Mechanical Properties of Composite Silty Soil Modified with Cement and Zirconia-Based Nanopowder
Abstract
1. Introduction
2. Test Materials and Program
2.1. Experimental Raw Materials
2.1.1. Silty Soil
2.1.2. Cement
2.1.3. Nanopowders
2.2. Experimental Program
2.3. Preparation and Curing of Specimens
- (1)
- Pre-preparation: Before sample preparation, soil was air-dried and dried to ensure a zero-moisture content. Then, the samples were passed through a 2 mm sieve to remove impurities.
- (2)
- Mold preparation: Molds were cleaned and dried. Then, petroleum jelly was applied evenly on the inside of the molds, which were assembled by tying them with leather straps.
- (3)
- Preparation of soil samples: Silty soil, cement, water, and nanopowder were weighed separately. The cement and nanopowder were first put into the mixing pot of silt soil and stirred evenly by hand. Then, the mixing pot was placed on the mixing machine for stirring, and the weighed water was slowly poured into the mixing pot during the stirring process. Low- and high-speed stirring modes were used during mixing, and the mechanical stirring time exceeded 10 min.
- (4)
- Specimen forming: The mold was filed with well-mixed modified soil in three portions, each time with sufficient shaking to exclude air.
- (5)
- Resting and demolding: The soil sample was left in the mold for 2 h and the lid was removed. A spatula was used to scrape off the outside of the mold, and then the ends of the sample box were wrapped with filter paper and secured with a leather strap.
- (6)
- Conservation: The specimens were placed in water to stand. The water surface should be higher than 2 cm above the specimen, and there should be appropriate intervals between specimens.
- (7)
- Demolding: The specimens of the required curing age were removed from the mold using a counterforce frame to make a specimen 39.1 mm in diameter and 80 mm in height.
- (8)
- Inspection: The weight of the specimen was measured using a balance, and the height of the specimen was measured using a Vernier caliper. After the test, the mass of the modified soil specimen was approximately 165 g. The specimens exceeding the mass by ±5 g and the height by ±1 mm should be regarded as invalid specimens and re-prepared, cured, and verified again.
3. Conclusions and Analysis
3.1. Mechanical Properties of Cement-Modified Silty Soil
3.2. Nanopowder-Cement-Modified Silty Soil Orthogonal Test
3.3. Orthogonal Results and Analysis
3.4. Orthogonal Test Extreme Difference Analysis and Optimal Ratio
4. Discrete Element Numerical Simulation Analysis
4.1. Basic Assumptions of PFC2D
- (1)
- The particles are rigid bodies;
- (2)
- The mutual contact between the particles is simplified by a point contact;
- (3)
- There is an overlap between particles, and the contact force is calculated using the force-displacement law at the point of contact;
- (4)
- Presence of bond strength is stipulated.
4.2. Model Build Process
- (1)
- The parallel bonding model describes the bond strength of the material, i.e., the intermolecular forces within the material;
- (2)
- The parallel bonding model describes the multidirectional nature of the material, i.e., the strength stiffness of the material in different directions;
- (3)
- The parallel bonding model describes the elasticity of the material, i.e., the recovery of the original shape size of the material subjected to the load;
- (4)
- The parallel bonding model describes the damage mode of the material, i.e., the deformation of the material when it is subjected to a load;
- (5)
- The fine parameters should be continuously tuned to simulate the actual test results. Combined with the relevant literature, the fine parameters to be set for the parallel bonding model are listed in Table 8.
4.3. Simulation Results and Analysis
4.4. Triaxial Test Simulation Prediction and Analysis
5. Conclusions
- (1)
- By orthogonal test design, the effect of zirconia-based nanopowder content (1.5, 2, and 2.5%) on cement-modified silty soil strength improvement was studied.
- (2)
- The optimum combination of factors was A3B2C3, i.e., a 20% cement content, a 2% nanopowder content, and a 28 d curing age. The orthogonal trend diagram was plotted via the extreme difference analysis. It implied that cement content was the most significant factor controlling the modified silty soil strength. The maximum peak stress was 2196.33 kPa under the optimum combination of factors, which could be obtained through the index estimation, and these results were experimentally verified.
- (3)
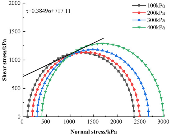
- According to the predicted strength envelope, the cohesive force of the optimally prepared nanopowder-cement-modified silty soil was 717.11 kPa, and the internal friction angle was 21.05°.
Author Contributions
Funding
Institutional Review Board Statement
Informed Consent Statement
Data Availability Statement
Conflicts of Interest
References
- Chen, X.; Jeyaseelan, S.; Graham, N. Physical and chemical properties study of the activated carbon made from sewage sludge. Waste Manag. 2002, 22, 755–760. [Google Scholar] [CrossRef] [PubMed]
- Ibrahim, A.H.; Bakar, M.Y.A.; Abidin, C.Z.A.; Ridwan, F.M.; Jalil, M.F.A. Physical and mechanical properties of clay sludge brick. IOP Conf. Ser. Earth Environ. Sci. 2021, 646, 012022. [Google Scholar] [CrossRef]
- Kocbek, E.; Garcia, H.A.; Hooijmans, C.M.; Mijatović, I.; Kržišnik, D.; Humar, M.; Brdjanovic, D. Effects of the sludge physical-chemical properties on its microwave drying performance. Sci. Total Environ. 2022, 828, 154142. [Google Scholar] [CrossRef] [PubMed]
- Zhang, H.; Liu, M.; Yu, J.; Sun, Y.; Zhou, P.; Song, J.; Song, X. Mechanical and physical properties of silt-based foamed concrete with different silt types. Arab. J. Sci. Eng. 2022, 47, 12803–12815. [Google Scholar] [CrossRef]
- Jiang, C.; Ding, X.; Fang, H.; Ou, Q.; Niu, L. The undrained shear behavior of clean coral silt and coral silt-sand mixtures. J. Test. Eval. 2023, 51, 5–20. [Google Scholar] [CrossRef]
- Wang, S.; Luna, R.; Onyejekwe, S. Effect of initial consolidation condition on polycyclic undrained monotonic shear behavior of Mississippi River Valley silt. J. Geotech. Geoenviron. Eng. 2016, 142, 04015075. [Google Scholar] [CrossRef]
- Pu, S.Y.; Zhu, Z.D.; Wang, H.R.; Song, W.; Wei, R. Mechanical characteristics and water stability of silt solidified by incorporating lime, lime and cement mixture, and SEU-2 binder. Constr. Build. Mater. 2019, 214, 111–120. [Google Scholar] [CrossRef]
- Cui, K.; Fan, S. Indoor direct shear and uniaxial compression testing of polymer-modified silt. Clust. Comput. 2019, 22, 5447–5455. [Google Scholar] [CrossRef]
- Sai, Z.; Wang, L.; Han, H.; Wu, W.; Sun, Z.; Wei, J.; Zhang, L.; Hu, G.; Wu, H. Mechanical and self-healing performance of yellow river alluvial silt treated with composite flexible curing agent. Coatings 2022, 12, 870. [Google Scholar] [CrossRef]
- Zhang, X.; Zhang, Y.; Liu, X.; Liu, J.; Liu, J. Shakedown behavior of Yellow River alluvial silt stabilized with lignin-lime combined additive. J. Mater. Civ. Eng. 2020, 32, 04019318. [Google Scholar] [CrossRef]
- Wang, Y.; Wang, G.; Wan, Y.; Yu, X.; Zhao, J.; Shao, J. Recycling of dredged river silt reinforced by an eco-friendly technology as microbial-induced calcium carbonate precipitation (MICP). Soils Found. 2022, 62, 101216. [Google Scholar] [CrossRef]
- Williams, J.R.; Rege, N. The development of circulation cell structures in granular materials undergoing compression. Powder Technol. 1997, 90, 187–194. [Google Scholar] [CrossRef]
- Utili, S.; Nova, R. DEM analysis of bonded granular geomaterials. Int. J. Numer. Anal. Methods Geomech. 2008, 32, 1997–2031. [Google Scholar] [CrossRef]
- Belheine, N.; Plassiard, J.-P.; Donzé, F.-V.; Darve, F.; Seridi, A. Numerical simulation of drained triaxial test using 3D discrete element modeling. Comput. Geotech. 2009, 36, 320–331. [Google Scholar] [CrossRef]
- Pallavi; Joshi, S.; Singh, D.; Kaur, M.; Lee, H.-N. Comprehensive review of orthogonal regression and its applications in different domains. Arch. Comput. Methods Eng. 2022, 29, 4027–4047. [Google Scholar] [CrossRef]
- Zhang, T.; Fang, B.; Tang, Y.Y.; Shang, Z.; He, G. A least-squares model to orthogonal linear discriminant analysis. Int. J. Pattern Recognit. Artif. Intell. 2010, 24, 635–650. [Google Scholar] [CrossRef]
- Filipuk, G.; Van Assche, W.; Zhang, L. Ladder operators and differential equations for multiple orthogonal polynomials. J. Phys. A Math. Theor. 2013, 46, 205204. [Google Scholar] [CrossRef]
- Xiao, B.; Li, L.; Li, Y.; Li, W.; Wang, G. Image analysis by fractional-order orthogonal moments. Inf. Sci. 2017, 382, 135–149. [Google Scholar] [CrossRef]
- Gaoxin, W.; Youliang, D. Research on monitoring temperature difference from cross sections of steel truss arch girder of Dashengguan Yangtze Bridge. Int. J. Steel Struct. 2015, 15, 647–660. [Google Scholar] [CrossRef]
- Huang, S.; Cai, C.; Zou, Y.; He, X.; Zhou, T. Investigation of temperature variations and extreme temperature differences for the corrugated web steel beams under solar radiation. Sensors 2022, 22, 4557. [Google Scholar] [CrossRef]
- Zhao, Z.; Yao, C.; Li, C.; Islam, S. Detection of power transformer winding deformation using improved FRA based on binary morphology and extreme point variation. IEEE Trans. Ind. Electron. 2017, 65, 3509–3519. [Google Scholar] [CrossRef]
- Liu, W.; Liao, A.; Wang, B. The generalized orthogonal solutions of the matrix inverse problem AX = B and optimal approximation. Filomat 2017, 31, 4023–4031. [Google Scholar] [CrossRef]
- Zhao, L.; Chen, G.; Liu, Q. Least squares (P, Q)-orthogonal symmetric solutions of the matrix equation and its optimal approximation. Electron. J. Linear Algebra 2010, 20, 537–551. [Google Scholar] [CrossRef][Green Version]
- Furfaro, R.; Mortari, D. Least-squares solution of a class of optimal space guidance problems via Theory of Connections. Acta Astronaut. 2020, 168, 92–103. [Google Scholar] [CrossRef]
- Choque-Rivero, A.E. On the solution set of the admissible bounded control problem via orthogonal polynomials. IEEE Trans. Autom. Control 2016, 62, 5213–5219. [Google Scholar] [CrossRef]
- Park, E.S.; Ryu, C.H. The mechanical behavior of jointed rock masses by using PFC2D. Tunn. Undergr. Space 2005, 15, 119–128. [Google Scholar]
- Zhou, Z.; Li, Z.; Ranjith, P.G.; Wen, Z.; Shi, S.; Wei, C. Numerical simulation of the influence of seepage direction on suffusion in granular soils. Arab. J. Geosci. 2020, 13, 669. [Google Scholar] [CrossRef]
- Huang, G.; Yang, Y.; Liu, M.; Zhang, J.; Liu, F.; Mwangi, A.D.; Ye, H. Numerical study on mechanical properties of the freezing-thawing cycle of tailings based on particle discrete element method. Minerals 2022, 12, 904. [Google Scholar] [CrossRef]
- Liu, W.; Meng, F.; Pu, H.; Wang, J.; Zhang, G.; Yi, Q. The seepage-creep numerical simulation model of coal measures sandstone based on particle discrete element. Geofluids 2022, 2022, 5981768. [Google Scholar] [CrossRef]
- Ajamzadeh, M.R.; Sarfarazi, V.; Haeri, H.; Dehghani, H. The effect of micro parameters of PFC software on the model calibration. Smart Struct. Syst. 2018, 22, 643–662. [Google Scholar]
- Starodumov, I.; Kropotin, N. Features in the simulation of crystal growth using the hyperbolic PFC equation and the dependence of the numerical solution on the parameters of the computational grid. AIP Conf. Proc. 2016, 1759, 020136. [Google Scholar]











| Specific Gravity | Water Content/% | Fluid Limit/% | Restriction on Plastic/% | Liquid Limit Index | Plastic Limit Index |
|---|---|---|---|---|---|
| 2.70 | 49.6 | 44.9 | 24.3 | 1.19 | 21.2 |
| Cement Composition | CaO | SiO2 | Al2O3 | Fe2O3 | FeO | SO3 | K2O | Na2O |
|---|---|---|---|---|---|---|---|---|
| Content/% | 65.1 | 20.6 | 4.7 | 3.4 | 2.5 | 2.1 | 0.5 | 0.7 |
| Nanopowder Composition | ZrO2 | SiO2 | Fe2O3 | TiO2 |
|---|---|---|---|---|
| Content/% | 85 | 5 | 5 | 5 |
| Specimen Number | Soil Material | Water Content/% | Cement Mixing Proportion/% | Nanopowder Doping/% | Curing Age/d |
|---|---|---|---|---|---|
| 1 | Silty soil | 50 | 10 | 1 | 7 |
| 2 | 50 | 10 | 1.5 | 14 | |
| 3 | 50 | 10 | 2 | 28 | |
| 4 | 50 | 15 | 1 | 14 | |
| 5 | 50 | 15 | 1.5 | 28 | |
| 6 | 50 | 15 | 2 | 7 | |
| 7 | 50 | 20 | 1 | 28 | |
| 8 | 50 | 20 | 1.5 | 7 | |
| 9 | 50 | 20 | 2 | 14 |
| 10% Cement Mixing | 15% Cement Mixing | 20% Cement Mixing | Curing Age | |
|---|---|---|---|---|
| Cement-modified silty soil peak stress/kPa | 735~794 | 951~1196 | 1426~1641 | 7 d |
| 836~877 | 1261~1391 | 1688~1818 | 14 d | |
| 949~1029 | 1602~1876 | 1689~1938 | 28 d |
| Test Number | Factor A | Factor B | Factor C | Remarks |
|---|---|---|---|---|
| 1 | A1 | B1 | C1 | 10% cement, 1% nanopowder, 7 d |
| 2 | A2 | B2 | C2 | 10% cement, 1.5% nanopowder, 14 d |
| 3 | A3 | B3 | C3 | 10% cement, 2% nanopowder, 28 d |
| 4 | A4 | B4 | C4 | 15% cement, 1% nanopowder, 7 d |
| 5 | A5 | B5 | C5 | 15% cement, 1.5% nanopowder, 14 d |
| 6 | A6 | B6 | C6 | 15% cement, 2% nanopowder, 28 d |
| 7 | A7 | B7 | C7 | 20% cement, 1% nanopowder, 7 d |
| 8 | A8 | B8 | C8 | 20% cement, 1.5% nanopowder, 14 d |
| 9 | A9 | B9 | C9 | 20% cement, 2% nanopowder, 28 d |
| Test Number | A | B | C | ||||||
|---|---|---|---|---|---|---|---|---|---|
| 1 | 1 | 1 | 1 | 791 | 818 | 809 | 791 | 852 | 812.2 |
| 2 | 1 | 2 | 2 | 939 | 964 | 936 | 860 | 922 | 924.2 |
| 3 | 1 | 3 | 3 | 1025 | 1088 | 1062 | 1067 | 1083 | 1065.0 |
| 4 | 2 | 1 | 2 | 1701 | 1636 | 1615 | 1625 | 1712 | 1657.8 |
| 5 | 2 | 2 | 3 | 2010 | 1904 | 1823 | 1999 | 1970 | 1941.2 |
| 6 | 2 | 3 | 1 | 1197 | 1278 | 1309 | 1217 | 1295 | 1259.2 |
| 7 | 3 | 1 | 3 | 1903 | 1956 | 2162 | 2079 | 2073 | 2034.7 |
| 8 | 3 | 2 | 1 | 1801.0 | |||||
| 9 | 3 | 3 | 2 | 2128.8 | |||||
| K1 | 2801.4 | 4504.6667 | 3872.4 | 13,624.1 | |||||
| K2 | 4858.2 | 4666.4 | 4710.8 | ||||||
| K3 | 5964.46 | 4453 | 5040.867 | ||||||
| k1 | 933.8 | 1501.56 | 1290.8 | 1513.79 | |||||
| k2 | 1619.4 | 1555.47 | 1570.27 | ||||||
| k3 | 1988.16 | 1484.33 | 1680.29 | ||||||
| R | 1054.36 | 71.13 | 389.49 |
| Particle FINE Parameters | Parallel Bonding Model Parameters |
|---|---|
| Particle porosity | Parallel contact modulus |
| Maximum particle radius | Parallel bonding stiffness ratio |
| Minimum particle radius | Normal bonding strength |
| Particle friction coefficient | Tangential bond strength |
| Linear stiffness ratio | Internal friction angle |
| Particle Porosity | Minimum Particle Radius | Maximum Particle Radius | Friction Coefficient |
|---|---|---|---|
| 0.16 | 0.2 | 0.3 | 0.5 |
| Linear Contact Modulus/Pa | Contact Stiffness Ratio | Parallel Contact Modulus/Pa | Cohesion/Pa | Tensile Strength/Pa |
|---|---|---|---|---|
| 106 | 1.5 | 106 | 1.23 × 106 | 2.4 × 106 |
Disclaimer/Publisher’s Note: The statements, opinions and data contained in all publications are solely those of the individual author(s) and contributor(s) and not of MDPI and/or the editor(s). MDPI and/or the editor(s) disclaim responsibility for any injury to people or property resulting from any ideas, methods, instructions or products referred to in the content. |
© 2023 by the authors. Licensee MDPI, Basel, Switzerland. This article is an open access article distributed under the terms and conditions of the Creative Commons Attribution (CC BY) license (https://creativecommons.org/licenses/by/4.0/).
Share and Cite
Hu, J.; Xu, C.; Ren, J.; Xiong, H.; Wang, Z.; Yang, Y. Mechanical Properties of Composite Silty Soil Modified with Cement and Zirconia-Based Nanopowder. Materials 2023, 16, 5281. https://doi.org/10.3390/ma16155281
Hu J, Xu C, Ren J, Xiong H, Wang Z, Yang Y. Mechanical Properties of Composite Silty Soil Modified with Cement and Zirconia-Based Nanopowder. Materials. 2023; 16(15):5281. https://doi.org/10.3390/ma16155281
Chicago/Turabian StyleHu, Jun, Chenming Xu, Junhao Ren, Hui Xiong, Zhixin Wang, and Yongchang Yang. 2023. "Mechanical Properties of Composite Silty Soil Modified with Cement and Zirconia-Based Nanopowder" Materials 16, no. 15: 5281. https://doi.org/10.3390/ma16155281
APA StyleHu, J., Xu, C., Ren, J., Xiong, H., Wang, Z., & Yang, Y. (2023). Mechanical Properties of Composite Silty Soil Modified with Cement and Zirconia-Based Nanopowder. Materials, 16(15), 5281. https://doi.org/10.3390/ma16155281

