Deformation and Cracking Resistance of MgO-Incorporated Cementitious Material: A Review
Abstract
1. Introduction
2. Deformation of Cementitious Materials with the Addition of MgO
2.1. Effects of Characteristics and Content of MgO
2.2. Effect of Aggregate and Cementitious Materials
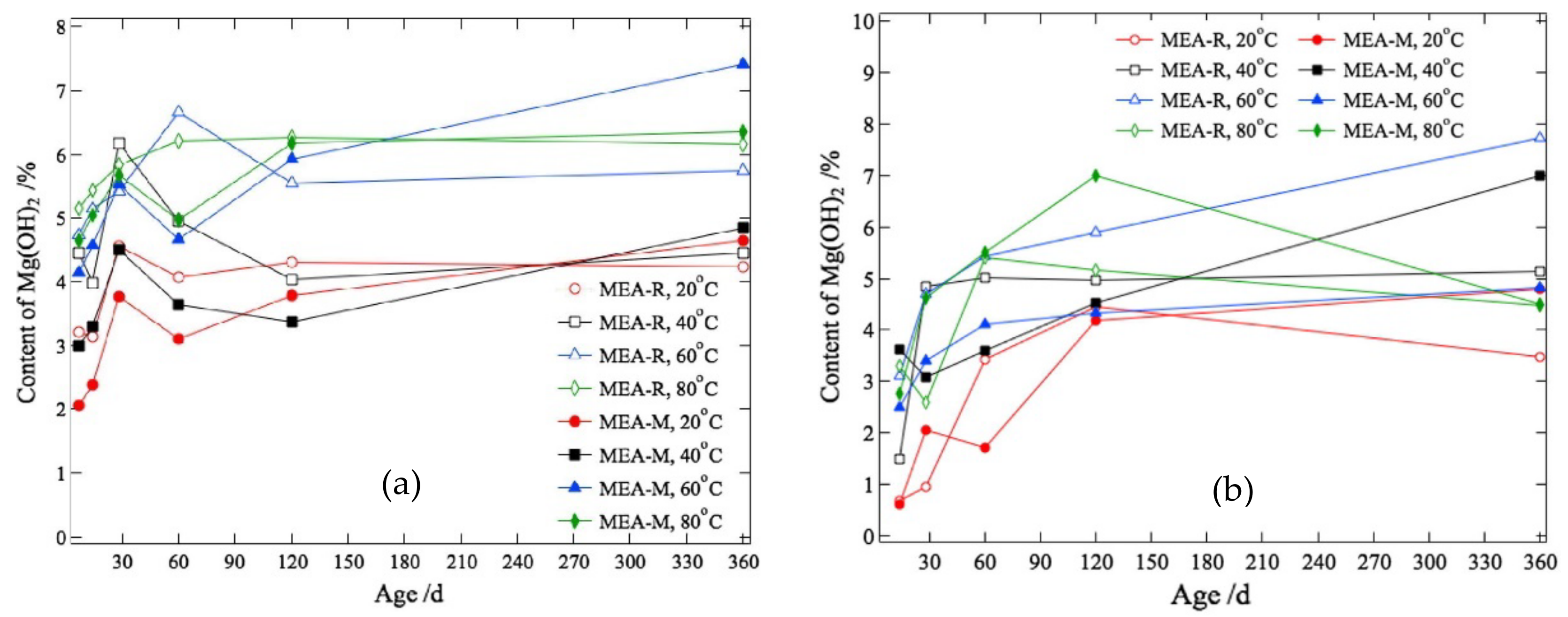
2.3. Effect of Curing Conditions
2.4. Combination with Other Shrinkage Reduction Methods
3. Cracking Resistance
4. Estimation of Deformation
5. Conclusions
- (1)
- The influence of MgO on expansive behavior is classified into three aspects: reactivity, content, and incorporation manner of MgO. Cementitious materials with high-activity MgO (neutralization time less than 100 s) show a higher expansive rate and reach constant deformation earlier, while those with low-activity MgO (neutralization time >200 s) expand slower but show higher expansion at later ages (usually after 60 to 90 days). The difference in the pattern of deformation evolution relates to the hydration process of MgO. The expansion of cementitious materials increases as the MgO content increases, and MgO used as an additive shows higher expansion than MgO used as replacements for binders in concrete.
- (2)
- The effect of concrete matrix on expansive behavior is divided into the w/b ratio, cement composition, and supplementary cementitious materials. When the w/b ratio is lower than 0.45, it promotes the expansion of cementitious materials with MgO, as the increase in the w/b ratio helps to mitigate autogenous shrinkage and provides sufficient free water for MgO hydration. For cementitious materials with a w/b ratio higher than 0.45, expansion decreases as the w/b ratio increases due to the reduced autogenous shrinkage and coarsening of the pore structure. Low-heat cement slows down the hydration process and hydration heat evolution when compared to ordinary and medium-heat cement, resulting in less expansion. With the incorporation of fly ash and slag, the expansion of cementitious material with MgO is reduced, and at the same time, autogenous shrinkage is mitigated. The effect of fly ash and slag has both advantages and disadvantages on deformation, which requires investigation under specific circumstances. In addition, coarse aggregates restrain the concrete matrix to limit deformation and affect the paste through water adsorption.
- (3)
- The expansion of cementitious materials with MgO increases as the curing relative humidity rises, and elevated temperature can significantly improve the expansion, especially for low-activity MgO. Water curing at elevated temperatures is the most effective method for promoting expansion among all the curing conditions.
- (4)
- The cracking resistance of cementitious materials is improved when MgO is added as an expansive agent. The addition of MgO can improve tensile strength and reduce the cracking temperature of cementitious materials during the cooling process.
- (5)
- The methods for estimating the deformation of concrete or paste containing MgO are the hyperbolic model, the exponential model, and the tabular interpolation method. With certain revisions to these methods, such as introducing the equivalent age and activation energy of MgO, the predicted results can reach a reasonable level of accuracy when a considerable number of experimental data have been input. Chemomechanical models, though not thoroughly investigated, are essential for uncovering the relationship between the hydration of MgO and the expansion of cementitious materials.
- (6)
- There are several issues related to the deformation of cementitious materials that are still under debate or have not been explored. Supplementary cementitious materials such as silica fume, glass powder, and other common materials in concrete may alter the chemistry of the matrix and pore solution, which can exert an impact on MgO’s expansive behavior. Though the correlation between the specific surface area (reaction time) of MgO and the dissolution rate has been established, the quantitative relationship between the hydration process of MgO and the expansive deformation of concrete is yet to be determined, as the driving force of expansion is under debate. Furthermore, with the study of MgO hydration in cementitious systems in terms of both the kinetics and thermodynamic aspects and the influence of MgO on the microstructure of the matrix, it would be clear to determine the chemomechanical process during hydration and establish a model for the prediction and optimization of the deformation of MgO-incorporated cementitious materials.
Author Contributions
Funding
Institutional Review Board Statement
Informed Consent Statement
Conflicts of Interest
References
- Yuan, M.; Tang, M. Study on the mechanism of autogenous volume expansion of Baishan concrete dam in Jilin province. J. Nanjing Inst. Chem. Technol. 1984, 2, 15–18. (In Chinese) [Google Scholar]
- Wittmann, F.H. Fundamental Research on Creep and Shrinkage of Concrete; Springer Science & Business Media: Berlin, Germany, 2012; ISBN 9401037167. [Google Scholar]
- Bažant, Z.P.; Jirásek, M. Creep and Hygrothermal Effects in Concrete Structures; Springer: Berlin/Heidelberg, Germany, 2018; Volume 225, ISBN 9402411380. [Google Scholar]
- Li, Z.; Zhou, X.; Ma, H.; Hou, D. Advanced Concrete Technology; John Wiley & Sons: Hoboken, NJ, USA, 2022; ISBN 1119806259. [Google Scholar]
- Mo, L.; Deng, M.; Tang, M. Effects of Calcination Condition on Expansion Property of MgO-Type Expansive Agent Used in Cement-Based Materials. Cem. Concr. Res. 2010, 40, 437–446. [Google Scholar] [CrossRef]
- Chatterji, S. Mechanism of Expansion of Concrete Due to the Presence of Dead-Burnt CaO and MgO. Cem. Concr. Res. 1995, 25, 51–56. [Google Scholar] [CrossRef]
- Cao, F.; Miao, M.; Yan, P. Hydration Characteristics and Expansive Mechanism of MgO Expansive Agents. Constr. Build. Mater. 2018, 183, 234–242. [Google Scholar] [CrossRef]
- Liu, B.; Thomas, P.S.; Ray, A.S.; Guerbois, J.P. A TG Analysis of the Effect of Calcination Conditions on the Properties of Reactive Magnesia. J. Therm. Anal. Calorim. 2007, 88, 145–149. [Google Scholar] [CrossRef]
- Xu, L.; Deng, M. Dolomite Used as Raw Material to Produce MgO-Based Expansive Agent. Cem. Concr. Res. 2005, 35, 1480–1485. [Google Scholar] [CrossRef]
- Amaral, L.F.; Oliveira, I.R.; Salomão, R.; Frollini, E.; Pandolfelli, V.C. Temperature and Common-Ion Effect on Magnesium Oxide (MgO) Hydration. Ceram. Int. 2010, 36, 1047–1054. [Google Scholar] [CrossRef]
- Cao, F.; Miao, M.; Yan, P. Effects of Reactivity of MgO Expansive Agent on Its Performance in Cement-Based Materials and an Improvement of the Evaluating Method of MEA Reactivity. Constr. Build. Mater. 2018, 187, 257–266. [Google Scholar] [CrossRef]
- Mo, L.; Liu, M.; Al-Tabbaa, A.; Deng, M. Deformation and Mechanical Properties of the Expansive Cements Produced by Inter-Grinding Cement Clinker and MgOs with Various Reactivities. Constr. Build. Mater. 2015, 80, 1–8. [Google Scholar] [CrossRef]
- Sherir, M.A.A.; Hossain, K.M.A.; Lachemi, M. The Influence of MgO-Type Expansive Agent Incorporated in Self-Healing System of Engineered Cementitious Composites. Constr. Build. Mater. 2017, 149, 164–185. [Google Scholar] [CrossRef]
- Li, H.; Tian, Q.; Zhao, H.; Lu, A.; Liu, J. Temperature Sensitivity of MgO Expansive Agent and Its Application in Temperature Crack Mitigation in Shiplock Mass Concrete. Constr. Build. Mater. 2018, 170, 613–618. [Google Scholar] [CrossRef]
- Ali, M.M.; Mullick, A.K. Volume Stabilisation of High MgO Cement: Effect of Curing Conditions and Fly Ash Addition. Cem. Concr. Res. 1998, 28, 1585–1594. [Google Scholar] [CrossRef]
- Huang, L.; Yang, Z.; Wang, S. Influence of Calcination Temperature on the Structure and Hydration of MgO. Constr. Build. Mater. 2020, 262, 120776. [Google Scholar] [CrossRef]
- Peng, Z.G.; Zhang, X.F.; Feng, Q.; Zheng, Y. Preparation of Active MgO Composite Expansive Agent and Its Effect on Volume Deformation Performance of Cement Slurry during Hydration. Energy Sources, Part A Recover. Util. Environ. Eff. 2021, 1–15. [Google Scholar] [CrossRef]
- Cao, F.; Yan, P. The effect of magnesium oxide expansion agent on long-term volume change of concrete. J. Chinese Ceram. Soci. 2018, 8, 1126–1132. (In Chinese) [Google Scholar]
- Yang, F.; Ji, Y.; Jin, X.; Qian, Y.; Geng, C. Influence of magnesium oxide expansion agent on concrete performance under engineering temperature conditions. Concrete 2019, 351, 115–118+122. (In Chinese) [Google Scholar]
- Chen, X.; Yang, H.Q.; Li, W.W. Factors Analysis on Autogenous Volume Deformation of MgO Concrete and Early Thermal Cracking Evaluation. Constr. Build. Mater. 2016, 118, 276–285. [Google Scholar] [CrossRef]
- Tian, L.; Jiao, M.; Fu, H.; Wang, P.; Zhao, H.; Zuo, W. Effect of Magnesia Expansion Agent with Different Activity on Mechanical Property, Autogenous Shrinkage and Durability of Concrete. Constr. Build. Mater. 2022, 335, 127506. [Google Scholar] [CrossRef]
- Wang, L.; Li, G.; Li, X.; Guo, F.; Tang, S.; Lu, X.; Hanif, A. Influence of Reactivity and Dosage of MgO Expansive Agent on Shrinkage and Crack Resistance of Face Slab Concrete. Cem. Concr. Compos. 2022, 126, 104333. [Google Scholar] [CrossRef]
- Cao, F.; Yan, P. The Influence of the Hydration Procedure of MgO Expansive Agent on the Expansive Behavior of Shrinkage-Compensating Mortar. Constr. Build. Mater. 2019, 202, 162–168. [Google Scholar] [CrossRef]
- Wang, Y.; Zhang, C.; Xu, L. Effect of Mixing Light-Burned Mgo with Different Activity on the Expansion of Cement Paste. Crystals 2021, 11, 1360. [Google Scholar] [CrossRef]
- Li, Y.; Chen, X.; Wang, S.; Yan, J. Macro- and meso-scale experimental study of concrete mixed with MgO. J. Yangtze River Sci. Res. Inst. 2013, 30, 79–84. (In Chinese) [Google Scholar]
- Huang, K.; Shi, X.; Zollinger, D.; Mirsayar, M.M.; Wang, A.; Mo, L. Use of MgO Expansion Agent to Compensate Concrete Shrinkage in Jointed Reinforced Concrete Pavement under High-Altitude Environmental Conditions. Constr. Build. Mater. 2019, 202, 528–536. [Google Scholar] [CrossRef]
- Yang, F.; Li, L. Experimental study on performance of concrete mixed with light-burned MgO expansion agent. Water Conser. Hydrop. Constr. 2015, 4, 86–88. (In Chinese) [Google Scholar]
- Huang, S.; Yang, F.; Ma, F. Experimental study on influencing factors of autogenous volume deformation of concrete mixed with magnesium oxide. J. China Inst. Water Reso. Hydro. Res. 2016, 14, 53–59. (In Chinese) [Google Scholar]
- Cai, Y. Study on the Preparation and Performance of C50 Concrete-Filled Steel Tube with Magnesium Oxide Micro-Expansion. Ph.D. Thesis, Wuhan University of Technology, Wuhan, China, 2008. (In Chinese). [Google Scholar]
- Forero, J.A.; Bravo, M.; Pacheco, J.; de Brito, J.; Evangelista, L. Fracture behaviour of concrete with reactive magnesium oxide as alternative binder. Applied Sciences 2021, 11, 2891. [Google Scholar] [CrossRef]
- Mo, L.; Liu, M.; Al-Tabbaa, A.; Deng, M.; Lau, W.Y. Deformation and Mechanical Properties of Quaternary Blended Cements Containing Ground Granulated Blast Furnace Slag, Fly Ash and Magnesia. Cem. Concr. Res. 2015, 71, 7–13. [Google Scholar] [CrossRef]
- Mo, L.; Fang, J.; Hou, W.; Ji, X.; Yang, J.; Fan, T.; Wang, H. Synergetic effects of curing temperature and hydration reactivity of MgO expansive agents on their hydration and expansion behaviours in cement pastes. Constr. Build. Mater. 2019, 207, 206–217. [Google Scholar] [CrossRef]
- Zuo, S.; Yuan, Q.; Huang, T.; Zhang, M.; Wu, Q. Rheological Behaviour of Low-Heat Portland Cement Paste with MgO-Based Expansive Agent and Shrinkage Reducing Admixture. Constr. Build. Mater. 2021, 304, 124583. [Google Scholar] [CrossRef]
- Zhang, R.; Panesar, D.K. New Approach to Calculate Water Film Thickness and the Correlation to the Rheology of Mortar and Concrete Containing Reactive MgO. Constr. Build. Mater. 2017, 150, 892–902. [Google Scholar] [CrossRef]
- Li, F.; Chen, Y.; Long, S.; Wang, B.; Li, G. The effect of MgO expansion agent on the properties of concrete. J. Wuhan Univ. Tech. 2009, 31, 52–55. (In Chinese) [Google Scholar]
- Gao, P.; Lu, X.; Tang, M. Shrinkage and Expansive Strain of Concrete with Fly Ash and Expansive Agent. J. Wuhan Univ. Technol. Mater. Sci. Ed. 2009, 24, 150–153. [Google Scholar] [CrossRef]
- Hu, Y. Synergetic Effect of Internal Curing and MEA on Properties of Concrete. Ph.D. Thesis, Shandong University, Jinan, China, 2018. (In Chinese). [Google Scholar]
- Yu, P.; Mo, L.; Deng, M. Synergetic Effect of MEA and SAP on the Deformation and Mechanical Properties of Concrete. Mag. Concr. Res. 2020, 72, 1289–1296. [Google Scholar] [CrossRef]
- Mo, L.; Fang, J.; Huang, B.; Wang, A.; Deng, M. Combined Effects of Biochar and MgO Expansive Additive on the Autogenous Shrinkage, Internal Relative Humidity and Compressive Strength of Cement Pastes. Constr. Build. Mater. 2019, 229, 116877. [Google Scholar] [CrossRef]
- Mo, L.; Deng, M.; Wang, A. Effects of MgO-Based Expansive Additive on Compensating the Shrinkage of Cement Paste under Non-Wet Curing Conditions. Cem. Concr. Compos. 2012, 34, 377–383. [Google Scholar] [CrossRef]
- Polat, R.; Demirboğa, R.; Khushefati, W.H. Effects of Nano and Micro Size of CaO and MgO, Nano-Clay and Expanded Perlite Aggregate on the Autogenous Shrinkage of Mortar. Constr. Build. Mater. 2015, 81, 268–275. [Google Scholar] [CrossRef]
- Fang, K.; Liu, X.; Chen, C.; Li, W.; Zhao, Z.; Jiang, J. The influence of aggregate gradation on the expansion and deformation properties of concrete mixed with magnesium oxide. Concrete 2012, 10, 92–93. (In Chinese) [Google Scholar]
- Zhu, W.; Wei, J.; Li, F.; Zhang, T.; Chen, Y.; Hu, J.; Yu, Q. Understanding Restraint Effect of Coarse Aggregate on the Drying Shrinkage of Self-Compacting Concrete. Constr. Build. Mater. 2016, 114, 458–463. [Google Scholar] [CrossRef]
- Chen, X.; Yang, H.; Zhang, J.; Yan, J. Analysis of factors affecting autogenous volume deformation of MgO concrete. People’s Chang. 2015, 46, 70–73. (In Chinese) [Google Scholar]
- Li, W.; Chen, X.; Yang, H. Study on the influence of aggregate on the cracking sensitivity of MgO concrete. J. Build. Mater. 2014, 17, 1070–1075. (In Chinese) [Google Scholar]
- Li, W.; Chen, C.; Fang, K.; Du, Y. The influence of water-cement ratio on autogenous volume deformation of concrete mixed with magnesia. Hydropower Energy Sci. 2011, 29, 57–59. (In Chinese) [Google Scholar]
- Zhou, S.; Su, J.; Yang, H.; Peng, S. Study on long-age autogenous volume deformation of concrete mixed with light burnt magnesia. Concrete 2014, 12, 73–75. (In Chinese) [Google Scholar]
- Xiao, Y.; Yang, Z. Experimental study on the properties of concrete mixed with magnesium oxide. Concrete 2007, 23, 72–73+77. (In Chinese) [Google Scholar]
- Xu, J. Study on the effect of a new type of magnesium oxide expansion agent on concrete properties. Master’s Thesis, Beijing University Of Civil Engineering And Architecture, Beijing, China, 2019. (In Chinese). [Google Scholar]
- Jensen, O.M.; Hansen, P.F. Autogenous Deformation and RH-Change in Perspective. Cem. Concr. Res. 2001, 31, 1859–1865. [Google Scholar] [CrossRef]
- Lee, B.Y.; Kurtis, K.E. Effect of Pore Structure on Salt Crystallization Damage of Cement-Based Materials: Consideration of w/b and Nanoparticle Use. Cem. Concr. Res. 2017, 98, 61–70. [Google Scholar] [CrossRef]
- Wang, S.; Qin, L.; Deng, J. Experimental study on autogenous volume deformation of RCC mixed with MgO. J. Yangtze River Sci. Res. Inst. 2006, 3, 43–46. (In Chinese) [Google Scholar]
- Li, C. Long-term study on autogenous volume deformation of concrete mixed with MgO. Sichuan Hydropower 1999, 18, 70–74+93. (In Chinese) [Google Scholar]
- Shen, D.; Deng, M.; Mo, L. The influence of the degree of restraint on the deformation and split tensile strength of MgO concrete. Concrete 2012, 276, 14–17. (In Chinese) [Google Scholar]
- Wang, L.; Qin, H.; Wu, Z. The influence of the composition of cementitious materials on the limiting expansion rate of concrete expansion agent. Constr. Technol. 2018, 47, 1371–1374. (In Chinese) [Google Scholar]
- Wei, R.; Deng, M.; Mo, L. The influence of high temperature curing and fly ash content on the expansion and splitting tensile strength of concrete mixed with magnesium oxide. J. East China Univ. Technol. 2010, 33, 83–87. (In Chinese) [Google Scholar]
- Termkhajornkit, P.; Nawa, T.; Nakai, M.; Saito, T. Effect of Fly Ash on Autogenous Shrinkage. Cem. Concr. Res. 2005, 35, 473–482. [Google Scholar] [CrossRef]
- Gao, P.; Xu, S.; Chen, X.; Li, J.; Lu, X. Research on autogenous volume deformation of concrete with MgO. Constr. Build. Mater. 2013, 40, 998–1001. [Google Scholar] [CrossRef]
- Li, Y.; Deng, M.; Mo, L. Expansion of concrete mixed with MgO and its strength under constrained conditions. In Proceedings of the Fifth National Concrete Expansive Agent Academic Conference, Shanghai, China, 9 October 2010; China Academic Journal Electronic Publishing House: Beijing, China, 2010; pp. 239–243. (In Chinese). [Google Scholar]
- Li, C. Temperature effect test and application of self-deformation of concrete mixed with MgO. Adv. Sci. Technol. Water Resour. Hydropower 1999, 19, 33–37+69. (In Chinese) [Google Scholar]
- Li, H. Experimental study on autogenous volume deformation of concrete mixed with MgO. China Rural. Water Hydropower 2008, 9, 123–124+127. (In Chinese) [Google Scholar]
- Nguyen, V.C.; Tong, F.G.; Nguyen, V.N. Modeling of Autogenous Volume Deformation Process of RCC Mixed with MgO Based on Concrete Expansion Experiment. Constr. Build. Mater. 2019, 210, 650–659. [Google Scholar] [CrossRef]
- Lu, X.; Geng, F.; Zhang, X.; Chen, X. Influence of MgO-type expansive agent hydration behaviors on expansive properties of concrete. J. Wuhan Univ. Technol. -Mater. Sci. Ed. 2011, 26, 344–346. [Google Scholar] [CrossRef]
- Tian, Q.; Tu, Y.; Liu, J.; Miao, C. Study on temperature sensitivity of swelling performance of magnesium oxide composite expansion agent. Hydroelectr. Power 2010, 36, 49–51+86. (In Chinese) [Google Scholar]
- Zhu, C. Research on the deformation characteristics of magnesium oxide-compensated shrinkage concrete. Railw. Constr. 2018, 58, 143–146. (In Chinese) [Google Scholar]
- Liu, J.; Zhang, S.; Tian, Q.; Guo, F.; Wang, Y. The influence of magnesium oxide compound expansion agent on the deformation characteristics of high performance concrete. J. Southeast Univ. 2010, 40, 150–154. (In Chinese) [Google Scholar]
- Zhang, Z.; Yan, N.; Li, Y.; Zhang, Y. Study on the limiting expansion rate of shrinkage-compensating concrete mixed with MgO. J. Water Resour. Archit. Eng. 2016, 14, 142–145. (In Chinese) [Google Scholar]
- Li, C.; Chen, X.; Li, X.; Yuan, T. Experimental study on autogenous volume deformation of dual-expansion cement concrete. Adv. Sci. Technol. Water Resour. Hydropower 2007, 27, 1–4. (In Chinese) [Google Scholar]
- Yang, D. The influence of magnesium oxide and polypropylene fiber on the strength and shrinkage properties of concrete. Met. Mine 2016, 480, 193–196. (In Chinese) [Google Scholar]
- You, Y.; Ran, Q.; Tian, Q.; Fei, Z.; Liu, J.; Miao, C. Deformation performance of expansive concrete mixed with retarder and superplasticizer. Concrete 2008, 229, 50–52. (In Chinese) [Google Scholar]
- Chen, X.; Yang, H.; Zhou, S.; Li, W. Sensitive evaluation on early cracking tendency of concrete with inclusion of light-burnt MgO. J. Wuhan Univ. Technol. -Mater. Sci. Ed. 2011, 26, 1018–1022. [Google Scholar] [CrossRef]
- Xu, A.; Li, L. Study on the influence of MgO on the crack resistance of RCC. J. Hydroelectr. Eng. 2015, 34, 20–26. (In Chinese) [Google Scholar]
- Guo, J.; Zhang, S.; Guo, T.; Zhang, P. Effects of UEA and MgO expansive agents on fracture properties of concrete. Construction and Building Materials 2020, 263, 120245. [Google Scholar] [CrossRef]
- Yuan, M. Comparative analysis of calculation of autogenous volume deformation of MgO micro-expansive concrete and prototype observation. In China Hydraulic Engineering Society. In Proceedings of the First Youth Science and Technology Forum of China Hydraulic Engineering Society; China Hydraulic Engineering Society; China Institute of Water Resources: Beijing, China, 2003; pp. 416–420. (In Chinese) [Google Scholar]
- Yang, G.; Yuan, M.; Luo, J. The equivalent age method for numerical simulation of the expansion law of magnesia micro-expansive concrete under variable temperature conditions. J. Hydraul. Eng. 2004, 1, 116–121. (In Chinese) [Google Scholar]
- Liu, S. Study on autogenous volume deformation of concrete mixed with MgO expansion agent. In Ecological Environment and Concrete Technology International Academic Seminar Conference Proceedings; Xinjiang West Construction Co., Ltd., China Ceramic Society Concrete and Cement Products Branch: China Ceramic Society, Beijing, China, 2005; pp. 104–109. (in Chinese) [Google Scholar]
- Zhu, B. Calculation model and test method of autogenous volume deformation of micro-expansion concrete. J. Water Conservancy 2002, 12, 18–21. (In Chinese) [Google Scholar]
- Liu, X.; Chen, B.; Liang, G. A new “equivalent age” method in MgO concrete deformation simulation. Hydropower 2007, 33, 42–44. (In Chinese) [Google Scholar]
- Zhang, G.; Jin, F.; Luo, X.; Yang, B. A simulation analysis model for magnesia micro-expansion concrete considering the effect of temperature history. J. Hydraul. Eng. 2002, 8, 29–34. (In Chinese) [Google Scholar]
- Xu, P.; Zhu, Y.; Ben, N. Autogenous volume deformation calculation model of MgO concrete based on degree of hydration. Water Resour. Hydropower Technol. 2008, 39, 22–25. (In Chinese) [Google Scholar]
- Wang, Q. Analysis of the influence of temperature on the stress compensation effect of magnesia concrete. Guangdong Water Resour. Hydropower 2014, 10, 63–65+71. (In Chinese) [Google Scholar]
- Mei, M. Research on temperature stress and effective stress method of micro-expansion concrete structure mixed with MgO. Ph.D. Thesis, Hohai University, Nanjing, China, 2005. (In Chinese). [Google Scholar]
- Lecampion, B.; Huet, B. Chemo-Poro-Mechanical Model of MgO Hydration in Hydrated Cement Paste. In Proceedings of the Poromechanics IV–4th Biot Conference on Poromechanics, Columbia University, New York, NY, USA, 8–10 June 2009; pp. 324–331. [Google Scholar]
- Feng, C.; Zhao, C.; Yu, X.; Xiong, J.; Tang, L. A Mathematical Model of the Expansion Evolution of Magnesium Oxide in Mass Concrete Based on Hydration Characteristics. Materials 2021, 14, 3162. [Google Scholar] [CrossRef]











Disclaimer/Publisher’s Note: The statements, opinions and data contained in all publications are solely those of the individual author(s) and contributor(s) and not of MDPI and/or the editor(s). MDPI and/or the editor(s) disclaim responsibility for any injury to people or property resulting from any ideas, methods, instructions or products referred to in the content. |
© 2023 by the authors. Licensee MDPI, Basel, Switzerland. This article is an open access article distributed under the terms and conditions of the Creative Commons Attribution (CC BY) license (https://creativecommons.org/licenses/by/4.0/).
Share and Cite
Lu, J.; Feng, P.; Li, H.; Tian, Q. Deformation and Cracking Resistance of MgO-Incorporated Cementitious Material: A Review. Materials 2023, 16, 500. https://doi.org/10.3390/ma16020500
Lu J, Feng P, Li H, Tian Q. Deformation and Cracking Resistance of MgO-Incorporated Cementitious Material: A Review. Materials. 2023; 16(2):500. https://doi.org/10.3390/ma16020500
Chicago/Turabian StyleLu, Jinyuan, Pan Feng, Hua Li, and Qian Tian. 2023. "Deformation and Cracking Resistance of MgO-Incorporated Cementitious Material: A Review" Materials 16, no. 2: 500. https://doi.org/10.3390/ma16020500
APA StyleLu, J., Feng, P., Li, H., & Tian, Q. (2023). Deformation and Cracking Resistance of MgO-Incorporated Cementitious Material: A Review. Materials, 16(2), 500. https://doi.org/10.3390/ma16020500
