Preparation of Denitrification Materials with Nickel Slag for Nitric Oxide Decomposition in Cement Kilns
Abstract
:1. Introduction
2. Materials and Methods
2.1. Preparation of Denitrification Materials
2.2. Denitrification Performance Test
2.3. Characterization
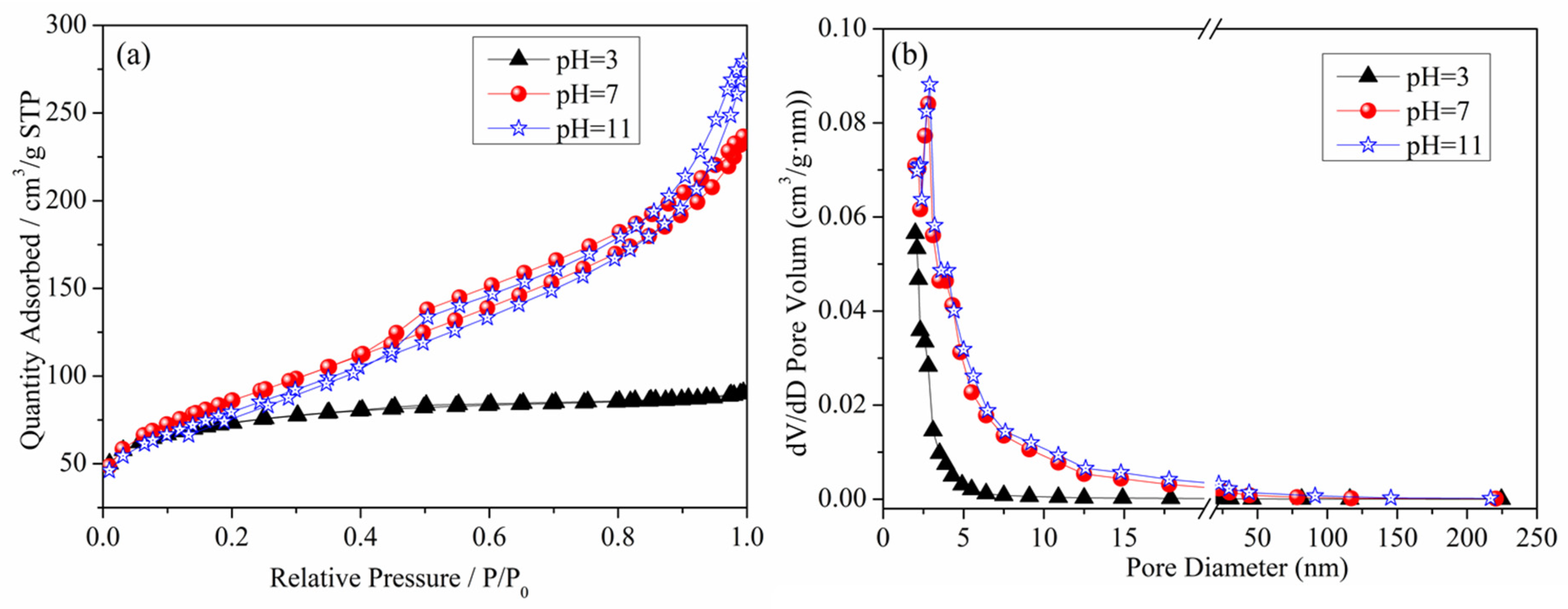
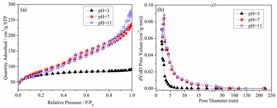
3. Results and Discussions
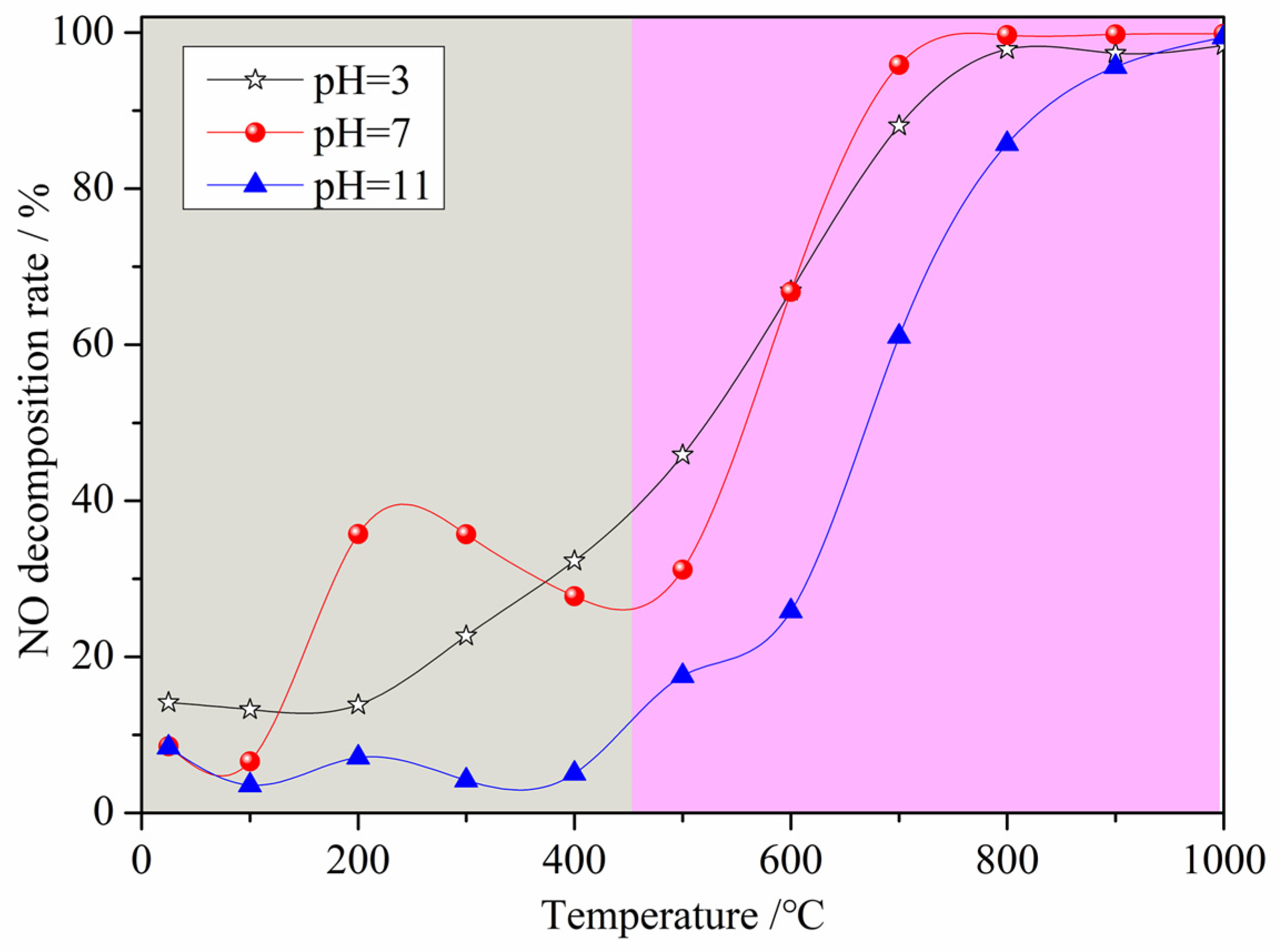
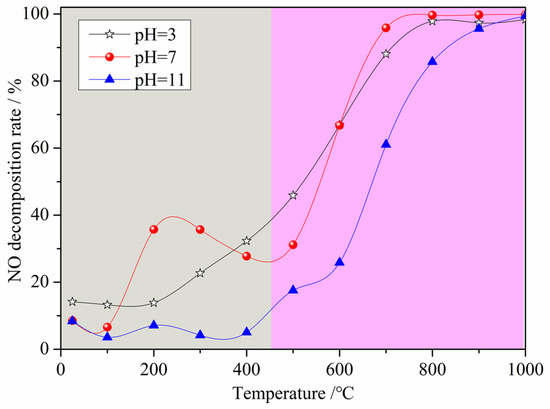
3.1. Denitrification Performance
3.2. The Effect of Fe Valence State in Denitrification Materials
3.3. Denitrification Mechanism
4. Conclusions
Author Contributions
Funding
Institutional Review Board Statement
Informed Consent Statement
Data Availability Statement
Acknowledgments
Conflicts of Interest
References
- Li, D.; He, X.L.; Peng, X.P.; Chen, C.H.; Li, Z.S. Experimental study and CFD modeling of NOx reduction and reductive gas formation in deep reburning of cement precalciner. Fuel Process. Technol. 2022, 229, 107183. [Google Scholar] [CrossRef]
- Baleta, J.; Mikulčić, H.; Vujanović, M.; Petranovic, Z.; Duic, N. Numerical simulation of urea based selective non-catalytic reduction deNOx process for industrial applications. Energ. Convers. Manag. 2016, 125, 59–69. [Google Scholar] [CrossRef]
- Hu, W.F.; Xie, J.M. Feasibility study on the low NOx combustion transformation of a 600 MW unit boiler. Electr. Power Constr. 2009, 30, 70–73. [Google Scholar]
- Gholami, F.; Tomas, M.; Gholami, Z.; Vakili, M. Technologies for the nitrogen oxides reduction from flue gas: A review. Sci. Total Environ. 2020, 714, 136712. [Google Scholar] [CrossRef] [PubMed]
- Caneghem, J.V.; Greef, J.D.; Block, C.; Vandecasteele, C. NOx reduction in waste incinerators by selective catalytic reduction (SCR) instead of selective non catalytic reduction (SNCR) compared from a life cycle perspective: A case study. J. Clean. Prod. 2016, 112, 4452–4460. [Google Scholar] [CrossRef]
- Daood, S.; Yelland, T.; Nimmo, W. Selective non-catalytic reduction-Fe-based additive hybrid technology. Fuel 2017, 208, 353–362. [Google Scholar] [CrossRef]
- Dranga, B.A.; Koeser, H. Increased co-oxidation activity for mercury under hot and cold site coal power plant conditions—Preparation and evaluation of Au/TiO2-coated SCR-DeNOx catalysts. Appl. Catal. B Environ. 2015, 166–167, 302–312. [Google Scholar] [CrossRef]
- Reddy, G.K.; Ling, C.; Peck, T.C.; Jia, H.F. Understanding the chemical state of palladium during the direct NO decomposition–influence of pretreatment environment and reaction temperature. RSC Adv. 2017, 7, 19645–19655. [Google Scholar] [CrossRef]
- Moden, B.; Da Costa, P.; Fonfe, B.; Lee, D.K.; Iglesia, E. Kinetics and mechanism of steady-state catalytic NO decomposition reactions on Cu-ZSM5. J. Catal. 2002, 209, 75–86. [Google Scholar] [CrossRef]
- Groothaert, M.H.; Lievens, K.; Leeman, H.; Weckhuysen, B.M.; Schoonheydt, R.A. An operando optical fiber UV-vis spectroscopic study of the catalytic decomposition of NO and N2O over Cu-ZSM-5. J. Catal. 2003, 220, 500–512. [Google Scholar] [CrossRef]
- Tofan, C.; Klvana, D.; Kirchnerova, J. Direct decomposition of nitric oxide over perovskite-type catalysts: Part I. Activity when no oxygen is added to the feed. Appl. Catal. A 2002, 223, 275–286. [Google Scholar] [CrossRef]
- Iwakuni, H.; Shinmyou, Y.; Yano, H.; Matsumoto, H.; Ishihara, T. Direct decomposition of NO into N2 and O2 on BaMnO-based perovskite oxides. Appl. Catal. B 2007, 74, 299–306. [Google Scholar] [CrossRef]
- Tsujimoto, S.; Masui, T.; Imanaka, N. Fundamental Aspects of Rare Earth Oxides Affecting Direct NO Decomposition Catalysis. Eur. J. Inorg. Chem. 2015, 242, 1524–1528. [Google Scholar] [CrossRef]
- Gan, Y.L.; Cui, S.P.; Ma, X.Y.; Guo, H.X.; Wang, Y.L. Preparation of Cu-Al/SiO2 porous material and its effect on NO decomposition in a cement kiln. Materials 2020, 13, 145. [Google Scholar] [CrossRef]
- Zhang, J.Y.; Zuo, J.; Jiang, Y.S.; Zhu, D.D.; Zhang, J.P.; Wei, C.D. Kinetic analysis on the mesoporous formation of coal gasification slag by acid leaching and its thermal stability. Solid State Sci. 2020, 100, 106084. [Google Scholar] [CrossRef]
- Zhang, Q.L.; Ji, T.; Yang, Z.X.; Wang, C.Q.; Wu, H.C. Influence of different activators on microstructure and strength of alkali-activated nickel slag cementitious materials. Constr. Build. Mater. 2020, 235, 117449. [Google Scholar] [CrossRef]
- Wu, Q.S.; Chen, Q.J.; Huang, Z.C.; Gu, B.; Zhu, H.J.; Tian, L. Preparation and characterization of porous ceramics from nickel smelting slag and metakaolin. Ceram. Int. 2020, 46, 4581–4586. [Google Scholar] [CrossRef]
- Wang, Z.; Huang, Y.; Luo, H.; Gong, Z.; Zhang, K.; Li, N.; Wu, W. Denitrification performance of rare earth tailings-based catalysts. Green Process. Synth. 2019, 8, 865–872. [Google Scholar] [CrossRef]
- Wang, J.; Zhu, C.; Li, B.; Gong, Z.; Meng, Z.; Xu, G.; Wu, W. Prepare a catalyst consist of rare earth minerals to denitrate via NH3-SCR. Green Process. Synth. 2020, 9, 191–202. [Google Scholar] [CrossRef]
- Wang, Y.L.; Han, X.N.; Cui, S.P.; Hu, X.B.; Ma, X.Y.; Hao, L.W. Study on the mechanism of iron-rich coal gasification slag on NO conversion in high temperature flue gas of cement kiln. Fuel 2023, 332, 126254. [Google Scholar]
- Kawakami, K.; Ogura, M. Theoretical investigation of novel two-step decomposition of nitric oxide over Fe(II) ion-exchanged zeolites using DFT calculations. Catal. Today 2015, 242, 343–350. [Google Scholar] [CrossRef]
- Ogura, M.; Itabashi, K.; Dedecek, J.; Onkawa, T.; Shimada, Y.; Kawakami, K.; Onodera, K.; Nakamura, S.; Okubo, T. Stabilization of bare divalent Fe(II) cations in Al-rich beta zeolites for superior NO adsorption. J. Catal. 2014, 315, 1–5. [Google Scholar] [CrossRef]
- Grünert, W.; Ganesha, P.K. Active sites of the selective catalytic reduction of NO by NH3 over Fe-ZSM-5: Combining reaction kinetics with postcatalytic mössbauer spectroscopy at cryogenic temperatures. ACS Catal. 2020, 10, 3119–3130. [Google Scholar] [CrossRef]
- Hadjiivanov, K.; Knözinger, H.; Tsyntsarski, B.; Dimitrov, L. Effect of water on the reduction of NOx with propane on Fe-ZSM-5. An FTIR mechanistic study. Catal. Lett. 1999, 62, 35. [Google Scholar] [CrossRef]
- Gao, F.; Kollár, M.; Kukkadapu, R.K.; Washton, N.M.; Wang, Y.L.; Szanyi, J.; Peden, C.H.F. Fe/SSZ-13 as an NH3-SCR catalyst: Areaction kinetics and FTIR/Mssbauer spectroscopic study. Appl. Catal. B 2015, 164, 407–419. [Google Scholar] [CrossRef]
- Winter, E.R.S. The catalytic decomposition of nitric oxide by metallic oxides. J. Catal. 1971, 22, 158–170. [Google Scholar] [CrossRef]
- Biesinger, M.C.; Payne, B.P.; Grosvenor, A.P.; Lau, L.W.M.; Gerson, A.R.; Smart, R.S.C. Resolving surface chemical states in XPS analysis of first row transition metals, oxides and hydroxides: Cr, Mn, Fe, Co and Ni. Appl. Surf. Sci. 2011, 257, 2717–2730. [Google Scholar] [CrossRef]
- Yamashita, T.; Hayes, P. Analysis of XPS spectra of Fe2+ and Fe3+ ions in oxide materials. Appl. Surf. Sci. 2008, 254, 2441–2449. [Google Scholar] [CrossRef]
- Fujii, T.; de Groot, F.M.F.; Sawatzky, G.A.; Voogt, F.C.; Hibma, T.; Okada, K. In Situ XPS analysis of various iron oxide films grown by NO2-assisted molecular beam epitaxy. Phys. Rev. B 1999, 59, 3195. [Google Scholar] [CrossRef]
- Brundle, C.R.; Chuang, T.J.; Wandelt, K. Core and valence level photoemission studies of iron oxide surfaces and the oxidation of iron. Surf. Sci. 1977, 68, 459–468. [Google Scholar] [CrossRef]
- Sun, Q.; Wang, Z.; Wang, D.; Hong, Z.; Zhou, M.D.; Li, X.B. A review on the catalytic decomposition of NO to N2 and O2: Catalysts and processes. Catal. Sci. Technol. 2018, 8, 4563–4575. [Google Scholar] [CrossRef]
- Gradoń, B.; Lasek, J. Investigations of the reduction of NO to N2 by reaction with Fe. Fuel 2010, 89, 3505–3509. [Google Scholar] [CrossRef]
- Masakazu, I.; Hideaki, H. Removal of nitrogen monoxide from exhaust gases through novel catalytic processes. Catal. Today 1991, 10, 57–71. [Google Scholar]
- Perezalonso, F.; Meliancabrera, I.; Lopezgranados, M.; Kapteijn, F.; Fierro, J. Synergy of FexCe1−xO2 mixed oxides for N2O decomposition. J. Catal. 2006, 239, 340–346. [Google Scholar] [CrossRef]










| -- | SiO2 | MgO | CaO | FexO | Al2O3 |
|---|---|---|---|---|---|
| Raw nickel slag | 49.57 | 22.50 | 15.23 | 6.18 | 4.84 |
| pH = 3 | 77.13 | 7.62 | 3.13 | 2.54 | 6.68 |
| pH = 7 | 70.13 | 7.74 | 3.19 | 8.29 | 6.67 |
| pH = 11 | 51.12 | 21.68 | 11.28 | 6.54 | 5.03 |
| pH | Specific Surface Area (m2/g) | Cumulative Pore Volume (cm3/g) | Average Pore Diameter (nm) |
|---|---|---|---|
| pH = 3 | 236.9211 | 0.0645 | 3.1267 |
| pH = 7 | 308.1921 | 0.3627 | 5.0769 |
| pH = 11 | 289.6233 | 0.4564 | 6.1077 |
| Synthetic Method | Specific Surface Area (m2/g) | Cumulative Pore Volume (cm3/g) | Average Pore Diameter (nm) |
|---|---|---|---|
| chemical precipitation method | 308.1921 | 0.3627 | 5.0769 |
| hydrothermal method | 514.0633 | 0.443028 | 3.1982 |
Disclaimer/Publisher’s Note: The statements, opinions and data contained in all publications are solely those of the individual author(s) and contributor(s) and not of MDPI and/or the editor(s). MDPI and/or the editor(s) disclaim responsibility for any injury to people or property resulting from any ideas, methods, instructions or products referred to in the content. |
© 2023 by the authors. Licensee MDPI, Basel, Switzerland. This article is an open access article distributed under the terms and conditions of the Creative Commons Attribution (CC BY) license (https://creativecommons.org/licenses/by/4.0/).
Share and Cite
Gan, Y.; Dai, W.; Huang, P.; Zhang, B.; Cui, S. Preparation of Denitrification Materials with Nickel Slag for Nitric Oxide Decomposition in Cement Kilns. Materials 2023, 16, 5859. https://doi.org/10.3390/ma16175859
Gan Y, Dai W, Huang P, Zhang B, Cui S. Preparation of Denitrification Materials with Nickel Slag for Nitric Oxide Decomposition in Cement Kilns. Materials. 2023; 16(17):5859. https://doi.org/10.3390/ma16175859
Chicago/Turabian StyleGan, Yanling, Wenjing Dai, Pingli Huang, Boge Zhang, and Suping Cui. 2023. "Preparation of Denitrification Materials with Nickel Slag for Nitric Oxide Decomposition in Cement Kilns" Materials 16, no. 17: 5859. https://doi.org/10.3390/ma16175859
APA StyleGan, Y., Dai, W., Huang, P., Zhang, B., & Cui, S. (2023). Preparation of Denitrification Materials with Nickel Slag for Nitric Oxide Decomposition in Cement Kilns. Materials, 16(17), 5859. https://doi.org/10.3390/ma16175859
