Modeling the Magnetoelectric Composites in a Wide Frequency Range
Abstract
1. Introduction
2. Low-Frequency Range
2.1. Analytical Methods
2.1.1. Longitudinal Mode
2.1.2. Bending Mode
2.1.3. Longitudinal-Shear Mode
2.1.4. Torsional Mode
2.1.5. Quasi-Static Regime
2.1.6. Quasi-Static Regime of Longitudinal and Longitudinal-Shear Modes for Symmetric ME Composites
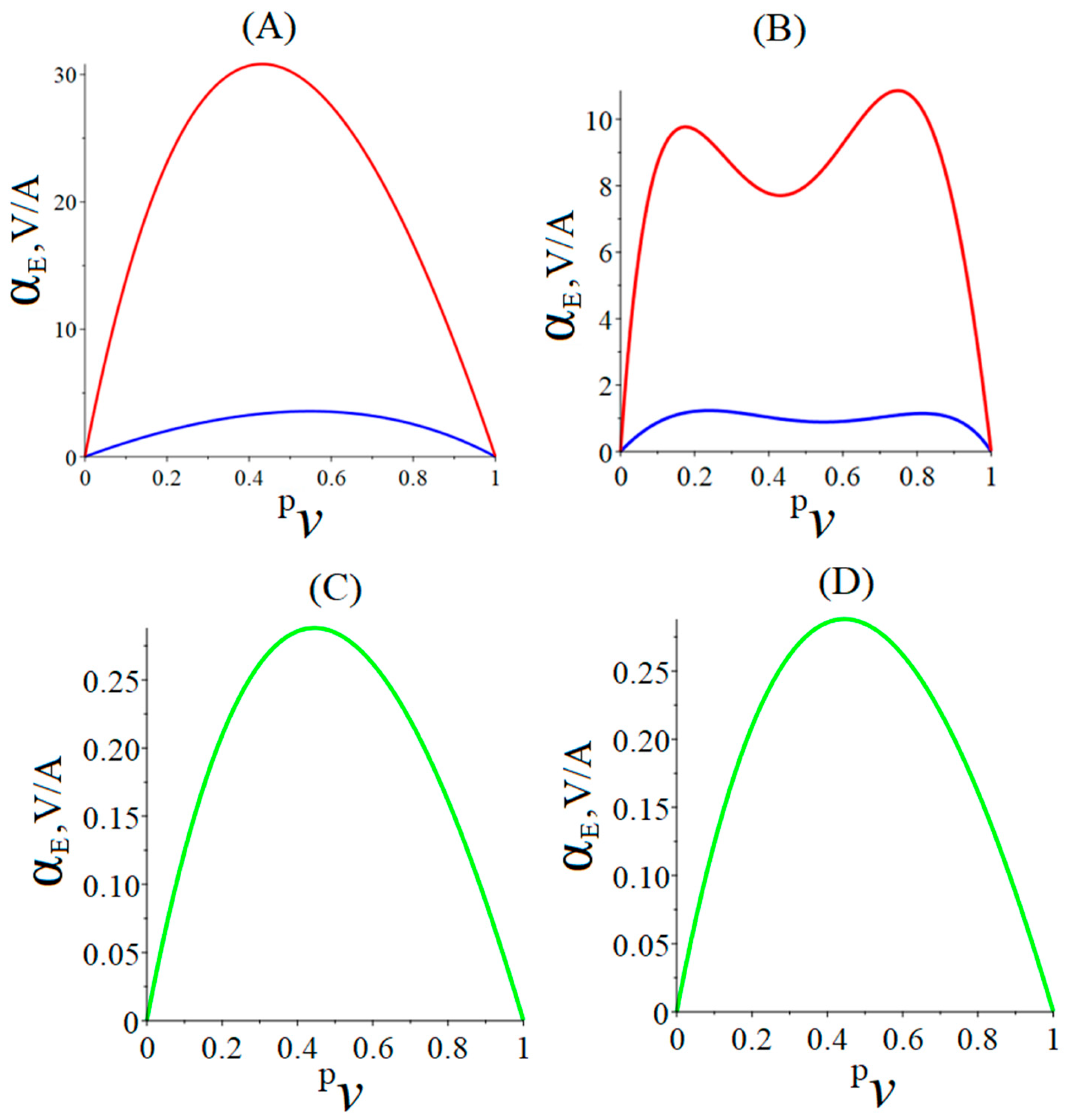
2.1.7. Quasi-Static Regime for Asymmetric ME Composites
2.2. Methods Based on Computer Programs/Software Products
3. High-Frequency Range
3.1. Analytical Methods
3.1.1. ME Effect in Ferromagnetic Metal—Piezoelectric
3.1.2. ME Effect in Ferrite—Piezoelectric
3.1.3. ME Effect in Piezoelectric/YIG/GGG
3.2. Methods Based on Computer Programs/Software Products
4. Discussion
5. Conclusions
Author Contributions
Funding
Institutional Review Board Statement
Informed Consent Statement
Data Availability Statement
Conflicts of Interest
References
- Bichurin, M.I.; Petrov, V.M.; Petrov, R.V.; Tatarenko, A.S. Magnetoelectric Composites; Pan Stanford Publishing Pte. Ltd.: Singapore, 2019; p. 280. [Google Scholar]
- Liang, X.; Chen, H.; Sun, N.X. Magnetoelectric materials and devices. APL Mater. 2021, 9, 041114. [Google Scholar] [CrossRef]
- Liang, X.; Matyushov, A.; Hayes, P.; Schell, V.; Dong, C.; Chen, H.; He, Y.; Will-Cole, A.; Quandt, E.; Martins, P.; et al. Roadmap on Magnetoelectric Materials and Devices. IEEE Trans. Magn. 2021, 57, 400157. [Google Scholar] [CrossRef]
- Bichurin, M.I.; Viehland, D. (Eds.) Magnetoelectricity in Composites; Pan Stanford Publishing: Singapore, 2012; p. 286. [Google Scholar]
- Gao, J.; Jiang, Z.; Zhang, S.; Mao, Z.; Shen, Y.; Chu, Z. Review of Magnetoelectric Sensors. Actuators 2021, 10, 109. [Google Scholar] [CrossRef]
- Viehland, D.; Wuttig, M.; McCord, J.; Quandt, E. Magnetoelectric magnetic field sensors. MRS Bull. 2018, 43, 834. [Google Scholar] [CrossRef]
- Yang, F.; Du, L.; Yu, H.; Huang, P. Magnetic and electric energy harvesting technologies in power grids: A review. Sensors 2020, 20, 1496. [Google Scholar] [CrossRef] [PubMed]
- Palneedi, H.; Annapureddy, V.; Priya, S.; Ryu, J. Status and Perspectives of Multiferroic Magnetoelectric Composite Materials and Applications. Actuators 2016, 5, 9. [Google Scholar] [CrossRef]
- Chu, Z.; PourhosseiniAsl, M.; Dong, S. Review of multi-layered magnetoelectric composite materials and devices applications. J. Phys. D Appl. Phys. 2018, 51, 243001. [Google Scholar] [CrossRef]
- Leung, C.M.; Li, J.; Viehland, D.; Zhuang, X. A review on applications of magnetoelectric composites: From heterostructural uncooled magnetic sensors, energy harvesters to highly efficient power converters. J. Phys. D Appl. Phys. 2018, 51, 263002. [Google Scholar] [CrossRef]
- Lin, H.; Page, M.R.; McConney, M.; Jones, J.; Howe, B.; Sun, N.X. Integrated magnetoelectric devices: Filters, pico-Tesla magnetometers, and ultracompact acoustic antennas. MRS Bull. 2018, 43, 841. [Google Scholar] [CrossRef]
- Liang, X.; Dong, C.; Chen, H.; Wang, J.; Wei, Y.; Zaeimbashi, M.; He, Y.; Matyushov, A.; Sun, C.; Sun, N. A Review of Thin-Film Magnetoelastic Materials for Magnetoelectric Applications. Sensors 2020, 20, 1532. [Google Scholar] [CrossRef]
- Yuan, Z.; Deepam, M.; Yongke, Y.; Gopalan, S.; Eckhard, Q.; Shashank, P. Self-Biased Magnetoelectric Composites: An Overview and Future Perspectives. Energy Harvest. Syst. 2016, 3, 1–42. [Google Scholar] [CrossRef]
- Bichurin, M.; Petrov, R.; Sokolov, O.; Leontiev, V.; Kuts, V.; Kiselev, D.; Wang, Y. Magnetoelectric Magnetic Field Sensors: A Review. Sensors 2021, 21, 6232. [Google Scholar] [CrossRef] [PubMed]
- Bichurin, M.; Sokolov, O.; Ivanov, S.; Leontiev, V.; Petrov, D.; Semenov, G.; Lobekin, V. Physics of Composites for Low-Frequency Magnetoelectric Devices. Sensors 2022, 22, 4818. [Google Scholar] [CrossRef] [PubMed]
- Harshe, G.; Dougherty, J.O.; Newnham, R.E. Theoretical modelling of multilayer magnetoelectric composites. Int. J. Appl. Electromagn. Mater. 1993, 4, 145. [Google Scholar]
- Nan, W.-C. Magnetoelectric effect in composites of piezoelectric and piezomagnetic phases. Phys. Rev. B 1994, 50, 6082. [Google Scholar] [CrossRef] [PubMed]
- Bichurin, M.I.; Petrov, V.M.; Srinivasan, G. Theory of low-frequency magnetoelectric coupling in magnetostrictive–piezoelectric bilayers. Phys. Rev. B 2003, 68, 054402. [Google Scholar] [CrossRef]
- Osaretin, A.; Rojas, R.G. Theoretical model for the magnetoelectric effect in magnetostrictive/piezoelectric composites. Phys. Rev. B 2010, 82, 174415. [Google Scholar] [CrossRef]
- Nan, C.-W.; Bichurin, M.I.; Dong, S.; Viehland, D.; Srinivasan, G. Multiferroic magnetoelectric composites: Historical perspectives, status, and future directions. J. Appl. Phys. 2008, 103, 031101. [Google Scholar] [CrossRef]
- Bichurin, M.I.; Filippov, D.A.; Petrov, V.M.; Laletsin, V.M.; Paddubnaya, N.N.; Srinivasan, G. Resonance magnetoelectric effects in layered magnetostrictive-piezoelectric composites. Phys. Rev. B 2003, 68, 132408. [Google Scholar] [CrossRef]
- Petrov, V.M.; Srinivasan, G.; Bichurin, M.I.; Galkina, T.A. Theory of magnetoelectric effect for bending modes in magnetostrictive-piezoelectric bilayers. J. Appl. Phys. 2009, 105, 063911. [Google Scholar] [CrossRef]
- Bichurin, M.I.; Petrov, V.M. Modeling of magnetoelectric interaction in magnetostrictive–piezoelectric composites. Adv. Cond. Matter Phys. 2012, 2012, 798310. [Google Scholar] [CrossRef]
- Hasanyan, D.; Gao, J.; Wang, Y.; Viswan, R.; Li, M.; Shen, Y.; Li, J.; Viehland, D. Theoretical and experimental investigation of magnetoelectric effect for bending-tension coupled modes in magnetostrictive-piezoelectriclayered composites. J. Appl. Phys. 2012, 112, 013908. [Google Scholar] [CrossRef]
- Wang, Y.; Hasanyan, D.; Li, M.; Gao, J.; Li, J.; Viehland, D.; Luo, H. Theoretical model for geometry-dependent magnetoelectric effect in magnetostrictive/piezoelectric composites. J. Appl. Phys. 2012, 111, 124513. [Google Scholar] [CrossRef]
- Wang, Y.; Hasanyan, D.; Li, J.; Viehland, D.; Luo, H. Shear-mode magnetostrictive/piezoelectric composite with an enhanced magnetoelectric coefficient. Appl. Phys. Lett. 2012, 100, 202903. [Google Scholar] [CrossRef]
- Hasanyan, D.; Wang, Y.; Gao, J.; Li, M.; Shen, Y.; Li, J.; Viehland, D. Modeling of resonant magneto-electric effect in a magnetostrictive and piezoelectric laminate composite structure coupled by a bonding material. J. Appl. Phys. 2012, 112. [Google Scholar] [CrossRef]
- Li, M.; Hasanyan, D.; Wang, Y.; Gao, J.; Li, J.; Viehland, D. Theoretical modelling of magnetoelectric effects in multi-push–pull mode Metglas/piezo-fibre laminates. J. Phys. D Appl. Phys. 2012, 45. [Google Scholar] [CrossRef]
- Bichurin, M.I.; Petrov, R.V.; Petrov, V.M. Magnetoelectric effect at thickness shear mode in ferrite–piezoelectric bilayer. Appl. Phys. Lett. 2013, 103, 0929021. [Google Scholar] [CrossRef]
- Dong, S.; Li, J.F.; Viehland, D. Longitudinal and transversal magnetoelectric voltage coefficients of magnetostrictive/piezoelectric laminate composite: Theory. IEEE Trans. Ultrason. Ferroelectr. Freq. Control. 2003, 50, 1253–1261. [Google Scholar] [CrossRef]
- Dong, S.; Li, J.-F.; Viehland, D. Magnetoelectric coupling, efficiency, and voltage gain effect in piezoelectric-piezomagnetic laminate composites. In Frontiers of Ferroelectricity; Springer: Boston, MA, USA, 2007; pp. 97–106. [Google Scholar] [CrossRef]
- Bichurin, M.; Petrov, V.; Petrov, R. Direct and inverse magnetoelectric effect in layered composites in electromechanical resonance range: A review. J. Magn. Magn. Mater. 2012, 324, 3548–3550. [Google Scholar] [CrossRef]
- Li, M.; Wang, Y.; Hasanyan, D.; Li, J.; Viehland, D. Giant converse magnetoelectric effect in multi-push-pull mode Metglas/Pb(Zr,Ti)O3/Metglas laminates. Appl. Phys. Lett. 2012, 100, 132904. [Google Scholar] [CrossRef]
- Bichurin, M.I.; Petrov, V.M.; Semenov, G.A. Magnetoelectric Material for Components of Radioelectronic Devices. Patent No. RU 2363074 C1, 27 July 2009. [Google Scholar]
- Mandal, S.K.; Sreenivasulu, G.; Petrov, V.M.; Srinivasan, G. Magnetization-graded multiferroic composite and magnetoelectric effects at zero bias. Phys. Rev. B 2011, 84, 014432. [Google Scholar] [CrossRef]
- Bichurin, M.I.; Petrov, R.V.; Leontiev, V.S.; Sokolov, O.V.; Turutin, A.V.; Kuts, V.V.; Kubasov, I.V.; Kislyuk, A.M.; Temirov, A.A.; Malinkovich, M.D.; et al. Self-Biased Bidomain LiNbO3/Ni/Metglas Magnetoelectric Current Sensor. Sensors 2020, 20, 7142. [Google Scholar] [CrossRef] [PubMed]
- Lu, C.; Zhou, H.; Yu, F.; Yang, A.; Cao, Z.; Gao, H. Nonlinear modeling of bending-mode magnetoelectric coupling in asymmetric composite structures with magnetization-graded ferromagnetic materials. AIP Adv. 2020, 10, 055308. [Google Scholar] [CrossRef]
- Zhou, H.; Yu, F.; Jiang, X.; Lu, C.; Cao, Z.; Chen, X.; Gao, H.; Yang, A. Analysis of Magneto-Mechanical Response for Magnetization-Graded Ferromagnetic Material in Magnetoelectric Laminate. Materials 2020, 13, 2812. [Google Scholar] [CrossRef] [PubMed]
- Zhang, J.; Du, H.; Xia, X.; Fang, C.; Weng, G.J. Theoretical study on self-biased magnetoelectric effect of layered magnetoelectric composites. Mech. Mater. 2020, 151, 103609. [Google Scholar] [CrossRef]
- Shi, Y.; Xu, J.; Ye, J. Enhanced near-field radiation of acoustic-actuated antennas using embedded magnetoelectric composites. Compos. Struct. 2023, 314, 116975. [Google Scholar] [CrossRef]
- Sudersan, S.; Arockiarajan, A. Thermal and prestress effects on nonlinear magnetoelectric effect in unsymmetric composites. Compos. Struct. 2019, 223, 110924. [Google Scholar] [CrossRef]
- Bishay, P.L.; Sladek, J.; Sladek, V.; Atluri, S.N. Analysis of Functionally Graded Magneto-Electro-Elastic Composites Using Hybrid/Mixed Finite Elements and Node-Wise Material Properties. Comput. Mater. Contin. 2012, 29, 213–262. [Google Scholar] [CrossRef]
- Galopin, N.; Mininger, X.; Bouillault, F.; Daniel, L. Finite Element Modeling of Magnetoelectric Sensors. IEEE Trans. Magn. 2008, 44, 834–837. [Google Scholar] [CrossRef]
- Sudersan, S.; Maniprakash, S.; Arockiarajan, A. Nonlinear magnetoelectric effect in unsymmetric laminated composites. Smart Mater. Struct. 2018, 27, 125005. [Google Scholar] [CrossRef]
- Nguyen, T.T.; Mininger, X.; Bouillault, F.; Daniel, L. Finite Element Harmonic Modeling of Magnetoelectric Effect. IEEE Trans. Magn. 2011, 47, 1142–1145. [Google Scholar] [CrossRef][Green Version]
- Yang, G.; Talleb, H.; Gensbittel, A.; Ren, Z. FEM Modeling of a Magnetoelectric Transducer for Autonomous Micro Sensors in Medical Application. Sens. Imaging 2015, 16, 12. [Google Scholar] [CrossRef]
- Xu, Y.; Guan, M.; Wu, J.; Xian, D.; Du, Y.; Liang, X.; Wang, Z.; Huang, H.; Ju, D.; Zhao, L.; et al. An AC magnetic compass based on magnetoelectric effect integrated with a calibration algorithm. Sens. Actuators A Phys. 2022, 347. [Google Scholar] [CrossRef]
- Fedulov, F.A.; Saveliev, D.V.; Chashin, D.V.; Shishkin, V.I.; Fetisov, Y.K. Magnetoelectric effects in stripe- and periodic heterostructures based on nickel–lead zirconate titanate bilayers. Russ. Technol. J. 2022, 10, 64–73. [Google Scholar] [CrossRef]
- Spetzler, B.; Golubeva, E.V.; Friedrich, R.-M.; Zabel, S.; Kirchhof, C.; Meyners, D.; McCord, J.; Faupel, F. Magnetoelastic Coupling and Delta-E Effect in Magnetoelectric Torsion Mode Resonators. Sensors 2021, 21, 2022. [Google Scholar] [CrossRef] [PubMed]
- Hähnlein, B.; Sagar, N.; Honig, H.; Krischok, S.; Tonisch, K. Anisotropy of the ΔE Effect in Ni-Based Magnetoelectric Cantilevers: A Finite Element Method Analysis. Sensors 2022, 22, 4958. [Google Scholar] [CrossRef] [PubMed]
- Sun, T.Y.; Sun, L.; Yong, Z.H.; Chan, H.L.W.; Wang, Y. Estimation of the magnetoelectric coefficient of a piezoelectric-magnetostrictive composite via finite element analysis. J. Appl. Phys. 2013, 114, 027012. [Google Scholar] [CrossRef]
- Bichurin, M.I.; Kornev, I.A.; Petrov, V.M.; Lisnevskaya, I.V. Investigation of magnetoelectric interaction in composite. Ferroelectrics 1997, 204, 289. [Google Scholar] [CrossRef]
- Bichurin, M.I.; Kornev, I.A.; Petrov, V.M.; Tatarenko, A.S.; Kiliba, Y.V.; Srinivasan, G. Theory of magnetoelectric effects at microwave frequencies in a piezoelectric/magnetostrictive multilayer composite. Phys. Rev. B 2001, 64, 094409. [Google Scholar] [CrossRef]
- Shastry, S.; Srinivasan, G.; Bichurin, M.I.; Petrov, V.M.; Tatarenko, A.S. Microwave magnetoelectric effects in single crystal bilayers of yttrium iron garnet and lead magnesium niobate-lead titanate. Phys. Rev. B 2004, 70, 064416. [Google Scholar] [CrossRef]
- Bichurin, M.I.; Viehland, D.; Srinivasan, G. Magnetoelectric interactions in ferromagnetic-piezoelectric layered structures: Phenomena and devices. J. Electroceramics 2007, 19, 243. [Google Scholar] [CrossRef]
- Tatarenko, A.S.; Bichurin, M.I. Microwave Magnetoelectric Devices. Adv. Condens. Matter. Phys. 2012, 2012, 286562. [Google Scholar] [CrossRef]
- Sun, N.X.; Srinivasan, G. Voltage control of magnetism in multiferroic heterostructures and devices. Spin 2012, 2, 1240004. [Google Scholar] [CrossRef]
- Zhou, H.-M.; Lian, J. A generalized lumped-element equivalent circuit for tunable magnetoelectric microwave devices with multi-magnetoelectric laminates. J. Appl. Phys. 2014, 115, 193908. [Google Scholar] [CrossRef]
- Nan, T.; Zhou, Z.; Liu, M.; Yang, X.; Gao, Y.; Assaf, B.A.; Lin, H.; Velu, S.; Wang, X.; Luo, H.; et al. Quantification of strain and charge co-mediated magnetoelectric coupling on ultra-thin Permalloy/PMN-PT interface. Sci. Rep. 2014, 4, 3688. [Google Scholar] [CrossRef] [PubMed]
- Xue, X.; Zhou, Z.; Dong, G.; Feng, M.; Zhang, Y.; Zhao, S.; Hu, Z.; Ren, W.; Ye, Z.G.; Liu, Y.; et al. Discovery of Enhanced Magnetoelectric Coupling through Electric Field Control of Two-Magnon Scattering within Distorted Nanostructures. ACS Nano 2017, 11, 9286. [Google Scholar] [CrossRef]
- Hou, W.; Zhou, Z.; Xue, X.; Guan, M.; Hu, Z.; Liu, M. Voltage Control of Two-Magnon Scattering in Multiferroic Layers for Tunable Magnetoelectric Devices. IEEE Trans. Magn. 2018, 54, 2501904. [Google Scholar] [CrossRef]
- Srivastava, A.K.; Hurben, M.J.; Wittenauer, M.A.; Kabos, P.; Patton, C.E.; Ramesh, R.; Dorsey, P.C.; Chrisey, D.B. Angle Dependence of the Ferromagnetic Resonance Linewidth and Two Magnon Losses in Pulsed Laser Deposited Films of Yttrium Iron Garnet, MnZn Ferrite, and NiZn Ferrite. J. Appl. Phys. 1999, 85, 7838. [Google Scholar] [CrossRef]
- Duan, C.-G.; Velev, J.P.; Sabirianov, R.F.; Zhu, Z.; Chu, J.; Jaswal, S.S.; Tsymbal, E.Y. Surface Magnetoelectric Effect in Ferromagnetic Metal Films. Phys. Rev. Lett. 2008, 101, 137201. [Google Scholar] [CrossRef]
- Liu, M.; Obi, O.; Lou, J.; Chen, Y.; Cai, Z.; Stoute, S.; Espanol, M.; Lew, M.; Situ, X.; Ziemer, K.S.; et al. Giant Electric Field Tuning of Magnetic Properties in Multiferroic Ferrite/Ferroelectric Heterostructures. Adv. Funct. Mater. 2009, 19, 1826–1831. [Google Scholar] [CrossRef]
- Lou, J.; Liu, M.; Reed, D.; Ren, Y.; Sun, N.X. Giant Electric Field Tuning of Magnetism in Novel Multiferroic FeGaB/Lead Zinc Niobate-Lead Titanate (PZN-PT) Heterostructures. Adv. Mater. 2009, 21, 4711–4715. [Google Scholar] [CrossRef]
- Tatarenko, A.; Sokolov, O.; Ivanov, S.; Bichurin, M.; Wang, Y. Microwave magnetoelectric effect in structures based on ferromagnetic metals. ITM Web Conf. 2019, 30, 07013. [Google Scholar] [CrossRef]
- Bichurin, M.; Sokolov, O.; Ivanov, S.; Ivasheva, E.; Leontiev, V.; Lobekin, V.; Semenov, G. Modeling the composites for magnetoelectric microwave devices. Sensors 2023, 23, 1780. [Google Scholar] [CrossRef] [PubMed]
- Tatarenko, A.S.; Snisarenko, D.V.; Bichurin, M. Modeling of magnetoelectric microwave devices. Facta Univ. Ser. Electron. Energ. 2017, 30, 285–293. [Google Scholar] [CrossRef]
- Rostami, F.R.; Khaleghi, A.; Balasingham, I. Computer Simulation of Magnetoelectric Antenna and Performance Comparison with Micro-Loop. IEEE Access 2022, 10, 64473–64482. [Google Scholar] [CrossRef]
- Lobekin, V.; Tatarenko, A.; Petrov, R.; Bichurin, M. Computer Simulation of Magnetoelectric Microwave Isolator. In Proceedings of the 2019 Photonics & Electromagnetics Research Symposium—Spring (PIERS-Spring), Rome, Italy, 17–20 June 2019; pp. 3278–3282. [Google Scholar] [CrossRef]
- Rasoanoavy, F.; Laur, V.; Smaali, R.; Queffelec, P. Modeling of magnetodielectric effects in magnetostrictive/piezoelectric multi-layers using a multiphysics simulator. In Proceedings of the Comsol Conference, Paris, France, 17–19 November 2010; p. 1. [Google Scholar]
- Berry, B.S.; Pritchet, W.C. Magnetic annealing and directional ordering of an amorphous ferromagnetic alloy. Phys. Rev. Lett. 1975, 34, 1022. [Google Scholar] [CrossRef]
- Nan, T.; Hui, Y.; Rinaldi, M.; Sun, N. X Self-Biased 215MHz Magnetoelectric NEMS Resonator for Ultra-Sensitive DC Magnetic Field Detection. Sci. Rep. 2013, 3, 1985. [Google Scholar] [CrossRef]
- Jahns, R.; Zabel, S.; Marauska, S.; Gojdka, B.; Wagner, B.; Knöchel, R.; Adelung, R.; Faupel, F. Microelectromechanical magnetic field sensor based on DE effect. Appl. Phys. Lett. 2014, 105, 052414. [Google Scholar] [CrossRef]
- Zabel, S.; Reermann, J.; Fichtner, S.; Kirchhof, C.; Quandt, E.; Wagner, B.; Schmidt, G.; Faupel, F. Multimode delta-E effect magnetic field sensors with adapted electrodes. Appl. Phys. Lett. 2016, 108, 222401. [Google Scholar] [CrossRef]
- Kittmann, A.; Durdaut, P.; Zabel, S.; Reermann, J.; Schmalz, J.; Spetzler, B.; Meyners, D.; Sun, N.X.; McCord, J.; Gerken, M.; et al. Wide Band Low Noise Love Wave Magnetic Field Sensor System. Sci. Rep. 2018, 8, 278. [Google Scholar] [CrossRef] [PubMed]
- Zuo, S.; Schmalz, J.; Ozden, M.-O.; Gerken, M.; Su, J.; Niekiel, F.; Lofink, F.; Nazarpour, K.; Heidari, H. Ultrasensitive Magnetoelectric Sensing System for pico-Tesla MagnetoMyoGraphy. IEEE Trans. Biomed. Circuits Syst. 2020, 14, 971–984. [Google Scholar] [CrossRef] [PubMed]
- Truong, B.D.; Roundy, S. Experimentally validated model and power optimization of a magnetoelectric wireless power transfer system in free-free configuration. Smart Mater. Struct. 2020, 29, 085053. [Google Scholar] [CrossRef]
- Elzenheimer, E.; Hayes, P.; Thormählen, L.; Engelhardt, E.; Zaman, A.; Quandt, E.; Frey, N.; Höft, M.; Schmidt, G. Investigation of Converse Magnetoelectric Thin-Film Sensors for Magnetocardiography. IEEE Sensors J. 2023, 23, 5660–5669. [Google Scholar] [CrossRef]
- Wang, Y.; Li, J.; Viehland, D. Magnetoelectrics for magnetic sensor applications: Status, challenges and perspectives. Mater. Today 2014, 17, 269–275. [Google Scholar] [CrossRef]
- Wang, Y.J.; Gao, J.Q.; Li, M.H.; Shen, Y.; Hasanyan, D.; Li, J.F.; Viehland, D. A review on equivalent magnetic noise of magnetoelectric laminate sensors. Phil. Trans. R. Soc. A 2014, 372, 20120455. [Google Scholar] [CrossRef] [PubMed]
- Spetzler, B.; Kirchhof, C.; Quandt, E.; McCord, J.; Faupel, F. Magnetic Sensitivity of Bending-Mode Delta-E-Effect Sensors. Phys. Rev. Appl. 2019, 12, 064036. [Google Scholar] [CrossRef]
- Fetisov, Y.; Petrov, V.; Srinivasan, G. Inverse magnetoelectric effects in a ferromagnetic–piezoelectric layered structure. J. Mater. Res. 2007, 22, 2074–2080. [Google Scholar] [CrossRef]
- Jia, Y.; Or, S.W.; Chan, H.L.W.; Zhao, X.; Luo, H. Converse magnetoelectric effect in laminated composites of PMN–PT single crystal and Terfenol-D alloy. Appl. Phys. Lett. 2006, 88, 242902. [Google Scholar] [CrossRef]
- Schneider, J.D.; Domann, J.P.; Panduranga, K.; Tiwari, S.; Shirazi, P.; Yao, Z.; Sennott, C.; Shahan, D.; Selvin, S.; McKnight, G.; et al. Experimental demonstration and operating principles of a multiferroic antenna. J. Appl. Phys. 2019, 126, 224104. [Google Scholar] [CrossRef]
- Chen, H.; Liang, X.; Dong, C.; He, Y.; Sun, N.; Zaeimbashi, M.; He, Y.; Gao, Y.; Parimi, P.V.; Lin, H.; et al. Ultra-compact mechanical antennas. Appl. Phys. Lett. 2020, 117, 170501. [Google Scholar] [CrossRef]
- Hu, L.; Zhang, Q.; Wu, H.; You, H.; Jiao, J.; Luo, H.; Wang, Y.; Duan, C.; Gao, A. A very low frequency (VLF) antenna based on clamped bending-mode structure magnetoelectric laminates. J. Phys. Condens. Matter 2022, 34, 414002. [Google Scholar] [CrossRef]
- Pertsev, N.A.; Zembilgotov, A.G.; Tagantsev, A.K. Effect of Mechanical Boundary Conditions on Phase Diagrams of Epitaxial Ferroelectric Thin Films. Phys. Rev. Lett. 1998, 80, 1988–1991. [Google Scholar] [CrossRef]








Disclaimer/Publisher’s Note: The statements, opinions and data contained in all publications are solely those of the individual author(s) and contributor(s) and not of MDPI and/or the editor(s). MDPI and/or the editor(s) disclaim responsibility for any injury to people or property resulting from any ideas, methods, instructions or products referred to in the content. |
© 2023 by the authors. Licensee MDPI, Basel, Switzerland. This article is an open access article distributed under the terms and conditions of the Creative Commons Attribution (CC BY) license (https://creativecommons.org/licenses/by/4.0/).
Share and Cite
Bichurin, M.; Sokolov, O.; Ivanov, S.; Ivasheva, E.; Leontiev, V.; Lobekin, V.; Semenov, G. Modeling the Magnetoelectric Composites in a Wide Frequency Range. Materials 2023, 16, 5813. https://doi.org/10.3390/ma16175813
Bichurin M, Sokolov O, Ivanov S, Ivasheva E, Leontiev V, Lobekin V, Semenov G. Modeling the Magnetoelectric Composites in a Wide Frequency Range. Materials. 2023; 16(17):5813. https://doi.org/10.3390/ma16175813
Chicago/Turabian StyleBichurin, Mirza, Oleg Sokolov, Sergey Ivanov, Elena Ivasheva, Viktor Leontiev, Vyacheslav Lobekin, and Gennady Semenov. 2023. "Modeling the Magnetoelectric Composites in a Wide Frequency Range" Materials 16, no. 17: 5813. https://doi.org/10.3390/ma16175813
APA StyleBichurin, M., Sokolov, O., Ivanov, S., Ivasheva, E., Leontiev, V., Lobekin, V., & Semenov, G. (2023). Modeling the Magnetoelectric Composites in a Wide Frequency Range. Materials, 16(17), 5813. https://doi.org/10.3390/ma16175813

