Effect of Coating Shell on High-Frequency Polarization Loss of Core-Shell Filler Dielectric Composites: An Alternating-Field Polarization Phase-Field Simulation of BN@SiO2/PTFE Composite
Abstract
1. Introduction
2. Simulation Methods
2.1. Alternating-Field Polarization Phase-Field Model
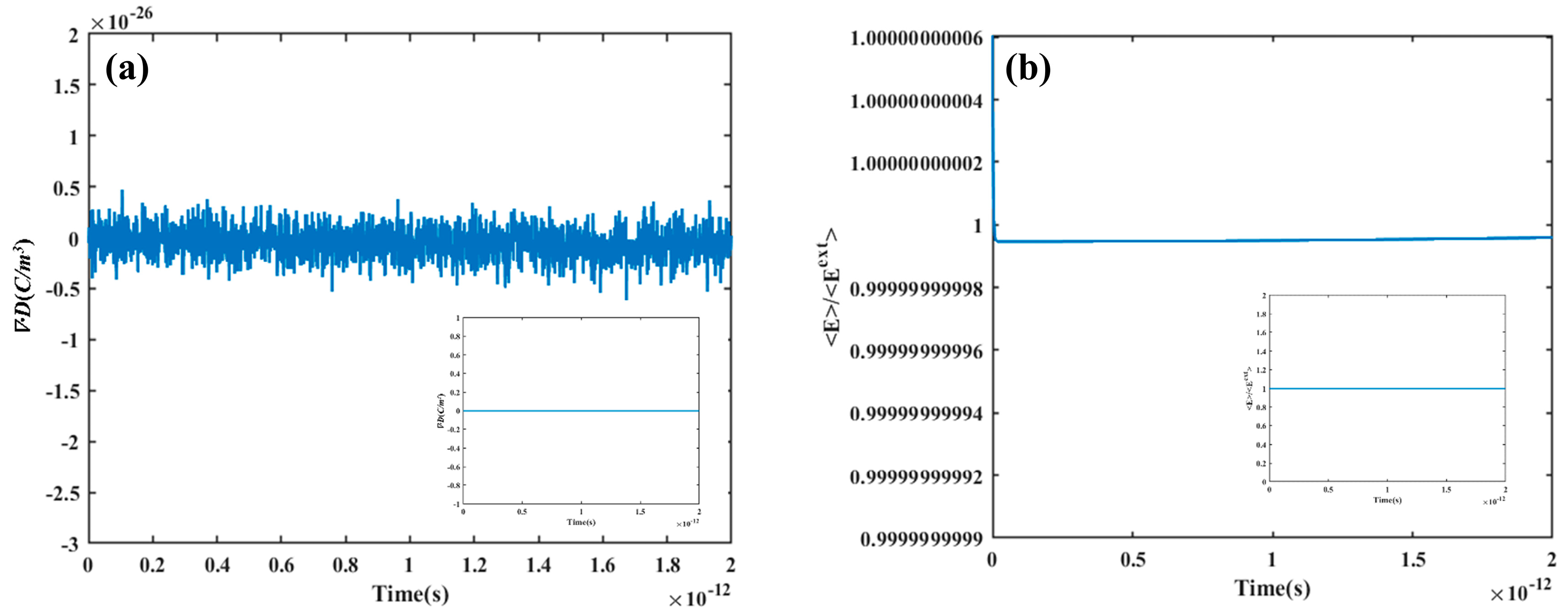
2.2. Model Parameter Setting and Model Verification
3. Results and Discussion
3.1. Effect of Dielectric Mismatch on High-Frequency Polarization Loss
3.2. The Relationship between SiO2 Coating Shell and High-Frequency Polarization Loss
4. Conclusions
Author Contributions
Funding
Institutional Review Board Statement
Informed Consent Statement
Data Availability Statement
Conflicts of Interest
References
- Wang, H.; Yang, H.; Wang, Q.; Tong, J.; Wen, J.; Zhang, Q. Surface-modified Li3Mg2NbO6 ceramic particles and hexagonal boron nitride sheets filled PTFE composites with high through-plane thermal conductivity and extremely low dielectric loss. Compos. Commun. 2020, 22, 100523. [Google Scholar] [CrossRef]
- Johanna, Z.; Mark, M.; Stefanie, W.; Klaus, H.; Thorsten, G.; Monika, W.; Ralf, M. Thermal, dielectric, and mechanical properties of h-BN-filled PTFE composites. J. Appl. Polym. Sci. 2018, 135, 46859. [Google Scholar] [CrossRef]
- Bian, W.; Yao, T.; Chen, M.; Zhang, C.; Shao, T.; Yang, Y. The synergistic effects of the micro-BN and nano-Al2O3 in micro-nano composites on enhancing the thermal conductivity for insulating epoxy resin. Compos. Sci. Technol. 2018, 168, 420–428. [Google Scholar] [CrossRef]
- Liu, D.; Wang, J.; Peng, W.; Wang, X.; Ren, H.; Kirk, D.W. Reduced graphene oxide-based dielectric nanocomposites with small dielectric relaxation times for emerging dielectric electronics with high-frequency performance demands. ACS Appl. Nano Mater. 2022, 5, 13425–13433. [Google Scholar] [CrossRef]
- Wang, Q.; Wang, H.; Zhang, C.; Zhang, Q.; Yang, H. Core-Shell Sr2CeO4@SiO2 filled COC-based composites with low dielectric loss for high-frequency substrates. Polymers 2021, 13, 4006. [Google Scholar] [CrossRef] [PubMed]
- Wang, L.; Yang, J.; Cheng, W.; Zou, J.; Zhao, D. Progress on polymer composites with low dielectric constant and low dielectric loss for high-frequency signal transmission. Front. Mater. 2021, 8, 774843. [Google Scholar] [CrossRef]
- Jin, W.; Li, A.; Li, Y.; Yu, Y.; Shen, J.; Zhou, J.; Chen, W. Enhancing high-frequency dielectric and mechanical properties of SiO2/PTFE composites from the interface fluorination. Ceram. Int. 2022, 48, 28512–28518. [Google Scholar] [CrossRef]
- Pan, C.; Kou, K.; Jia, Q.; Zhang, Y.; Wu, G.; Ji, T. Improved thermal conductivity and dielectric properties of hBN/PTFE composites via surface treatment by silane coupling agent. Compos. Part B Eng. 2017, 111, 83–90. [Google Scholar] [CrossRef]
- Wang, H.; Zhou, F.; Guo, J.; Zhang, Y.; Yang, H.; Zhang, Q. Surface-modified Zn0.5Ti0.5NbO4 particles filled polytetrafluoroethylene composite with extremely low dielectric loss and stable temperature dependence. J. Adv. Ceram. 2020, 9, 726–738. [Google Scholar] [CrossRef]
- Wang, G.; Huang, X.; Jiang, P. Bio-inspired polydopamine coating as a facile approach to constructing polymer nanocomposites for energy storage. J. Mater. Chem. C 2017, 5, 3112–3120. [Google Scholar] [CrossRef]
- Chen, J.; Zhang, X.; Yang, X.; Li, C.; Wang, Y.; Chen, W. High breakdown strength and energy storage density in aligned SrTiO3@SiO2 core-shell platelets incorporated polymer composites. Membranes 2021, 11, 756. [Google Scholar] [CrossRef] [PubMed]
- Dat, N.N.; Hien, N.T.T. Dielectric function and impurity-limited mobility of semiconductor quantum wires: Effects of dielectric mismatch and finite confining potential. Eur. Phys. J. B 2022, 95, 31. [Google Scholar] [CrossRef]
- Zhang, Z.; Dang, W.; Dong, C.; Chen, G.; Wang, Y.; Guan, H. Facile synthesis of core–shell carbon nanotubes@MnOOH nanocomposites with remarkable dielectric loss and electromagnetic shielding properties. RSC Adv. 2016, 6, 90002–90009. [Google Scholar] [CrossRef]
- Wu, B.; Mao, X.; Xu, Y.; Li, R.; Wu, N.; Tang, X. Improved dielectric and thermal properties of core-shell structured SiO2/polyolefin polymer composites for high-frequency copper clad laminates. Appl. Surf. Sci. 2021, 544, 148911. [Google Scholar] [CrossRef]
- Liu, Q.; Dai, J.; Hu, F.; Zhang, Z.; Xiong, K.; Xu, G. Core-shell structured Fe/ZnO composite with superior electromagnetic wave absorption performance. Ceram. Int. 2021, 47, 14506–14514. [Google Scholar] [CrossRef]
- Deng, L.; Zhai, Y.; Chen, Y.; Wang, N.; Huang, Y. Enhancing local electric fields at plasmonic nanogaps by optimal dielectric coatings. J. Phys. D Appl. Phys. 2020, 53, 155103. [Google Scholar] [CrossRef]
- Pan, Z.; Zhai, J.; Shen, B. Multilayer hierarchical interfaces with high energy density in polymer nanocomposites composed of BaTiO3@TiO2@Al2O3 nanofibers. J. Mater. Chem. A 2017, 5, 15217. [Google Scholar] [CrossRef]
- Semenovskaya, S.; Khachaturyan, A.G. Development of ferroelectric mixed states in a random field of static defects. J. Appl. Phys. 1998, 83, 5125–5136. [Google Scholar] [CrossRef]
- Wang, M.; Xia, T.; Geng, L. Phase-field study of crystallographic texturing in piezoelectric polycrystals. J. Adv. Dielectr. 2022, 12, 2244002. [Google Scholar] [CrossRef]
- Krauß, M.; Münch, I. A selective enhanced FE-method for phase-field modeling of ferroelectric materials. Comput. Mech. 2016, 57, 105–122. [Google Scholar] [CrossRef]
- Yurtseven, H.; Dogan, E.K. Analysis of the dielectric constant, spontaneous polarization and the coersive field close to the phase transitions in ferroelectric K2CoCl4. Ferroelectrics 2016, 504, 15–21. [Google Scholar] [CrossRef]
- Fedeli, P.; Kamlah, M.; Frangi, A. Phase-field modeling of domain evolution in ferroelectric materials in the presence of defects. Smart Mater. Struct. 2019, 28, 035021. [Google Scholar] [CrossRef]
- Wang, J.; Wang, B.; Chen, L. Understanding, predicting, and designing ferroelectric domain structures and switching guided by the phase-field method. Annu. Rev. Mater. Res. 2019, 49, 127–152. [Google Scholar] [CrossRef]
- Indergand, R.; Vidyasagar, A.; Nadkarni, N.; Kochmann, D.M. A phase-field approach to studying the temperature-dependent ferroelectric response of bulk polycrystalline PZT. J. Mech. Phys. Solids 2020, 144, 104098. [Google Scholar] [CrossRef]
- Zhang, J.; Hou, X.; Zhang, Y.; Tang, G.; Wang, J. Electrocaloric effect in ferroelectric materials: From phase field to first-principles based effective hamiltonian modeling. Mater. Rep. Energy 2021, 1, 34–63. [Google Scholar] [CrossRef]
- Hua, X.; Wang, L.; Yang, S. Molecular dynamics simulation of improving the physical properties of polytetrafluoroethylene cable insulation materials by boron nitride nanoparticle under moisture-temperature-electric fields conditions. Polymers 2019, 11, 971. [Google Scholar] [CrossRef] [PubMed]
- Vásárhelyi, L.; Hegedűs, T.; Sáringer, S.; Ballai, G.; Szilágyi, I.; Kónya, Z. Stability of Boron Nitride Nanosphere Dispersions in the Presence of Polyelectrolytes. Langmuir 2021, 37, 5399–5407. [Google Scholar] [CrossRef]
- Li, Y.; Zhou, J.; Shen, J.; Li, Q.; Qi, Y.; Chen, W. Ultra-low permittivity HSM/PTFE composites for high-frequency microwave circuit application. J. Mater. Sci. Mater. Electron. 2022, 33, 10096–10103. [Google Scholar] [CrossRef]
- Wang, Y.; Tan, D.; Krahn, J. Computational study of dielectric composites with core-shell filler particles. J. Appl. Phys. 2011, 110, 044103. [Google Scholar] [CrossRef]
- Wang, Y.; Tan, D. Computational study of filler microstructure and effective property relations in dielectric composites. J. Appl. Phys. 2011, 109, 104102. [Google Scholar] [CrossRef]
- Bo, L.; Li, G.; Min, C. Simulation on propagation characteristics of Ultra-High Frequency (UHF) electromagnetic wave inside typical Gas Insulated Switchgear (GIS) structures. J. Nanoelectron. Optoelectron. 2019, 14, 551–562. [Google Scholar] [CrossRef]
- He, C.; Li, T.; Cheng, R.; Wang, H.; Li, H.; Zhou, Y.; Wang, K.; Ghannouchi, F.M.; Hu, B. Compact dual-frequency relativistic magnetron with TEM mode output. IEEE Trans. Electron Devices 2020, 67, 4421–4425. [Google Scholar] [CrossRef]
- Das, B.C.; Das, H.; Matin, M.A.; Hossain, A.A. Rietveld refinement analysis and influence of individual phases on the magnetoelectrically coupled (1-x)BSZT+xNCZGF multiferroic composites. J. Alloys Compd. 2021, 881, 160632. [Google Scholar] [CrossRef]
- Shen, Z.-H.; Shen, Y.; Cheng, X.-X.; Liu, H.-X.; Chen, L.-Q.; Nan, C.-W. High-throughput data-driven interface design of high-energy-density polymer nanocomposites. J. Mater. 2020, 6, 573–581. [Google Scholar] [CrossRef]
- Xie, B.; Wang, Q.; Zhang, Q.; Liu, Z.; Lu, J.; Zhang, H.; Jiang, S. High energy storage performance of PMMA nanocomposites utilizing hierarchically structured nanowires based on interface engineering. ACS Appl. Mater. Interfaces 2021, 13, 27382–27391. [Google Scholar] [CrossRef]
- Zhang, Y.-S.; Wang, M.; Yang, C.; Shao, Y.-W.; Qi, X.-D.; Yang, J.-H.; Wang, Y. Heterogeneous BaTiO3@Ag core-shell fibers as fillers for polymer dielectric composites with simultaneously improved dielectric constant and breakdown strength. Compos. Commun. 2021, 27, 100874. [Google Scholar] [CrossRef]
- Khachaturyan, R.; Wehner, J.; Genenko, Y.A. Correlated polarization-switching kinetics in bulk polycrystalline ferroelectrics: A self-consistent mesoscopic switching model. Phys. Rev. B 2017, 96, 054113. [Google Scholar] [CrossRef]







Disclaimer/Publisher’s Note: The statements, opinions and data contained in all publications are solely those of the individual author(s) and contributor(s) and not of MDPI and/or the editor(s). MDPI and/or the editor(s) disclaim responsibility for any injury to people or property resulting from any ideas, methods, instructions or products referred to in the content. |
© 2023 by the authors. Licensee MDPI, Basel, Switzerland. This article is an open access article distributed under the terms and conditions of the Creative Commons Attribution (CC BY) license (https://creativecommons.org/licenses/by/4.0/).
Share and Cite
He, W.; Qi, Y.; Shen, J.; Chen, X.; Fan, M.; Zhou, J.; Chen, W. Effect of Coating Shell on High-Frequency Polarization Loss of Core-Shell Filler Dielectric Composites: An Alternating-Field Polarization Phase-Field Simulation of BN@SiO2/PTFE Composite. Materials 2023, 16, 5418. https://doi.org/10.3390/ma16155418
He W, Qi Y, Shen J, Chen X, Fan M, Zhou J, Chen W. Effect of Coating Shell on High-Frequency Polarization Loss of Core-Shell Filler Dielectric Composites: An Alternating-Field Polarization Phase-Field Simulation of BN@SiO2/PTFE Composite. Materials. 2023; 16(15):5418. https://doi.org/10.3390/ma16155418
Chicago/Turabian StyleHe, Wenhao, Yu Qi, Jie Shen, Xian Chen, Ming Fan, Jing Zhou, and Wen Chen. 2023. "Effect of Coating Shell on High-Frequency Polarization Loss of Core-Shell Filler Dielectric Composites: An Alternating-Field Polarization Phase-Field Simulation of BN@SiO2/PTFE Composite" Materials 16, no. 15: 5418. https://doi.org/10.3390/ma16155418
APA StyleHe, W., Qi, Y., Shen, J., Chen, X., Fan, M., Zhou, J., & Chen, W. (2023). Effect of Coating Shell on High-Frequency Polarization Loss of Core-Shell Filler Dielectric Composites: An Alternating-Field Polarization Phase-Field Simulation of BN@SiO2/PTFE Composite. Materials, 16(15), 5418. https://doi.org/10.3390/ma16155418

