Fabrication and Oxidation Resistance of a Novel MoSi2-ZrB2-Based Coating on Mo-Based Alloy
Abstract
1. Introduction
2. Materials and Methods
2.1. Sample Preparation
- (1)
- Firstly, two kinds of slurry were prepared. Mo powders (purity > 99.5%, 1~2 μm) and ethyl acetate (as solvent, AR) were putted into a ball milling tank, and the weight/volume ratio of Mo powders to solvent (g:mL) was 1:0.8. A small amount of nitrocellulose (as organic binder, AR) was added to the ball milling tank. The mixture was attrition milled for 6 h to obtain a Mo slurry. Concurrently, a Zr-B4C slurry was prepared by mixing of pure Zr powders (purity > 99%, 2–3 μm), B4C powders (purity > 99.5%, 2–3 μm), and ethyl acetate. The molar ratio of Zr:B4C was 1:1, while the weight/volume ratio of powders to solvent (g:mL) was also 1:0.8. In the same way, a small amount of nitrocellulose (AR) was added to the mixture. Then, the mixture was also attrition milled for 6 h.
- (2)
- Subsequently, a conventional pack cementation process was carried out. The pack mixture consisted of Si powders (pack cementation element, 99.9% purity, 1~3 μm), Al2O3 powders (inert powder, 98% purity, ~75 μm), and NaF powders (activator, 99.9% purity, 1~2 μm) with a mass ratio of 67:30:3. The pack powders were mixed up by tumbling in a ball mill for 12 h and dried at 110 °C for 6 h. The samples containing ceramic pre-layer on surface were embedded in the pack mixture and then heated to 1150 °C and held for 10 h in an argon-protected tube furnace. Finally, the sintered coating samples were furnace-cooled down to room temperature.
2.2. Oxidation Test and Characterization
3. Results and Discussion
3.1. Microstructure and Phase Composition of the Coating
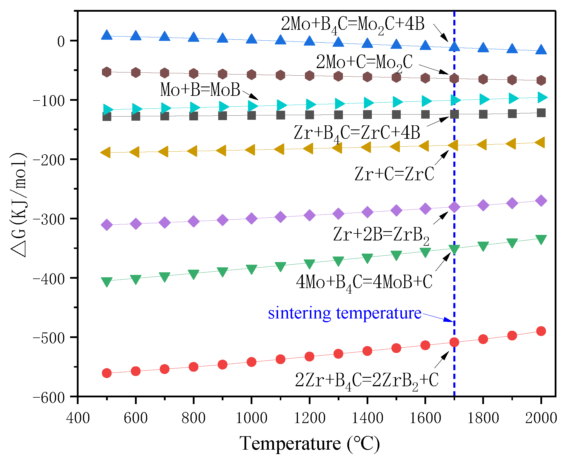
3.1.1. Microstructure and Phase Composition of Ceramic Pre-Layer
3.1.2. Microstructure and Phase Composition of the Coating
3.2. Oxidation Behavior of the Coating
3.3. Phase Composition of the Oxidized Coating
3.4. Microstructure Evolution of the Coating during Oxidation
3.4.1. Surface Morphology
3.4.2. Cross-Sectional Microstructure
3.5. Antioxidation Mechanism of the Composite Coating
4. Conclusions
Author Contributions
Funding
Institutional Review Board Statement
Informed Consent Statement
Data Availability Statement
Conflicts of Interest
References
- Jing, K.; Cheng, X.; Liu, R.; Xie, X.; Xie, Z.; Wu, X.; Wang, H.; Li, G.; Fang, Q.; Liu, C.; et al. Enhanced mechanical properties and thermal stability of hot-rolled Mo-0.5%ZrC alloy. Mater. Sci. Eng. A 2022, 854, 143803. [Google Scholar] [CrossRef]
- Hu, P.; Zhou, Y.; Chang, T.; Yu, Z.; Wang, K.; Yang, F.; Hu, B.; Cao, W.; Yu, H. Investigation on compression behavior of TZM and La2O3 doped TZM alloys at high temperature. Mater. Sci. Eng. A 2017, 687, 276–280. [Google Scholar] [CrossRef]
- Yang, F.; Wang, K.-S.; Hu, P.; He, H.; Kang, X.; Wang, H.; Liu, R.; Volinsky, A.A. La doping effect on TZM alloy oxidation behavior. J. Alloys Compd. 2014, 593, 196–201. [Google Scholar] [CrossRef]
- Smolik, G.R.; Petti, D.A.; Schuetz, S.T. Oxidation and volatilization of TZM alloy in air. J. Nucl. Mater. 2000, 283, 1458–1462. [Google Scholar] [CrossRef]
- Hu, P.; Yang, F.; Song, R.; Wang, K.; Hu, B.; Cao, W.; Liu, D.; Kang, X.; Volinsky, A.A. Pt-plating effect on La-TZM alloy high temperature oxidation behavior. J. Alloys Compd. 2016, 686, 1037–1043. [Google Scholar] [CrossRef]
- Zhang, Y.; Tu, T.; Yu, L.; Shen, F.; Wang, J.; Cui, K. Improving oxidation resistance of TZM alloy by deposited Si-MoSi2 composite coating with high silicon concentration. Ceram. Int. 2022, 48, 20895–20904. [Google Scholar] [CrossRef]
- Zhu, L.; Ren, X.; Wang, G.; Kang, X.; Zhang, P.; Wang, X.; Feng, P. Preparation and 1500 °C oxidation behavior of crack-free bentonite doped MoSi2 protective coating on molybdenum. Corros. Sci. 2021, 184, 109379. [Google Scholar] [CrossRef]
- Cai, Z.; Liu, S.; Xiao, L.; Fang, Z.; Li, W.; Zhang, B. Oxidation behavior and microstructural evolution of a slurry sintered Si-Mo coating on Mo alloy at 1650 °C. Surf. Coat. Technol. 2017, 324, 182–189. [Google Scholar] [CrossRef]
- Kircher, T.A.; Courtright, E.L. Engineering limitations of MoSi2 coatings. Mater. Sci. Eng. A 1992, 155, 67–74. [Google Scholar] [CrossRef]
- Zhai, R.; Song, P.; Huang, T.; Li, C.; Hua, C.; Huang, W.; Li, Q.; Zheng, B.; Lu, J. Microstructure and oxidation behaviour of MoSi2 coating combined MoB diffusion barrier layer on Mo substrate at 1300 °C. Ceram. Int. 2022, 47, 10137–10146. [Google Scholar] [CrossRef]
- Lange, A.; Heilmaier, M.; Sossamann, T.A.; Perepezko, J.H. Oxidation behavior of pack-cemented Si-B oxidation protection coatings for Mo-Si-B alloys at 1300 °C. Surf. Coat. Technol. 2015, 266, 57–63. [Google Scholar] [CrossRef]
- Tian, X.; Guo, X. Structure of Al-modified silicide coatings on an Nb-based ultrahigh temperature alloy prepared by pack cementation techniques. Surf. Coat. Technol. 2009, 203, 1161–1166. [Google Scholar] [CrossRef]
- Majumdar, S.; Sharma, I.G. Oxidation behavior of MoSi2 and Mo(Si, Al)2 coated Mo-0.5Ti-0.1Zr-0.02C alloy. Intermetallics 2011, 19, 541–545. [Google Scholar] [CrossRef]
- Li, W.; Fan, J.L.; Fan, Y.; Xiao, L.R.; Cheng, H.C. MoSi2/(Mo, Ti)Si2 dual-phase composite coating for oxidation protection of molybdenum alloy. J. Alloys Compd. 2018, 740, 711–718. [Google Scholar] [CrossRef]
- Kiryukhantsev-Korneev, P.; Sytchenko, A.D.; Sviridova, T.A.; Sidorenko, D.A.; Andreev, N.V.; Klechkovskaya, V.V.; Polčak, J.; Levashov, E.A. Effects of doping with Zr and Hf on the structure and properties of Mo-Si-B coatings obtained by magnetron sputtering of composite targets. Surf. Coat. Technol. 2022, 442, 128141. [Google Scholar] [CrossRef]
- Fei, X.; Niu, Y.; Ji, H.; Huang, L.; Zheng, X. Oxidation behavior of Al2O3 reinforced MoSi2 composite coatings fabricated by vacuum plasma spraying. Ceram. Int. 2010, 36, 2235–2239. [Google Scholar] [CrossRef]
- Wang, L.; Fu, Q.; Zhao, F. Improving oxidation resistance of MoSi2 coating by reinforced with Al2O3 whiskers. Intermetallics 2018, 94, 106–113. [Google Scholar] [CrossRef]
- Liu, Z.; Li, W.; Fan, J.; Lv, Y.; Wang, Z.; Zhao, X. High temperature oxidation behavior of MoSi2-Al2O3 composite coating on TZM alloy. Ceram. Int. 2022, 48, 10911–10920. [Google Scholar] [CrossRef]
- Lv, Y.; Cheng, H.; Geng, Z.; Li, W. Oxidation behavior of (Mo,Hf)Si2-Al2O3 coating on Mo-based alloy at elevated temperature. Materials 2023, 16, 3215. [Google Scholar] [CrossRef]
- Wang, J.; Yang, K.; Wang, J.; Yang, S.; Zhang, X. The enhanced structure stability and the reinforcement mechanism of 0.1Al2O3-ZrO2 reinforced MoSi2 composite coating. Surf. Coat. Technol. 2020, 403, 126438. [Google Scholar] [CrossRef]
- Zhu, L.; Ren, X.; Wang, X.; Kang, X.; Zheng, R.; Feng, P. Microstructure and high-temperature oxidation resistance of MoSi2-ZrO2 composite coatings for Niobium substrate. J. Eur. Ceram. Soc. 2021, 41, 1197–1210. [Google Scholar] [CrossRef]
- Zhu, L.; Wang, X.; Ren, X.; Zhang, P.; Akhtar, F.; Feng, P. Preparation, properties and high-temperature oxidation resistance of MoSi2-HfO2 composite coating to protect niobium using spent MoSi2-based materials. Ceram. Int. 2021, 47, 27091–27099. [Google Scholar] [CrossRef]
- Liu, T.; Niu, Y.; Li, C.; Pan, X.; Shi, M.; Zheng, X.; Ding, C. Ablation resistance of ZrC-MoSi2/ZrC-SiC double-layered coating in a plasma flame. Corros. Sci. 2018, 145, 239–248. [Google Scholar] [CrossRef]
- Wang, Z.; Niu, Y.; Hu, C.; Li, H.; Zeng, Y.; Zheng, X.; Ren, M.; Sun, J. High temperature oxidation resistance of metal silicide incorporated ZrB2 composite coatings prepared by vacuum plasma spray. Ceram. Int. 2015, 41, 14868–14875. [Google Scholar] [CrossRef]
- Zhu, L.; Wang, X.; Ren, X.; Zhang, P.; Feng, P. Recycling MoSi2 heating elements for preparing oxidation resistant multilayered coatings. J. Eur. Ceram. Soc. 2022, 42, 921–934. [Google Scholar] [CrossRef]
- Pan, X.H.; Niu, Y.R.; Xu, X.T.; Zhong, X.; Shim, M.H.; Zheng, X.B.; Ding, C.X. Long time ablation behaviors of designed ZrC-SiC-TiC ternary coatings for environments above 2000 °C. Corros. Sci. 2020, 170, 108645. [Google Scholar] [CrossRef]
- Silvestroni, L.; Stricker, K.; Sciti, D.; Kleebe, H.J. Understanding the oxidation behavior of a ZrB2-MoSi2 composite at ultra-high temperatures. Acta Mater. 2018, 151, 216–228. [Google Scholar] [CrossRef]
- Liu, H.T.; Zou, J.; Ni, D.W.; Liu, J.X.; Zhang, G.J. Anisotropy oxidation of textured ZrB2-MoSi2 ceramics. J. Eur. Ceram. Soc. 2012, 32, 3469–3476. [Google Scholar] [CrossRef]
- Silvestroni, L.; Meriggi, G.; Sciti, D. Oxidation behavior of ZrB2 composites doped with various transition metal silicides. Corros. Sci. 2014, 83, 281–291. [Google Scholar] [CrossRef]
- Sun, S.J.; Jiao, J.; Jiao, C.R.; Yang, R.; Yang, J.H. Effect of raw particle size on microstructure and anti-ablation of the ZrB2-SiC coatings. Surf. Coat. Technol. 2023, 466, 129647. [Google Scholar] [CrossRef]
- Xu, X.T.; Pan, X.H.; Huang, S.S.; Qin, D.D.; Niu, Y.R.; Li, H.; Zheng, X.B.; Sun, J.J. Effect of WB addition on long ablation behavior of ZrB2-MoSi2 coating. Corros. Sci. 2021, 192, 109814. [Google Scholar] [CrossRef]
- Niu, Y.R.; Wang, H.Y.; Liu, Z.W.; Hu, C.; Wang, X.G.; Zheng, X.B.; Ding, C.X. Microstructure evolution of ZrB2-MoSi2 composite coatings at middle and high temperature. Surf. Coat. Technol. 2015, 273, 30–38. [Google Scholar] [CrossRef]
- Monceau, D.; Pieraggi, B. Determination of parabolic rate constants from a local analysis of mass gain curves. Oxid. Met. 1998, 50, 477–493. [Google Scholar] [CrossRef]
- Qiao, Y.; Chen, T.; Guo, X. Diffusion barrier effect of Al2O3 layer at the interface between Mo-Si-B coating and Nb-Si based alloy. Corros. Commun. 2021, 4, 45–56. [Google Scholar] [CrossRef]
- Qiao, Y.; Zhang, X.; Guo, X. Y2O3 film as a diffusion barrier between MoSi2 coating and Nb-Si based alloy. Corros. Sci. 2022, 196, 110044. [Google Scholar] [CrossRef]
- Liu, J.; Gong, Q.M.; Shao, Y.; Zhuang, D.; Liang, J. In-situ fabrication of MoSi2/SiC–Mo2C gradient anti-oxidation coating on Mo substrate and the crucial effect of Mo2C barrier layer at high temperature. Appl. Surf. Sci. 2014, 308, 261–268. [Google Scholar] [CrossRef]
- Qiao, Y.; Zhang, Y.; Zhang, W.; Guo, X. SiC-glass as a diffusion barrier at the interface of MoSi2 coating and Nb-Si based alloy. Corros. Sci. 2022, 208, 110678. [Google Scholar] [CrossRef]
- Wang, Y.; Yan, J.; Wang, D. High temperature oxidation and microstructure of MoSi2/MoB composite coating for Mo substrate. Int. J. Refract. Met. Hard Mater. 2017, 68, 60–64. [Google Scholar] [CrossRef]
- Zhang, Y.; Liu, S.; Zhou, X.; Zhao, G.; Liu, J.; Shen, H.; Cai, Z.; Zhao, X.; Xiao, L. Ultra-high temperature oxidation behavior of ZrB2/YSZ modified Si-Mo-W coating with a diffusion barrier on niobium alloy. Corros. Sci. 2022, 195, 109977. [Google Scholar] [CrossRef]
- Lei, S.; Liu, J.; Liu, D.; Zhang, K.; Yang, R.; Yan, Z.; Zhang, X.; Li, W. Diffusion barrier effect of Ta or TaSi2 layer at the MoSi2/Nb-based alloy interface. Corros. Sci. 2023, 216, 111090. [Google Scholar] [CrossRef]
- Yue, G.; Guo, X.; Qiao, Y. Study on the diffusion barrier effect of WSi2 layer at the MoSi2/Nb-Ti-Si based alloy interface. Corros. Sci. 2020, 163, 108299. [Google Scholar] [CrossRef]
- Wang, X.; Guo, W.; Kan, Y.; Zhang, G. Hot-pressed ZrB2 ceramics with composite additives of Zr and B4C. Adv. Eng. Mater. 2010, 12, 893–898. [Google Scholar] [CrossRef]
- Chen, H.; Zeng, F.; Li, W.; Liu, J.; Gu, Y.; Zhang, F. Densification behavior and mechanical properties of spark plasma reaction sintered ZrB2–ZrC-B4C ceramics from B4C-Zr system. Ceram. Int. 2019, 45, 12122–12199. [Google Scholar] [CrossRef]
- Rehman, S.S.; Ji, W.; Fu, Z.; Wang, W.; Wang, H.; Asif, M.; Zhang, J. In situ synthesis and sintering of B4C/ZrB2 composites from B4C and ZrH2 mixtures by spark plasma sintering. J. Eur. Ceram. Soc. 2015, 35, 1139–1145. [Google Scholar] [CrossRef]
- Fan, Y.; Fan, J.; Li, W.; Han, Y.; Lv, Y.; Cheng, H. Microstructure and ultra-high temperature isothermal oxidation behaviour of YSZ-particle-modified WSi2 coating. Ceram. Int. 2020, 397, 125982. [Google Scholar] [CrossRef]
- Wu, W.; Estili, M.; Nishimura, T.; Zhang, G.; Sakka, Y. Machinable ZrB2–SiC–BN composites fabricated by reactive spark plasma sintering. Mater. Sci. Eng. A 2013, 582, 41–46. [Google Scholar] [CrossRef]
- Zhang, M.; Huo, Y.; Hu, Q.; Zhang, P.; Zou, B. Reaction behavior and formation mechanism of ZrC and ZrB2 in the Cu-Zr-B4C system. Int. J. Refract. Met. Hard Mater. 2014, 43, 102–108. [Google Scholar] [CrossRef]
- Sigl, L.S. Processing and mechanical properties of boron carbide sintered with TiC. J. Eur. Ceram. Soc. 1998, 18, 1521–1529. [Google Scholar] [CrossRef]
- Tang, Z.; Thom, A.J.; Kramer, M.J.; Akinc, M. Characterization and oxidation behavior of silicide coating on multiphase Mo-Si-B alloy. Intermetallics 2008, 16, 1125–1133. [Google Scholar] [CrossRef]
- Zhao, H.L.; Kramer, M.J.; Akinc, M. Thermal expansion behavior of intermetallic compounds in the Mo–Si–B system. Intermetallics 2004, 12, 493–498. [Google Scholar] [CrossRef]
- Tatemoto, K.; Ono, Y.; Suzuki, R.O. Silicide coating on refractory metals in molten salt. J. Phys. Chem. Solids 2005, 66, 526–529. [Google Scholar] [CrossRef]
- Zhu, L.; Zhu, Y.; Ren, X.; Zhang, P.; Qiao, J.; Feng, P. Microstructure, properities and oxidation behavior of MoSi2-MoB-ZrO2 coating for Mo substrate using spark plasma sintering. Surf. Coat. Technol. 2019, 375, 773–781. [Google Scholar] [CrossRef]

















Disclaimer/Publisher’s Note: The statements, opinions and data contained in all publications are solely those of the individual author(s) and contributor(s) and not of MDPI and/or the editor(s). MDPI and/or the editor(s) disclaim responsibility for any injury to people or property resulting from any ideas, methods, instructions or products referred to in the content. |
© 2023 by the authors. Licensee MDPI, Basel, Switzerland. This article is an open access article distributed under the terms and conditions of the Creative Commons Attribution (CC BY) license (https://creativecommons.org/licenses/by/4.0/).
Share and Cite
Zhang, Y.; Zhou, X.; Cheng, H.; Geng, Z.; Li, W. Fabrication and Oxidation Resistance of a Novel MoSi2-ZrB2-Based Coating on Mo-Based Alloy. Materials 2023, 16, 5634. https://doi.org/10.3390/ma16165634
Zhang Y, Zhou X, Cheng H, Geng Z, Li W. Fabrication and Oxidation Resistance of a Novel MoSi2-ZrB2-Based Coating on Mo-Based Alloy. Materials. 2023; 16(16):5634. https://doi.org/10.3390/ma16165634
Chicago/Turabian StyleZhang, Yafang, Xiaojun Zhou, Huichao Cheng, Zhanji Geng, and Wei Li. 2023. "Fabrication and Oxidation Resistance of a Novel MoSi2-ZrB2-Based Coating on Mo-Based Alloy" Materials 16, no. 16: 5634. https://doi.org/10.3390/ma16165634
APA StyleZhang, Y., Zhou, X., Cheng, H., Geng, Z., & Li, W. (2023). Fabrication and Oxidation Resistance of a Novel MoSi2-ZrB2-Based Coating on Mo-Based Alloy. Materials, 16(16), 5634. https://doi.org/10.3390/ma16165634

