An Orthogonal Test Study on the Preparation of Self-Compacting Underwater Non-Dispersible Concrete
Abstract
:1. Introduction
2. Materials and Methods
2.1. Raw Materials
2.2. Orthogonal Test Design
2.3. Test Methods
3. Results and Discussion
3.1. Results of the Orthogonal Test
3.2. Range and Variance Analysis
3.2.1. Workability
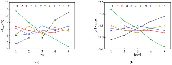
3.2.2. Non-Dispersible Performance
3.2.3. Compressive Strength
3.3. Comprehensive Optimization Analysis
4. Conclusions
- (1)
- The slump flowability of the fresh UNC had strong correlation with the flow time. With a decrease in the slump-flow, the flow time significantly grew with an exponential, however, the washout loss rate presented a linear reduction and an increase in the pH value. The optimal workability of the fresh UNC could be given with a slump, slump flow, and T500 of 280 mm, 830 mm, and 0.9 s. The washout loss rate of the fresh UNC could be limited to around 10% using a reasonable content of dispersion resistance agent.
- (2)
- According to the range and variance analysis, among the factors, including the water/binder ratio, the sand ratio, the particle size of the coarse aggregate, the content of the dispersion resistance agent, the content of the water reducer agent, and the dosage of fly ash, the water/binder ratio and the content of dispersion resistance agent were the main factors affecting the workability and dispersibility of the UNC, while the water/binder ratio and dosage of fly ash were the main factors influencing the compressive strength of the UNC.
- (3)
- The compressive strength of the UNC at the curing age of 7 days was approximately 73% of that at the curing age of 28 days.
- (4)
- With the joint fitness of the test results, formulas were proposed to predict the slump-flow and the washout loss rate of fresh UNC with the factors of the water/binder ratio and the content of the dispersion resistance agent. Meanwhile, a formula for predicting the compressive strength at the curing age of 28 days was also proposed considering the influence of the water/binder ratio and the dosage of fly ash.
Author Contributions
Funding
Institutional Review Board Statement
Informed Consent Statement
Data Availability Statement
Conflicts of Interest
References
- Xia, Z.; Lin, L.; Zhang, J.; Jiang, S. Seismic performance of underwater RC bridge piers strengthened with self-compacting concrete-filled BFRP jacket. Structures 2022, 39, 637–652. [Google Scholar] [CrossRef]
- Lu, H.; Sun, X.; Ma, H.Y. Anti-washout Concrete: An overview. Constr. Build. Mater. 2022, 344, 128151. [Google Scholar]
- Geng, H.; Ding, X.; Du, H.; Shi, J.; Li, C.; Li, X. Application of self-compacting steel fiber reinforced concrete for pervious frames used for river revetment. Appl. Sci. 2022, 15, 10457. [Google Scholar] [CrossRef]
- Jiao, L. Study on corrosion resistance of grouting materials for subsea tunnels and its engineering application. Modern Tunnel. Technol. 2022, 59, 256–262. [Google Scholar]
- Xu, J.; Wang, H. Numerical analysis of seepage characteristics and stability of cofferdam in east artificial island of Shenzhen-Zhongshan link during pumping. Tunnel Constr. 2022, 42, 168–174. [Google Scholar]
- Zhang, K.; Duan, Y.; Liu, X.; Shi, Z. Study on underwater quick repairing of lining slab. Yangtze River 2021, 52, 358–361. [Google Scholar]
- Jin, H.; Wei, Y.; Zhang, Y.; Huang, Z.; Liu, L. Compressive performance of underwater concrete columns strengthened by nondispersive mortar and stainless steel tubes. Case Studies Constr. Mater. 2023, 19, e02220. [Google Scholar] [CrossRef]
- Yu, S.Q.; Bao, S. Innovation and application of one-step forming technology under water of varied-section drilling pile. Port Waterway Eng. 2013, 6, 187–190. [Google Scholar]
- Hu, H.; Zhou, Y.; Zhang, J. Key base sealing techniques for north main pier steel cofferdam of Qingshan Changjiang River Highway bridge in Wuhan. Bridge Constr. 2021, 51, 8–13. [Google Scholar]
- Jeon, I.K.; Woo, B.H.; Yoo, D.H.; Ryou, J.S.; Kim, H.G. Evaluation of the hydration characteristics and anti-washout resistance of non-dispersible underwater concrete with nano-SiO2 and MgO. Materials 2021, 14, 1328. [Google Scholar] [CrossRef]
- Wang, Y.; Chen, S.; Qiu, L.; Nasr, A.A.; Liu, Y. Experimental study on the slump-flow underwater for anti-washout concrete. Constr. Build. Mater. 2023, 365, 130026. [Google Scholar] [CrossRef]
- Zhang, Y.; Dong, Y. Effect of fly ash and silica fume on the performance of underwater self-compacting concrete. Concrete 2021, 10, 133–137. [Google Scholar]
- Dong, Y.; Zhang, Y. Study on mixing ratio design and performance of non-dispersible underwater concrete for channel lining slab. Water Resou. Hydropower Eng. 2020, 51, 147–156. [Google Scholar]
- Heniegal, A.M.A.; Maaty, A.A.E.S.; Agwa, I.S. Influence of anti washout admixtures and coarse aggregate types on self-flowing underwater concrete properties. Intern. J. Civ. Struct. Eng. 2016, 6, 245–262. [Google Scholar]
- Assaad, J.J.; Issa, C.A. Mechanisms of strength loss in underwater concrete. Mater. Struct. 2013, 46, 1613–1629. [Google Scholar] [CrossRef]
- Wen, Y.X.; Zhou, W.; Tang, J.W. Study on anti-scouring performance of freshly poured anti-washout concrete. Water Resour. Hydropower Eng. 2021, 52, 200–211. [Google Scholar]
- Zaidi, F.H.A.; Ahmad, R.; Abdullah, M.M.A.B.; Rahim, S.Z.A.; Yahya, Z.; Li, L.; Ediati, R. Geopolymer as underwater concreting material: A review. Constr. Build. Mater. 2021, 291, 123276. [Google Scholar] [CrossRef]
- Zhang, Y.; Sun, G.; Zhang, G.; Wang, C.; Wang, Y. Optimization and prediction for anti-washout ability of underwater concrete based on factorial design. J. Build. Mater. 2022, 25, 509–515. [Google Scholar]
- Zhang, M.; Zhou, M.; Huang, J.; Yang, D. Flocculants and adjuvants on shear stress and viscosity of cement paste. Bulletin Chinese Ceramic Soci. 2016, 35, 694–699. [Google Scholar]
- Nasr, A.A.; Chen, S.; Wang, Y.; Jin, F.; Qiu, L. Strength evaluation of a new underwater concrete type. Case Studies Constr. Mater. 2022, 16, e00884. [Google Scholar] [CrossRef]
- Kumar, B.G.; Muthu, M.; Chajec, A.; Sadowski, L.; Govindaraj, V. The effect of silica fume on the washout resistance of environmentally friendly underwater concrete with a high-volume of siliceous fly ash. Constr. Build. Mater. 2022, 327, 127058. [Google Scholar] [CrossRef]
- Li, C.; Wang, F.; Deng, X.; Li, Y.; Zhao, S. Testing and prediction of the strength development of recycled-aggregate concrete with large particle natural aggregate. Materials 2019, 12, 1891. [Google Scholar] [CrossRef] [PubMed]
- Ma, J.; Wang, D.; Zhao, S.; Duan, P.; Yang, S. Influence of particle morphology of ground fly ash on the fluidity and strength of cement paste. Materials 2021, 14, 283. [Google Scholar] [CrossRef] [PubMed]
- Li, C.; Geng, H.; Zhou, S.; Dai, M.; Sun, B.; Li, F. Experimental study on preparation and performance of concrete with large content of fly-ash. Front. Mater. 2022, 8, 764820. [Google Scholar] [CrossRef]
- Liu, S.; Zhu, M.; Ding, X.; Ren, Z.; Zhao, S.; Zhao, M.; Dang, J. High-durability concrete with supplementary cementitious admixtures used in corrosive environment. Crystals 2021, 11, 196. [Google Scholar] [CrossRef]
- Qu, F.; Zhang, J.; Liu, G.; Zhao, S. Experimental study on chloride-ion diffusion in concrete affected by exposure conditions. Materials 2022, 15, 2917. [Google Scholar] [CrossRef] [PubMed]
- GB175-2007; Common Portland Cement. China Standard Press: Beijing, China, 2007.
- GB/T 50146-2014; Technique Code for Application of Fly Ash Concrete. China Standard Press: Beijing, China, 2014.
- JGJ 52-2006; Standard for Technical Requirements and Test Method of Sand and Crushed Stone (or Gravel) for Ordinary Concrete. China Building Industry Press: Beijing, China, 2006.
- Zhao, M.; Ding, X.; Li, J.; Law, D. Numerical analysis of mix proportion of self-compacting concrete compared to ordinary concrete. Key Eng. Mater. 2018, 789, 69–75. [Google Scholar] [CrossRef]
- Ding, X.; Zhao, M.; Qiu, X.; Wang, Y.; Ru, Y. The optimization of mix proportion design for SCC: Experimental study and grey relational analysis. Materials 2022, 15, 1305. [Google Scholar] [CrossRef]
- GB/T 50080-2016; Standard for Test Method of Performance on Ordinary Fresh Concrete. China Building Industry Press: Beijing, China, 2016.
- JGJ/T 283-2012; Technical Specification for Application of Self-compacting Concrete. China Building Industry Press: Beijing, China, 2012.
- CRD C61-89A; Test Method for Determining the Resistance of Freshly-Mixed Concrete to Washing-Out in Water. U.S. Army Experiment Station: Vicksburg, MS, USA, 1989.
- DL/T 5117-2021; Test Code on Anti-Washout Underwater Concrete. China Electric Power Press: Beijing, China, 2021.
- Zhao, M.; Dai, M.; Li, J.; Li, C. Case study on performance of pumping concrete with super-fine river-sand and manufactured-sand. Case Stud. Constr. Mater. 2023, 18, e01850. [Google Scholar] [CrossRef]
- Zhao, M.; Li, C.; Li, J.; Yue, L. Experimental study on performance of steel fiber reinforced concrete for remote-pumping construction. Materials 2023, 16, 3666. [Google Scholar] [CrossRef]
- Khayat, K.H.; Yahia, A.; Sonebi, M. Applications of statistical models for proportioning underwater concrete. ACI Mater. J. 1999, 96, 634–641. [Google Scholar]
- Yahia, A.; Khayat, K.H. Experiment design to evaluate interaction of high-range water-reducer and antiwashout admixture in high-performance cement grout. Cem. Concr. Res. 2001, 31, 749–757. [Google Scholar] [CrossRef]
- Ding, X.; Li, C.; Xu, Y.; Li, F.; Zhao, S. Experimental study on long-term compressive strength of concrete with manufactured sand. Constr. Build. Mater. 2016, 108, 67–73. [Google Scholar] [CrossRef]
- Ge, Z.; Gao, Z.; Sun, R.; Zheng, L. Mix design of concrete with recycled clay-brick-powder using the orthogonal design method. Constr. Build. Mater. 2012, 31, 289–293. [Google Scholar] [CrossRef]
- Li, J.; Yang, F.; Zhang, H.; Wu, Z.; Tian, Y.; Hou, X.; Xu, Y.; Ren, J. Comparative analysis of different valve timing control methods for single-piston free piston expander-linear generator via an orthogonal experimental design. Constr. Build. Mater. 2020, 195, 116966. [Google Scholar] [CrossRef]
- Xiao, S.; Zhang, M.; Zou, D.; Liu, T.; Zhou, A.; Li, J. Influence of seawater and sea sand on the performance of Anti-washout underwater concrete: The overlooked significance of Mg2+. Constr. Build. Mater. 2023, 374, 130932. [Google Scholar] [CrossRef]
- Sikandar, M.A.; Wazir, N.R.; Khan, A.; Nasir, H.; Ahmad, W.; Alam, M. Effect of various anti-washout admixtures on the properties of non-dispersible underwater concrete. Constr. Build. Mater. 2020, 245, 118469. [Google Scholar] [CrossRef]
- Sun, G.; Wang, P.; Zhang, Y.; Yan, N. Research progress on performance of anti-washout underwater concrete. Mater. Rep. 2021, 35, 3092–3103. [Google Scholar]
- Sun, G.; Zhang, Y.; Yan, N.; Wang, Y.; Li, Z. Study progress on design and characterization of anti-washout ability of anti-washout underwater concrete. Mater. Rep. 2022, 36, 91–101. [Google Scholar]
- Govin, A.; Bartholin, M.; Schmidt, W.; Grosseau, P. Combination of superplasticizers with hydroxypropyl guar, effect on cement-paste properties. Constr. Build. Mater. 2019, 215, 595–604. [Google Scholar]










| Compositions | Percent of Chemical Composition (%) | ||||||
|---|---|---|---|---|---|---|---|
| CaO | SiO2 | MgO | Al2O3 | Fe2O3 | SO3 | LOI | |
| Cement | 62.3 | 19.7 | 2.3 | 5.3 | 3.4 | 3.3 | 3.7 |
| Fly ash | 6.2 | 59.2 | 3.8 | 20.1 | 5.3 | 3.1 | 2.3 |
| Level | Factors | |||||
|---|---|---|---|---|---|---|
| A | B | C | D | E | F | |
| w/b | βs (%) | dca (mm) | PDRA (%) | PSP (%) | PFA (%) | |
| ① | 0.38 | 40 | 10 | 1.0 | 0.8 | 0 |
| ② | 0.41 | 45 | 16 | 1.5 | 1.0 | 10 |
| ③ | 0.44 | 50 | 20 | 2.0 | 1.2 | 20 |
| ④ | 0.48 | 55 | 25 | 2.5 | 1.4 | 30 |
| ⑤ | 0.52 | 60 | 31.5 | 3.0 | 1.6 | 40 |
| Factor | Trial Number | ||||||||||||||||||||||||
|---|---|---|---|---|---|---|---|---|---|---|---|---|---|---|---|---|---|---|---|---|---|---|---|---|---|
| 1 | 2 | 3 | 4 | 5 | 6 | 7 | 8 | 9 | 10 | 11 | 12 | 13 | 14 | 15 | 16 | 17 | 18 | 19 | 20 | 21 | 22 | 23 | 24 | 25 | |
| A | ① | ① | ① | ① | ① | ② | ② | ② | ② | ② | ③ | ③ | ③ | ③ | ③ | ④ | ④ | ④ | ④ | ④ | ⑤ | ⑤ | ⑤ | ⑤ | ⑤ |
| B | ① | ② | ③ | ④ | ⑤ | ① | ② | ③ | ④ | ⑤ | ① | ② | ③ | ④ | ⑤ | ① | ② | ③ | ④ | ⑤ | ① | ② | ③ | ④ | ⑤ |
| C | ① | ② | ③ | ④ | ⑤ | ② | ③ | ④ | ⑤ | ① | ③ | ④ | ⑤ | ① | ② | ④ | ⑤ | ① | ② | ③ | ⑤ | ① | ② | ③ | ④ |
| D | ① | ② | ③ | ④ | ⑤ | ③ | ④ | ⑤ | ① | ② | ⑤ | ① | ② | ③ | ④ | ② | ③ | ④ | ⑤ | ① | ④ | ⑤ | ① | ② | ③ |
| E | ① | ② | ③ | ④ | ⑤ | ④ | ⑤ | ① | ② | ③ | ② | ③ | ④ | ⑤ | ① | ⑤ | ① | ② | ③ | ④ | ③ | ④ | ⑤ | ① | ② |
| F | ① | ② | ③ | ④ | ⑤ | ⑤ | ① | ② | ③ | ④ | ④ | ⑤ | ① | ② | ③ | ③ | ④ | ⑤ | ① | ② | ② | ③ | ④ | ⑤ | ① |
| No. | Workability | Anti-Dispersion | Compressive Strength | |||||
|---|---|---|---|---|---|---|---|---|
| S (mm) | SF (mm) | Tsf (s) | Washout Loss (%) | pH | fcu (MPa) | |||
| T400 | T500 | 7 d | 28 d | |||||
| 1 | 260 | 545 | 10.6 | 39.9 | 10.4 | 11.9 | 49.4 | 61.6 |
| 2 | 255 | 505 | 24.1 | - | 6.7 | 11.2 | 45.4 | 55.9 |
| 3 | 260 | 505 | 19.1 | - | 4.6 | 10.7 | 43.2 | 51.7 |
| 4 | 250 | 480 | 20.9 | - | 3.7 | 10.4 | 37.0 | 49.6 |
| 5 | 240 | 415 | 38.0 | - | 2.6 | 10.1 | 32.0 | 42.1 |
| 6 | 265 | 540 | 11.0 | 51.5 | 7.2 | 11.4 | 26.5 | 41.4 |
| 7 | 255 | 520 | 18.0 | 59.4 | 5.4 | 11.0 | 38.5 | 53.9 |
| 8 | 250 | 455 | 25.0 | - | 3.4 | 10.3 | 37.7 | 51.1 |
| 9 | 270 | 670 | 2.8 | 6.6 | 12.0 | 11.5 | 37.4 | 48.6 |
| 10 | 270 | 595 | 5.7 | 20.3 | 9.2 | 11.2 | 32.2 | 46.4 |
| 11 | 245 | 445 | 29.1 | - | 4.6 | 10.8 | 28.7 | 41.4 |
| 12 | 275 | 715 | 1.8 | 3.7 | 12.9 | 12.4 | 23.7 | 38.2 |
| 13 | 270 | 700 | 2.4 | 4.7 | 9.2 | 11.6 | 39.0 | 52.2 |
| 14 | 275 | 545 | 7.3 | 33.7 | 6.4 | 11.4 | 35.5 | 48.7 |
| 15 | 265 | 505 | 11.6 | 59.6 | 3.7 | 10.6 | 32.8 | 45.4 |
| 16 | 265 | 725 | 1.5 | 2.9 | 15.8 | 12.1 | 26.0 | 39.2 |
| 17 | 255 | 650 | 4.8 | 10.5 | 14.8 | 11.8 | 23.7 | 37.8 |
| 18 | 265 | 575 | 4.2 | 20.1 | 6.5 | 11.2 | 21.8 | 33.5 |
| 19 | 260 | 535 | 8.0 | 44.1 | 5.0 | 10.9 | 34.2 | 44.1 |
| 20 | 270 | 740 | 1.3 | 2.8 | 21.9 | 12.5 | 34.0 | 40.2 |
| 21 | 260 | 625 | 3.0 | 8.6 | 15.9 | 11.3 | 28.2 | 40.5 |
| 22 | 265 | 575 | 6.7 | 22.0 | 8.1 | 11.0 | 22.4 | 35.2 |
| 23 | 280 | 830 | 0.8 | 0.9 | 20.3 | 12.8 | 18.4 | 28.7 |
| 24 | 270 | 815 | 1.0 | 1.2 | 18.5 | 12.4 | 16.1 | 24.7 |
| 25 | 265 | 685 | 1.4 | 4.5 | 12.3 | 11.8 | 28.5 | 40.3 |
| Factors | S (mm) | SF (mm) | T400 (s) | |||||||||||||||
|---|---|---|---|---|---|---|---|---|---|---|---|---|---|---|---|---|---|---|
| A | B | C | D | E | F | A | B | C | D | E | F | A | B | C | D | E | F | |
| k1 | 253 | 259 | 267 | 271 | 260 | 262 | 490 | 576 | 567 | 700 | 594 | 597 | 30.5 | 12.4 | 6.9 | 3.4 | 10.5 | 8.1 |
| k2 | 262 | 261 | 265 | 266 | 260 | 262 | 556 | 593 | 583 | 668 | 576 | 574 | 12.5 | 17.1 | 17.0 | 12.9 | 19.7 | 18.1 |
| k3 | 266 | 265 | 260 | 264 | 265 | 265 | 582 | 613 | 605 | 585 | 595 | 596 | 11.9 | 10.3 | 15.0 | 8.7 | 7.5 | 8.3 |
| k4 | 263 | 265 | 261 | 259 | 264 | 260 | 645 | 609 | 612 | 541 | 607 | 600 | 4.0 | 7.9 | 10.1 | 11.5 | 8.5 | 13.6 |
| k5 | 268 | 262 | 259 | 252 | 263 | 263 | 706 | 588 | 612 | 485 | 607 | 612 | 2.5 | 13.6 | 12.2 | 24.8 | 15.1 | 13.1 |
| R | 15 | 6 | 8 | 19 | 5 | 5 | 216 | 37 | 45 | 215 | 31 | 38 | 28.1 | 9.2 | 10.1 | 21.4 | 12.2 | 10.1 |
| Ranking | D > A > C > B > E = F | A > D > C > F > B > E | A > D > E > C > F > B | |||||||||||||||
| SS | 666 | 136 | 236 | 1046 | 106 | 66 | 137,664 | 4654 | 8014 | 157,334 | 3234 | 3784 | 1269.9 | 40.5 | 117.4 | 922.9 | 116.4 | 83.7 |
| df | 4 | 4 | 4 | 4 | 4 | 4 | 4 | 4 | 4 | 4 | 4 | 4 | 4 | 4 | 4 | 4 | 4 | 4 |
| F-value | 10.1 | 2.1 | 3.6 | 15.8 | 1.6 | 1.0 | 42.6 | 1.4 | 2.5 | 48.6 | 1.0 | 1.2 | 31.4 | 1.0 | 2.9 | 22.8 | 2.99 | 2.1 |
| Significance | ★ | ★ | ★★ | ★★ | ★★ | ★★ | ||||||||||||
| Factors | Mloss (%) | pH Value | ||||||||||
|---|---|---|---|---|---|---|---|---|---|---|---|---|
| A | B | C | D | E | F | A | B | C | D | E | F | |
| k1 | 5.6 | 10.8 | 8.1 | 15.5 | 10.2 | 8.5 | 10.9 | 11.5 | 11.3 | 12.2 | 11.4 | 11.5 |
| k2 | 7.4 | 9.6 | 8.6 | 11.9 | 8.4 | 10.9 | 11.1 | 11.5 | 11.4 | 11.7 | 11.3 | 11.3 |
| k3 | 7.4 | 8.8 | 11.0 | 9.1 | 9.5 | 8.8 | 11.4 | 11.3 | 11.5 | 11.4 | 11.3 | 11.2 |
| k4 | 12.8 | 9.1 | 9.6 | 7.0 | 10.0 | 10.5 | 11.7 | 11.3 | 11.4 | 10.9 | 11.4 | 11.4 |
| k5 | 15.0 | 9.9 | 10.9 | 4.7 | 10.1 | 9.5 | 11.9 | 11.2 | 11.3 | 10.6 | 11.5 | 11.5 |
| R | 9.4 | 2.0 | 2.9 | 10.8 | 1.7 | 2.4 | 1.00 | 0.26 | 0.23 | 1.60 | 0.19 | 0.32 |
| Ranking | D > A > C > F > B > E | D > A > F > B > C > E | ||||||||||
| SS | 326.1 | 12.0 | 34.4 | 353.4 | 10.8 | 21.5 | 3.47 | 0.26 | 0.14 | 8.08 | 0.12 | 0.31 |
| df | 4 | 4 | 4 | 4 | 4 | 4 | 4 | 4 | 4 | 4 | 4 | 4 |
| F-value | 30.3 | 1.1 | 3.2 | 32.8 | 1.0 | 2.0 | 28.2 | 2.1 | 1.1 | 65.7 | 1.0 | 2.5 |
| Significance | ★★ | ★★ | ★★ | ★★ | ||||||||
| Factors | 7 d Compressive Strength (MPa) | 28 d Compressive Strength (MPa) | ||||||||||
|---|---|---|---|---|---|---|---|---|---|---|---|---|
| A | B | C | D | E | F | A | B | C | D | E | F | |
| k1 | 41.4 | 31.8 | 32.3 | 32.6 | 31.9 | 37.9 | 52.2 | 44.8 | 45.1 | 43.5 | 44.1 | 50.4 |
| k2 | 34.5 | 30.8 | 31.5 | 31.8 | 32.4 | 36.2 | 48.3 | 44.2 | 43.1 | 43.7 | 44.0 | 47.3 |
| k3 | 32.0 | 32.0 | 32.1 | 31.5 | 32.3 | 32.4 | 45.2 | 43.4 | 42.4 | 44.0 | 44.2 | 44.0 |
| k4 | 28.0 | 32.1 | 30.6 | 31.7 | 31.8 | 28.0 | 39.0 | 43.1 | 43.7 | 44.6 | 43.7 | 40.8 |
| k5 | 22.7 | 31.9 | 32.1 | 31.0 | 30.1 | 24.0 | 33.9 | 42.9 | 44.3 | 42.8 | 42.5 | 36.0 |
| R | 18.7 | 1.3 | 1.7 | 1.6 | 2.3 | 13.9 | 18.3 | 2.0 | 2.7 | 1.8 | 1.7 | 14.4 |
| Ranking | A > F > E > C > D > B | A > F > C > B > D > E | ||||||||||
| SS | 985.5 | 6.0 | 9.6 | 6.5 | 17.6 | 657.9 | 1068.4 | 13.0 | 21.6 | 8.9 | 9.7 | 630.5 |
| df | 4 | 4 | 4 | 4 | 4 | 4 | 4 | 4 | 4 | 4 | 4 | 4 |
| F-value | 165.6 | 1.0 | 1.6 | 1.1 | 3.0 | 110.6 | 120.6 | 1.5 | 2.4 | 1.0 | 1.1 | 71.2 |
| Significance | ★★ | ★★ | ★★ | ★★ | ||||||||
Disclaimer/Publisher’s Note: The statements, opinions and data contained in all publications are solely those of the individual author(s) and contributor(s) and not of MDPI and/or the editor(s). MDPI and/or the editor(s) disclaim responsibility for any injury to people or property resulting from any ideas, methods, instructions or products referred to in the content. |
© 2023 by the authors. Licensee MDPI, Basel, Switzerland. This article is an open access article distributed under the terms and conditions of the Creative Commons Attribution (CC BY) license (https://creativecommons.org/licenses/by/4.0/).
Share and Cite
Geng, H.; Wang, H.; Li, X.; Wang, L.; Zhong, H.; Li, C. An Orthogonal Test Study on the Preparation of Self-Compacting Underwater Non-Dispersible Concrete. Materials 2023, 16, 6599. https://doi.org/10.3390/ma16196599
Geng H, Wang H, Li X, Wang L, Zhong H, Li C. An Orthogonal Test Study on the Preparation of Self-Compacting Underwater Non-Dispersible Concrete. Materials. 2023; 16(19):6599. https://doi.org/10.3390/ma16196599
Chicago/Turabian StyleGeng, Haibin, Huijuan Wang, Xiaoke Li, Lin Wang, Hao Zhong, and Changyong Li. 2023. "An Orthogonal Test Study on the Preparation of Self-Compacting Underwater Non-Dispersible Concrete" Materials 16, no. 19: 6599. https://doi.org/10.3390/ma16196599
APA StyleGeng, H., Wang, H., Li, X., Wang, L., Zhong, H., & Li, C. (2023). An Orthogonal Test Study on the Preparation of Self-Compacting Underwater Non-Dispersible Concrete. Materials, 16(19), 6599. https://doi.org/10.3390/ma16196599

