Controlled Dispersion and Transmission-Absorption of Optical Energy through Scaled Metallic Plate Structures
Abstract
:1. Introduction
2. Structure Design and Theoretical Model
Theoretical Model: Rigorous Coupled Wave Analysis Model
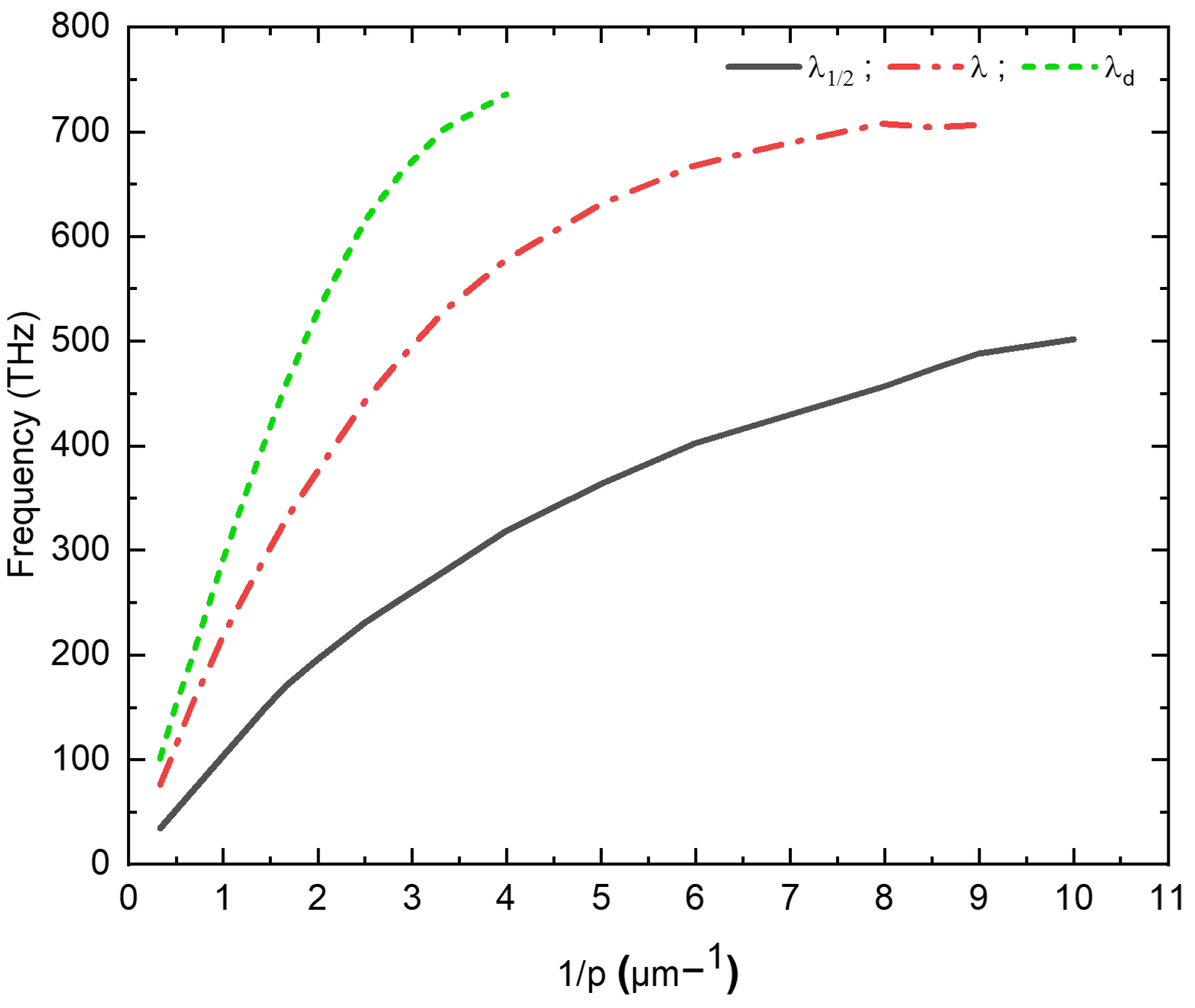
3. Results and Discussion
4. Conclusions
Author Contributions
Funding
Institutional Review Board Statement
Informed Consent Statement
Data Availability Statement
Conflicts of Interest
References
- Kang, J.H.; Kim, D.S.; Seo, M. Terahertz wave interaction with metallic nanostructures. Nanophotonics 2018, 7, 763–793. [Google Scholar] [CrossRef]
- Sannomiya, T.; Scholder, O.; Jefimovs, K.; Hafner, C.; Dahlin, A.B. Investigation of plasmon resonances in metal films with nanohole arrays for biosensing applications. Small 2011, 7, 1653–1663. [Google Scholar] [CrossRef]
- Wenger, T.; Soibel, A. Design of high-transmission plasmonic wavelength and polarization filters for infrared photodetectors. In Proceedings of the 2020 Fourteenth International Congress on Artificial Materials for Novel Wave Phenomena (Metamaterials), New York, NY, USA, 28 September–3 October 2020; pp. 465–467. [Google Scholar]
- Masouleh, F.F.; Das, N.; Mashayekhi, H.R. Comparison of different plasmonic nanograting profiles for quality light absorption in nanostructured metal-semiconductor-metal photodetectors. Opt. Eng. 2013, 52, 127101. [Google Scholar] [CrossRef]
- Yao, B.; Zang, X.; Li, Z.; Chen, L.; Xie, J.; Zhu, Y.; Zhuang, S. Dual-layered metasurfaces for asymmetric focusing. Photonics Res. 2020, 8, 830–843. [Google Scholar] [CrossRef]
- Zhu, Y.; Yuan, W.; Li, W.; Sun, H.; Qi, K.; Yu, Y. TE-polarized design for metallic slit lenses: A way to deep-subwavelength focusing over a broad wavelength range. Opt. Lett. 2018, 43, 206–209. [Google Scholar] [CrossRef]
- Colombelli, A.; Lospinoso, D.; Rella, R.; Manera, M.G. Shape modulation of plasmonic nanostructures by unconventional lithographic technique. Nanomaterials 2022, 12, 547. [Google Scholar] [CrossRef] [PubMed]
- Bethe, H.A. Theory of diffraction by small holes. Phys. Rev. 1944, 66, 163. [Google Scholar] [CrossRef]
- Gorkunov, M.; Podivilov, E.; Sturman, B. Transmission and scattering properties of subwavelength slits in metals. Phys. Rev. B 2011, 83, 035414. [Google Scholar] [CrossRef]
- Ebbesen, T.W.; Lezec, H.J.; Ghaemi, H.; Thio, T.; Wolff, P.A. Extraordinary optical transmission through sub-wavelength hole arrays. Nature 1998, 391, 667–669. [Google Scholar] [CrossRef]
- Ebbesen, T.; Genet, C. Light in tiny holes. Nature 2007, 445, 39–46. [Google Scholar]
- Yang, F.; Sambles, J.R. Resonant transmission of microwaves through a narrow metallic slit. Phys. Rev. Lett. 2002, 89, 063901. [Google Scholar] [CrossRef] [PubMed]
- Astilean, S.; Lalanne, P.; Palamaru, M. Light transmission through metallic channels much smaller than the wavelength. Opt. Commun. 2000, 175, 265–273. [Google Scholar] [CrossRef]
- Amoudache, S.; Moiseyenko, R.; Pennec, Y.; Rouhani, B.D.; Khater, A.; Lucklum, R.; Tigrine, R. Optical and acoustic sensing using Fano-like resonances in dual phononic and photonic crystal plate. J. Appl. Phys. 2016, 119, 114502. [Google Scholar] [CrossRef]
- García-Vidal, F.; Martín-Moreno, L.; Moreno, E.; Kumar, L.; Gordon, R. Transmission of light through a single rectangular hole in a real metal. Phys. Rev. B 2006, 74, 153411. [Google Scholar] [CrossRef]
- Bravo-Abad, J.; Martin-Moreno, L.; Garcia-Vidal, F. Transmission properties of a single metallic slit: From the subwavelength regime to the geometrical-optics limit. Phys. Rev. E 2004, 69, 026601. [Google Scholar] [CrossRef] [PubMed]
- Nikitin, A.Y.; Zueco, D.; García-Vidal, F.; Martín-Moreno, L. Electromagnetic wave transmission through a small hole in a perfect electric conductor of finite thickness. Phys. Rev. B 2008, 78, 165429. [Google Scholar] [CrossRef]
- Shi, H.; Du, C.; Luo, X. Focal length modulation based on a metallic slit surrounded with grooves in curved depths. Appl. Phys. Lett. 2007, 91, 093111. [Google Scholar] [CrossRef]
- Huang, B.; Luo, Z.; Wu, X.; Yang, H.; He, G. Transmission of light through slits array in a metal–insulator–metal structure. Opt. Commun. 2017, 383, 165–168. [Google Scholar] [CrossRef]
- Xie, Y.; Zakharian, A.R.; Moloney, J.V.; Mansuripur, M. Transmission of light through a periodic array of slits in a thick metallic film. Opt. Express 2005, 13, 4485–4491. [Google Scholar] [CrossRef]
- Fernández-Domínguez, A.; García-Vidal, F.; Martín-Moreno, L. Resonant transmission of light through finite arrays of slits. Phys. Rev. B 2007, 76, 235430. [Google Scholar] [CrossRef]
- Ruan, Z.; Qiu, M. Nonlinear Dynamics, Fluid Dynamics, Classical Optics, etc.-Enhanced Transmission through Periodic Arrays of Subwavelength Holes: The Role of Localized Waveguide Resonances. Phys. Rev. Lett. 2006, 96, 233901–234300. [Google Scholar] [CrossRef]
- Martin-Moreno, L.; Garcia-Vidal, F.; Lezec, H.; Pellerin, K.; Thio, T.; Pendry, J.; Ebbesen, T. Theory of extraordinary optical transmission through subwavelength hole arrays. Phys. Rev. Lett. 2001, 86, 1114. [Google Scholar] [CrossRef]
- Gordon, R.; Brolo, A.G. Increased cut-off wavelength for a subwavelength hole in a real metal. Opt. Express 2005, 13, 1933–1938. [Google Scholar] [CrossRef] [PubMed]
- Theuer, M.; Shutler, A.; Harsha, S.S.; Beigang, R.; Grischkowsky, D. Terahertz two-cylinder waveguide coupler for transverse-magnetic and transverse-electric mode operation. Appl. Phys. Lett. 2011, 98, 071108. [Google Scholar] [CrossRef]
- Chimento, P.F.; Kuzmin, N.V.; Bosman, J.; Alkemade, P.F.; Gert, W.; Eliel, E.R. A subwavelength slit as a quarter-wave retarder. Opt. Express 2011, 19, 24219–24227. [Google Scholar] [CrossRef]
- Garcia-Vidal, F.J.; Martin-Moreno, L.; Ebbesen, T.; Kuipers, L. Light passing through subwavelength apertures. Rev. Mod. Phys. 2010, 82, 729. [Google Scholar] [CrossRef]
- Garcia-Vidal, F.; Moreno, E.; Porto, J.; Martin-Moreno, L. Transmission of light through a single rectangular hole. Appl. Phys. Lett. 2005, 95, 103901. [Google Scholar] [CrossRef] [PubMed]
- Ferri, F.A.; Rivera, V.A.; Osorio, S.P.; Silva, O.B.; Zanatta, A.R.; Borges, B.H.V.; Weiner, J.; Marega, E., Jr. Influence of film thickness on the optical transmission through subwavelength single slits in metallic thin films. Appl. Opt. 2011, 50, G11–G16. [Google Scholar] [CrossRef]
- Takakura, Y. Optical resonance in a narrow slit in a thick metallic screen. Phys. Rev. Lett. 2001, 86, 5601. [Google Scholar] [CrossRef]
- Shen, J.T.; Catrysse, P.B.; Fan, S. Mechanism for designing metallic metamaterials with a high index of refraction. Phys. Rev. Lett. 2005, 94, 197401. [Google Scholar] [CrossRef]
- Hsieh, B.Y.; Jarrahi, M. Analysis of periodic metallic nano-slits for efficient interaction of terahertz and optical waves at nano-scale dimensions. J. Appl. Phys. 2011, 109, 084326. [Google Scholar] [CrossRef]
- Porto, J.; Garcia-Vidal, F.; Pendry, J. Transmission resonances on metallic gratings with very narrow slits. Phys. Rev. Lett. 1999, 83, 2845. [Google Scholar] [CrossRef]
- Barbara, A.; Quémerais, P.; Bustarret, E.; Lopez-Rios, T. Optical transmission through subwavelength metallic gratings. Phys. Rev. B 2002, 66, 161403. [Google Scholar] [CrossRef]
- Cao, Q.; Lalanne, P. Negative role of surface plasmons in the transmission of metallic gratings with very narrow slits. Phys. Rev. Lett. 2002, 88, 057403. [Google Scholar] [CrossRef] [PubMed]
- Lee, K.; Park, Q.H. Coupling of surface plasmon polaritons and light in metallic nanoslits. Phys. Rev. Lett. 2005, 95, 103902. [Google Scholar] [CrossRef] [PubMed]
- Suckling, J.R.; Hibbins, A.P.; Lockyear, M.J.; Preist, T.; Sambles, J.R.; Lawrence, C.R. Finite conductance governs the resonance transmission of thin metal slits at microwave frequencies. Phys. Rev. Lett. 2004, 92, 147401. [Google Scholar] [CrossRef] [PubMed]
- Yoo, S.; Park, J.E.; Choo, H. Resonant transmission through periodic subwavelength real metal slits in the terahertz range. IEICE Electron. Express 2018, 15, 20180612. [Google Scholar] [CrossRef]
- Park, J.E.; Teixeira, F.; Borges, B.H. Analysis of deep-subwavelength Au and Ag slit transmittances at terahertz frequencies. JOSA B 2016, 33, 1355–1364. [Google Scholar] [CrossRef]
- Mangach, H.; El Badri, Y.; Hmima, A.; Bouzid, A.; Achaoui, Y.; Zeng, S. Asymmetrical Dimer Photonic Crystals Enabling Outstanding Optical Sensing Performance. Nanomaterials 2023, 13, 375. [Google Scholar] [CrossRef]
- Mangach, H.; Achaoui, Y.; Kadic, M.; Bouzid, A.; Guenneau, S.; Zeng, S. Polarization State Conversion through Chiral Butterfly Meta-Structure. arXiv 2023, arXiv:2304.08169. [Google Scholar]
- Baskourelos, K.; Tsilipakos, O.; Stefański, T.; Galata, S.; Economou, E.; Kafesaki, M.; Tsakmakidis, K.L. Topological extraordinary optical transmission. Phys. Rev. Res. 2022, 4, L032011. [Google Scholar] [CrossRef]
- Cai, W.; Fan, Y.; Fu, Q.; Yang, R.; Zhu, W.; Zhang, Y.; Zhang, F. Nonlinearly tunable extraordinary optical transmission in a hybird metamaterial. J. Phys. D Appl. Phys. 2022, 55, 195106. [Google Scholar] [CrossRef]
- Chen, Z.; Li, P.; Zhang, S.; Chen, Y.; Liu, P.; Duan, H. Enhanced extraordinary optical transmission and refractive-index sensing sensitivity in tapered plasmonic nanohole arrays. Nanotechnology 2019, 30, 335201. [Google Scholar] [CrossRef]
- Lee, S.; Brueck, S. Analysis of Fano lineshape in extraordinary optical transmission. Opt. Lett. 2022, 47, 2020–2023. [Google Scholar] [CrossRef]
- Camacho, M.; Boix, R.R.; Medina, F.; Hibbins, A.P.; Sambles, J.R. On the extraordinary optical transmission in parallel plate waveguides for non-TEM modes. Opt. Express 2017, 25, 24670–24677. [Google Scholar] [CrossRef]
- Johnson, P.B.; Christy, R.W. Optical constants of the noble metals. Phys. Rev. B 1972, 6, 4370. [Google Scholar] [CrossRef]
- Moharam, M.; Grann, E.B.; Pommet, D.A.; Gaylord, T. Formulation for stable and efficient implementation of the rigorous coupled-wave analysis of binary gratings. JOSA 1995, 12, 1068–1076. [Google Scholar] [CrossRef]
- Aspnes, D. Local-field effects and effective-medium theory: A microscopic perspective. Am. J. Phys. 1982, 50, 704–709. [Google Scholar] [CrossRef]
- Treacy, M. Dynamical diffraction in metallic optical gratings. Appl. Phys. Lett. 1999, 75, 606–608. [Google Scholar] [CrossRef]
- Bouwkamp, C.J. Diffraction theory. Rep. Prog. Phys. 1954, 17, 35. [Google Scholar] [CrossRef]








Disclaimer/Publisher’s Note: The statements, opinions and data contained in all publications are solely those of the individual author(s) and contributor(s) and not of MDPI and/or the editor(s). MDPI and/or the editor(s) disclaim responsibility for any injury to people or property resulting from any ideas, methods, instructions or products referred to in the content. |
© 2023 by the authors. Licensee MDPI, Basel, Switzerland. This article is an open access article distributed under the terms and conditions of the Creative Commons Attribution (CC BY) license (https://creativecommons.org/licenses/by/4.0/).
Share and Cite
Oubeniz, H.; Belkacem, A.; Mangach, H.; Kadic, M.; Bouzid, A.; Achaoui, Y. Controlled Dispersion and Transmission-Absorption of Optical Energy through Scaled Metallic Plate Structures. Materials 2023, 16, 6146. https://doi.org/10.3390/ma16186146
Oubeniz H, Belkacem A, Mangach H, Kadic M, Bouzid A, Achaoui Y. Controlled Dispersion and Transmission-Absorption of Optical Energy through Scaled Metallic Plate Structures. Materials. 2023; 16(18):6146. https://doi.org/10.3390/ma16186146
Chicago/Turabian StyleOubeniz, Hammou, Abdelhaq Belkacem, Hicham Mangach, Muamer Kadic, Abdenbi Bouzid, and Younes Achaoui. 2023. "Controlled Dispersion and Transmission-Absorption of Optical Energy through Scaled Metallic Plate Structures" Materials 16, no. 18: 6146. https://doi.org/10.3390/ma16186146
APA StyleOubeniz, H., Belkacem, A., Mangach, H., Kadic, M., Bouzid, A., & Achaoui, Y. (2023). Controlled Dispersion and Transmission-Absorption of Optical Energy through Scaled Metallic Plate Structures. Materials, 16(18), 6146. https://doi.org/10.3390/ma16186146

