructures grown at −0.9 V were preserved. The less crystallinity of Co-P may be another implication of the HER activity (Figure 2a).
Figure 4.
CV curves of (a–d) Co-P and (e) Pt electrocatalysts prepared at various applied potentials. Scan rates were controlled in the range of 20–200 mV s−1. (f) Calculated Cdl for Co-P and Pt electrocatalysts at ja and jc of 0.237 V vs. RHE (marked as dashed lines in the cyclic voltammograms of (a–e)).
Figure 5a shows the Nyquist plots of electrodeposited Co-P electrocatalysts recorded at −0.2 V vs. RHE and fitted according to the proposed equivalent circuit model shown in Figure 5b (Rs and CPE represent the series resistance and constant phase elements, respectively. R1 refers to the series resistance at the interface between the substrate and electrocatalyst, and Rct indicates the charge-transfer resistance at the interface between the electrocatalyst and electrolyte). Compared with the Co-P electrocatalysts prepared at −1.1 and −1.2 V exhibiting significant Rct values of 29 and 72 Ω, the Rct values of the Co-Ps substantially decreased to 6.9 and 9.5 Ω when the applied potentials for the electrodeposition were reduced to −0.9 and −1.0 V, respectively. The lower Rct values of Co-P grown at −0.9 V may also cause a higher HER performance.
Figure 5.
(a) Nyquist plots and (b) equivalent circuit models of the electrodeposited Co-P electrocatalysts. In (a), the impedance spectra were recorded at −0.2 V vs. RHE. Solid symbols and lines represent the raw data and fitted curves, respectively.
Tafel analysis was performed to assess the underlying mechanisms of the HER by Co-P electrocatalysts, and the results are shown in Figure 3b. In acidic media, HER can occur via the following reactions [42,46,47]:
where M and M–H refer to the catalytic active sites and catalytic surfaces covered with adsorbed hydrogen atoms, respectively. In acidic media, the adsorption of protons from the hydronium ions (H3O+) to M to generate metal hydride occurs first (Volmer reaction), followed by the HER through either the electrochemical Heyrovsky or chemical Tafel reactions. Tafel slopes of 70–80 mV dec−1 for electrodeposited Co-P and ~52 mV dec−1 for Pt (Figure 3b) confirm that the Volmer–Heyrovsky process was dominant for water electrocatalysis in our study. The HER Tafel slopes of the electrodeposited Co-P are comparable to previously reported values [28,48,49].
Discharge step (Volmer reaction): H3O+ + e− + M → M–H + H2O
Desorption step (Heyrovsky reaction): M–H + H3O+ + e− → H2 + H2O + M
Recombination step (Tafel reaction): 2M–H → 2M + H2
Further, chronopotentiometry measurements were performed at a fixed current density of 10 mA cm−2 to test the durability of the electrodeposited Co-P at −0.9 V and Pt electrocatalysts. In Figure 6, a slight potential drop is observed for the Co-P electrocatalysts during operation for 12 h, while Pt shows a complete loss of its electrocatalytic activity in approximately 6 h. This result indicates that Co-P electrocatalysts may outperform Pt in terms of their long-term stability.
Figure 6.
Chronopotentiometry curves of Co-P electrodeposited at −0.9 V, and Pt on ITO substrate at a current density of 10 mA cm−2.
4. Conclusions
Hierarchical Co-P nanostructures were fabricated via one-step electrodeposition techniques for the electrocatalytic HER. The applied potentials during electrodeposition determined the morphologies and coverages of Co-P. The HER performance of the non-noble metal electrocatalysts was evaluated in acidic media. Co-P grown at −0.9 V exhibited the lowest overpotential at 10 mA cm−2 owing to its superior crystallinity, electrochemical surface area, and charge transfer characteristics. The electrodeposited Co-P also demonstrated long-term stability over the Pt electrocatalysts. To further ameliorate the electrocatalytic activity of the Co-P nanostructures, we plan to introduce additional layers, such as porous carbonaceous sheaths, to improve the conductivity and the durability of the electrocatalysts.
Supplementary Materials
The following supporting information can be downloaded at: https://www.mdpi.com/article/10.3390/ma16020593/s1, Figure S1: SEM images of Pt on ITO which were electrodeposited at an applied voltage of −0.35 V for 10 min.; Figure S2: (a) XPS survey and (b) Pt 4f spectra of Pt.; Figure S3: SEM images of Co-P on ITO (a,b) before and (c,d) after HER experiments in aqueous 0.5 M H2SO4. The applied voltages during the electrodeposition growth of the Co-P nanostructures were (a,c) −0.9 V and (b,d) −1.0 V. Reference [50] is cited in the supplementary materials.
Author Contributions
Conceptualization, Y.J.J. and Y.H.J.; methodology, formal analysis and investigation, J.K. and Y.H.J.; writing—original draft preparation, Y.J.J. and Y.H.J.; writing—review and editing, Y.J.J. and Y.H.J.; supervision, Y.H.J. All authors have read and agreed to the published version of the manuscript.
Funding
This research was supported by the National Research Foundation of Korea (NRF) and the Center for Women In Science, Engineering and Technology (WISET) Grant funded by the Ministry of Science, ICT & Future Planning of Korea (MSIP) under the Program for Returners into R&D (501030201) and the Korea Initiative for Fostering University of Research and Innovation Program of the NRF funded by the Korean government (MSIT) (No. 2020M3H1A1077095).
Institutional Review Board Statement
Not applicable.
Informed Consent Statement
Not applicable.
Data Availability Statement
Not applicable.
Acknowledgments
The authors gratefully acknowledge financial support of the Korea Institute of Science and Technology (KIST) Institutional Program. This research was supported by the National Research Foundation of Korea (NRF) and the Center for Women In Science, Engineering and Technology (WISET) Grant funded by the Ministry of Science, ICT & Future Planning of Korea (MSIP) under the Program for Returners into R&D (501030201) and the Korea Initiative for Fostering University of Research and Innovation Program of the NRF funded by the Korean government (MSIT) (No. 2020M3H1A1077095).
Conflicts of Interest
The authors declare no conflict of interest.
References
- Barber, J. Photosynthetic energy conversion: Natural and artificial. Chem. Soc. Rev. 2009, 38, 185–196. [Google Scholar] [CrossRef]
- Tachibana, Y.; Vayssieres, L.; Durrant, J.R. Artificial photosynthesis for solar water-splitting. Nat. Photonics 2012, 6, 511–518. [Google Scholar] [CrossRef]
- Qi, J.; Zhang, W.; Cao, R. Solar-to-hydrogen energy conversion based on water splitting. Adv. Energy Mater. 2018, 8, 1701620. [Google Scholar] [CrossRef]
- Yang, W.; Prabhakar, R.R.; Tan, J.; Tilley, S.D.; Moon, J. Strategies for enhancing the photocurrent, photovoltage, and stability of photoelectrodes for photoelectrochemical water splitting. Chem. Soc. Rev. 2019, 48, 4979–5015. [Google Scholar] [CrossRef]
- Wang, Y.; Suzuki, H.; Xie, J.; Tomita, O.; Martin, D.J.; Higashi, M.; Kong, D.; Abe, R.; Tang, J. Mimicking natural photosynthesis: Solar to renewable H2 fuel synthesis by Z-scheme water splitting systems. Chem. Rev. 2018, 118, 5201–5241. [Google Scholar] [CrossRef]
- You, B.; Sun, Y. Innovative strategies for electrocatalytic water splitting. Acc. Chem. Res. 2018, 51, 1571–1580. [Google Scholar] [CrossRef]
- Roger, I.; Shipman, M.A.; Symes, M.D. Earth-abundant catalysts for electrochemical and photoelectrochemical water splitting. Nat. Rev. Chem. 2017, 1, 0003. [Google Scholar] [CrossRef]
- Zhao, Y.; Hoivik, N.; Wang, K. Recent advance on engineering titanium dioxide nanotubes for photochemical and photoelectrochemical water splitting. Nano Energy 2016, 30, 728–744. [Google Scholar] [CrossRef]
- Cook, T.R.; Dogutan, D.K.; Reece, S.Y.; Surendranath, Y.; Teets, T.S.; Nocera, D.G. Solar energy supply and storage for the legacy and nonlegacy worlds. Chem. Rev. 2010, 110, 6474–6502. [Google Scholar] [CrossRef]
- McCrory, C.C.L.; Jung, S.; Ferrer, I.M.; Chatman, S.M.; Peters, J.C.; Jaramillo, T.F. Benchmarking hydrogen evolving reaction and oxygen evolving reaction electrocatalysts for solar water splitting devices. J. Am. Chem. Soc. 2015, 137, 4347–4357. [Google Scholar] [CrossRef]
- Chen, P.; Ye, J.; Wang, H.; Ouyang, L.; Zhu, M. Recent progress of transition metal carbides/nitrides for electrocatalytic water splitting. J. Alloys Compd. 2021, 883, 160833. [Google Scholar] [CrossRef]
- Zou, X.; Zhang, Y. Noble metal-free hydrogen evolution catalysts for water splitting. Chem. Soc. Rev. 2015, 44, 5148–5180. [Google Scholar] [CrossRef]
- Xiong, B.; Chen, L.; Shi, J. Anion-containing noble-metal-free bifunctional electrocatalysts for overall water splitting. ACS Catal. 2018, 8, 3688–3707. [Google Scholar] [CrossRef]
- Li, Z.; Feng, H.; Song, M.; He, C.; Zhuang, W.; Tian, L. Advances in CoP electrocatalysts for water splitting. Mater. Today Energy 2021, 20, 100698. [Google Scholar] [CrossRef]
- Liu, Q.; Tian, J.; Cui, W.; Jiang, P.; Cheng, N.; Asiri, A.M.; Sun, X. Carbon nanotubes decorated with CoP nanocrystals: A highly active non-noble-metal nanohybrid electrocatalyst for hydrogen evolution. Angew. Chem. Int. Ed. 2014, 53, 6710–6714. [Google Scholar] [CrossRef]
- Ji, L.; Wang, J.; Teng, X.; Meyer, T.J.; Chen, Z. CoP nanoframes as bifunctional electrocatalysts for efficient overall water splitting. ACS Catal. 2020, 10, 412–419. [Google Scholar] [CrossRef]
- Hu, G.; Tang, Q.; Jiang, D.-e. CoP for hydrogen evolution: Implications from hydrogen adsorption. Phys. Chem. Chem. Phys. 2016, 18, 23864–23871. [Google Scholar] [CrossRef]
- Cao, E.; Chen, Z.; Wu, H.; Yu, P.; Wang, Y.; Xiao, F.; Chen, S.; Du, S.; Xie, Y.; Wu, Y.; et al. Boron-induced electronic-structure reformation of CoP nanoparticles drives enhanced pH-universal hydrogen evolution. Angew. Chem. Int. Ed. 2020, 59, 4154–4160. [Google Scholar] [CrossRef]
- Zhou, G.; Li, M.; Li, Y.; Dong, H.; Sun, D.; Liu, X.; Xu, L.; Tian, Z.; Tang, Y. Regulating the electronic structure of CoP nanosheets by O incorporation for high-efficiency electrochemical overall water splitting. Adv. Funct. Mater. 2020, 30, 1905252. [Google Scholar] [CrossRef]
- Tang, C.; Zhang, R.; Lu, W.; He, L.; Jiang, X.; Asiri, A.M.; Sun, X. Fe-doped CoP nanoarray: A monolithic multifunctional catalyst for highly efficient hydrogen generation. Adv. Mater. 2017, 29, 1602441. [Google Scholar] [CrossRef]
- Liu, T.; Ma, X.; Liu, D.; Hao, S.; Du, G.; Ma, Y.; Asiri, A.M.; Sun, X.; Chen, L. Mn doped of CoP Nanosheets array: An efficient electrocatalyst for hydrogen evolution reaction with enhanced activity at all pH values. ACS Catal. 2017, 1, 98–102. [Google Scholar] [CrossRef]
- Zhang, S.; Guo, M.; Song, S.; Zhan, K.; Yan, Y.; Yang, J.; Zhao, B. Hierarchical Mo-doped CoP3 interconnected nanosheet arrays on carbon cloth as an efficient bifunctional electrocatalyst for water splitting in an alkaline electrolyte. Dalton Trans. 2020, 49, 5563–5572. [Google Scholar] [CrossRef]
- Song, S.; Guo, M.; Zhang, S.; Zhan, K.; Yan, Y.; Yang, J.; Zhao, B.; Xu, M. Plasma-assisted synthesis of hierarchical NiCoxPy nanosheets as robust and stable electrocatalyst for hydrogen evolution reaction in both acidic and alkaline media. Electrochim. Acta 2020, 331, 135431. [Google Scholar] [CrossRef]
- Guo, M.; Song, S.; Zhang, S.; Yan, Y.; Zhan, K.; Yang, J.; Zhao, B. Fe-doped Ni-Co phosphide nanoplates with planar defects as an efficient bifunctional electrocatalyst for overall water splitting. ACS Sustain. Chem. Eng. 2020, 8, 7436–7444. [Google Scholar] [CrossRef]
- Sun, H.; Yan, Z.; Liu, F.; Xu, W.; Cheng, F.; Chen, J. Self-supported transition-metal-based electrocatalysts for hydrogen and oxygen evolution. Adv. Mater. 2020, 32, 1806326. [Google Scholar] [CrossRef]
- Pu, J.; Shen, Z.; Zhong, C.; Zhou, Q.; Liu, J.; Zhu, J.; Zhang, H. Electrodeposition technologies for Li-based batteries: New frontiers of energy storage. Adv. Mater. 2020, 32, 1903808. [Google Scholar] [CrossRef]
- Liu, J.; Li, P.; Bi, J.; Zhu, Q.; Han, B. Design and preparation of electrocatalysts by electrodeposition for CO2 reduction. Chem. Eur. J. 2022, 28, e202200242. [Google Scholar]
- Han, G.-Q.; Li, X.; Liu, Y.-R.; Dong, B.; Hu, W.-H.; Shang, X.; Zhao, X.; Chai, Y.-M.; Liu, Y.-Q.; Liu, C.-G. Controllable synthesis of three dimensional electrodeposited Co–P nanosphere arrays as efficient electrocatalysts for overall water splitting. RSC Adv. 2016, 6, 52761–52771. [Google Scholar] [CrossRef]
- Saadi, F.H.; Carim, A.I.; Verlage, E.; Hemminger, J.C.; Lewis, N.S.; Soriaga, M.P. CoP as acid-stable active electrocatalyst for the hydrogen-evolution reaction: Electrochemical synthesis, interfacial characterization and performance evaluation. J. Phys. Chem. C 2014, 118, 29294–29300. [Google Scholar] [CrossRef]
- Purtov, J.; Verch, A.; Rogin, P.; Hensel, R. Improved development procedure to enhance the stability of microstructures created by two-photon polymerization. Microelectron. Eng. 2018, 194, 45–50. [Google Scholar] [CrossRef]
- Purtov, J.; Rogin, P.; Verch, A.; Johansen, V.E.; Hensel, R. Nanopillar diffraction gratings by two-photon lithography. Nanomaterials 2019, 9, 1495. [Google Scholar] [CrossRef]
- Wei, N.; Tian, Y.; Liao, Y.; Komatsu, N.; Gao, W.; Lyuleeva-Husemann, A.; Zhang, Q.; Hussain, A.; Ding, E.-X.; Yao, F.; et al. Colors of single-wall carbon nanotubes. Adv. Mater. 2021, 33, 2006395. [Google Scholar] [CrossRef]
- Zhu, Y.-P.; Liu, Y.-P.; Ren, T.-Z.; Yuan, Z.-Y. Self-Supported Cobalt Phosphide Mesoporous Nanorod Arrays: A Flexible and Bifunctional Electrode for Highly Active Electrocatalytic Water Reduction and Oxidation. Adv. Funct. Mater. 2015, 25, 7337–7347. [Google Scholar] [CrossRef]
- Huang, J.W.; Li, Y.R.; Xia, Y.F.; Zhu, J.T.; Yi, Q.H.; Wang, H.; Xiong, J.; Sun, Y.H.; Zou, G.F. Flexible cobalt phosphide network electrocatalyst for hydrogen evolution at all pH values. Nano Res. 2017, 10, 1010–1020. [Google Scholar] [CrossRef]
- Liang, H.F.; Gandi, A.N.; Anjum, D.H.; Wang, X.B.; Schwingenschlögl, U.; Alshareef, H.N. Plasma-assisted synthesis of NiCoP for efficient overall water splitting. Nano Lett. 2016, 16, 7718–7725. [Google Scholar] [CrossRef]
- Li, X.; Qian, X.; Xu, Y.; Duan, F.; Yu, Q.; Wang, J.; Chen, L.; Dan, Y.; Cheng, X. Electrodeposited cobalt phosphides with hierarchical nanostructure on biomass carbon for bifunctional water splitting in alkaline solution. J. Alloys Compd. 2020, 829, 154535. [Google Scholar] [CrossRef]
- Guo, H.; Liu, X.; Hou, Y.; Xie, Q.; Wang, L.; Geng, H.; Peng, D. Magnetically separable and recyclable urchin-like Co–P hollow nanocomposites for catalytic hydrogen generation. J. Power Sources 2014, 260, 100–108. [Google Scholar] [CrossRef]
- Carenco, S.; Hu, Y.; Florea, I.; Ersen, O.; Boissiere, C.; Mezailles, N.; Sanchez, C. Metal-dependent interplay between crystallization and phosphorus diffusion during the synthesis of metal phosphide nanoparticles. Chem. Mater. 2012, 24, 4134–4145. [Google Scholar] [CrossRef]
- Liu, T.; Li, P.; Yao, N.; Cheng, G.; Chen, S.; Luo, W.; Yin, Y. CoP-doped MOF-based electrocatalyst for pH-universal hydrogen evolution reaction. Angew. Chem. Int. Ed. 2019, 58, 4679–4684. [Google Scholar] [CrossRef]
- McCrory, C.C.L.; Jung, S.; Peters, J.C.; Jaramillo, T.F. Benchmarking heterogeneous electrocatalysts for the oxygen evolution reaction. J. Am. Chem. Soc. 2013, 135, 16977–16987. [Google Scholar] [CrossRef]
- Wei, C.; Sun, S.; Mandler, D.; Wang, X.; Qiao, S.Z.; Xu, Z.J. Approaches for measuring the surface areas of metal oxide electrocatalysts for determining their intrinsic electrocatalytic activity. Chem. Soc. Rev. 2019, 48, 2518–2534. [Google Scholar] [CrossRef]
- Merki, D.; Vrubel, H.; Rovelli, L.; Fierro, S.; Hu, X. Fe, Co, and Ni ions promote the catalytic activity of amorphous molybdenum sulfide films for hydrogen evolution. Chem. Sci. 2012, 3, 2515–2525. [Google Scholar] [CrossRef]
- Deng, H.; Zhang, C.; Xie, Y.; Tumlin, T.; Giri, L.; Karna, S.P.; Lin, J. Laser induced MoS2/carbon hybrids for hydrogen evolution reaction catalysts. J. Mater. Chem. A 2016, 4, 6824–6830. [Google Scholar] [CrossRef]
- Yoon, H.; Song, H.J.; Ju, B.; Kim, D.-W. Cobalt phosphide nanoarrays with crystalline-amorphous hybrid phase for hydrogen production in universal-pH. Nano Res. 2020, 13, 2469–2477. [Google Scholar] [CrossRef]
- Ali, M.; Wahid, M.; Majid, K. Mixed NiCo-phosphate/sulphide heterostructure as an efficient electrocatalyst for hydrogen evolution reaction. J. Appl. Electrochem. 2022; in press. [Google Scholar]
- Bockris, J.O.’M.; Potter, E.C. The mechanism of the cathodic hydrogen evolution reaction. J. Electochem. Soc. 1952, 99, 169–186. [Google Scholar] [CrossRef]
- Sheng, W.; Gasteiger, H.A.; Shao-Horn, Y. Hydrogen oxidation and evolution reaction kinetics on platinum: Acidic vs alkaline electrolytes. J. Electrochem. Soc. 2010, 157, B1529–B1536. [Google Scholar] [CrossRef]
- Oh, S.; Kim, H.; Kwon, Y.; Kim, M.; Cho, E.; Kwon, H. Porous Co-P foam as an efficient bifunctional electrocatalyst for hydrogen and oxygen evolution reactions. J. Mater. Chem. A 2016, 4, 18272–18277. [Google Scholar] [CrossRef]
- Kornienko, N.; Heidary, N.; Cibin, G.; Reisner, E. Catalysis by design: Development of a bifunctional water splitting catalyst through an operando measurement directed optimization cycle. Chem. Sci. 2019, 9, 5322–5333. [Google Scholar] [CrossRef]
- Anumol, E.A.; Kundu, P.; Deshpande, P.A.; Madras, G.; Ravishankar, N. New insights into selective heterogeneous nucleation of metal nanoparticles on oxides by microwave-assisted reduction: Rapid synthesis of high-activity supported catalysts. ACS Nano 2011, 5, 8049–8061. [Google Scholar] [CrossRef]
Disclaimer/Publisher’s Note: The statements, opinions and data contained in all publications are solely those of the individual author(s) and contributor(s) and not of MDPI and/or the editor(s). MDPI and/or the editor(s) disclaim responsibility for any injury to people or property resulting from any ideas, methods, instructions or products referred to in the content. |
© 2023 by the authors. Licensee MDPI, Basel, Switzerland. This article is an open access article distributed under the terms and conditions of the Creative Commons Attribution (CC BY) license (https://creativecommons.org/licenses/by/4.0/).





