Design and Performance of Layered Heterostructure Composite Material System for Protective Armors
Abstract
1. Introduction
2. Materials and Experimental Methods
3. Results and Discussion
4. Analytical Model of Layered Composite Material System
5. Numerical Simulation of Projectile Target Impact of Layered Structure
5.1. Numerical Model
5.2. Numerical Results
- (a)
- Stress distribution analysis
- (b) Adiabatic temperature analysis
5.3. Comparative Analysis
6. Conclusions
- a.
- The proposed layered heterostructure composite system was tested with the SHPB test. The results revealed that at a high-speed impact, the layered heterostructure composite structure system exhibited an enhanced impact resistance under the influence of hetero-deformation-induced (HDI) hardening and the combined effect of back stress and forward stress in the layers of the composite structure. The structure behaved as a unified entity to offer resistance to the high-speed impact.
- b.
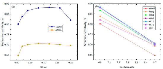
- The strain rate sensitivity decreased with an increase in the strain rate while the strain energy density exhibited a significant increase when the strain exceeded 0.14, and at lower strain values, the strain energy density was almost similar, showing no response to an increased strain rate.
- c.
- The proposed modifications in the Florence model to translate the energy absorption and target the plate thickness revealed that the heterostructure composite material system has energy distribution in such a way that the maximum energy is absorbed by the ductile and hard front layer and a much lesser amount is transferred to the soft ductile backing layer.
- d.
- When the two ductile materials with different properties and layer thicknesses were joined together, they responded to the incoming projectile like an elastic collision. The heterostructure composite material system exhibited a slight bend and bounced back the projectile mass probably due to the fact that the yield strength of the front layer was decreased while the back layer’s strength was increased. Their collective response enabled the composite structure to show an enhanced ductility with strength.
- e.
- The numerical simulation of the proposed heterostructure composite validated the findings of the analytical model, and the energy distribution values are in good agreement with each other. Hence, the proposed heterostructure composite material system can potentially be utilized as a protective armor system.
Author Contributions
Funding
Institutional Review Board Statement
Informed Consent Statement
Data Availability Statement
Conflicts of Interest
Glossary/Nomenclature/Abbreviations
| Et | Energy absorbed during impact |
| Ep | Energy consumed in plug formation |
| E1 | Energy absorbed by 1st/front layer at impact point that results in erosion or perforation |
| E2 | Energy absorbed in radial stretching of target plate at front end |
| E3 | energy absorbed by 2nd/back layer of composite structure |
| density of bullet | |
| density of target front layer | |
| density of target back layer | |
| thickness of target (front layer) | |
| thickness of target (back layer) | |
| cross-sectional area of bullet | |
| radius of bullet | |
| yield strength of target plate (front layer) | |
| initial velocity of bullet | |
| ballistic limit velocity | |
| residual velocity of bullet | |
| nose length of bullet | |
| plate deflection | |
| Poisson ratio | |
| thickness of bullet | |
| mass of bullet | |
| mass of bullet at the time it encounters 2nd layer of composite structure | |
| depth of crater | |
| crater profile | |
| radius of dent on back layer | |
| deformation parameter based on stress and strain |
References
- Zhu, Y.; Ameyama, K.; Anderson, P.M.; Beyerlein, I.J.; Gao, H.; Kim, H.S.; Lavernia, E.; Mathaudhu, S.; Mughrabi, H.; Ritchie, R.O.; et al. Heterostructured Materials: Superior Properties from Hetero-Zone Interaction. Mater. Res. Lett. 2021, 9, 1–31. [Google Scholar] [CrossRef]
- Liu, B.X.; Huang, L.J.; Geng, L.; Kaveendran, B.; Wang, B.; Song, X.Q.; Cui, X.P. Gradient Grain Distribution and Enhanced Properties of Novel Laminated Ti-TiBw/Ti Composites by Reaction Hot-Pressing. Mater. Sci. Eng. A 2014, 595, 257–265. [Google Scholar] [CrossRef]
- Liu, B.X.; Huang, L.J.; Rong, X.D.; Geng, L.; Yin, F.X. Bending Behaviors and Fracture Characteristics of Laminatedductile-Tough Composites under Different Modes. Compos. Sci. Technol. 2016, 126, 94–105. [Google Scholar] [CrossRef]
- Lesuer, D.R.; Syn, C.K.; Riddle, R.A.; Sherby, O.D. Extrinsic Fracture Mechanisms in Two Laminated Metal Composites; Lawrence Livermore National Lab. (LLNL): Livermore, CA, USA, 1994; pp. 93–102. [Google Scholar]
- Lesuer, D.R.; Syn, C.K.; Sherby, O.D.; Wadsworth, J.; Lewandowski, J.J.; Hunt, W.H. Mechanical Behaviour of Laminated Metal Composites. Int. Mater. Rev. 1996, 41, 169–197. [Google Scholar] [CrossRef]
- Khan, R.; Ya, H.H.; Shah, I.; Niazi, U.M.; Ahmed, B.A.; Irfan, M.; Glowacz, A.; Pilch, Z.; Brumercik, F.; Azeem, M.; et al. Influence of Elbow Angle on Erosion-Corrosion of 1018 Steel for Gas–Liquid–Solid Three Phase Flow. Materials 2022, 15, 3721. [Google Scholar] [CrossRef]
- Ali, S.; Irfan, M.; Niazi, U.M.; Rani, A.M.A.; Shah, I.; Legutko, S.; Rahman, S.; Jalalah, M.; Alsaiari, M.A.; Glowacz, A.; et al. Synthesis, Surface Nitriding and Characterization of Ti-Nb Modified 316l Stainless Steel Alloy Using Powder Metallurgy. Materials 2021, 14, 3270. [Google Scholar] [CrossRef]
- Luo, R.K.; Green, E.R.; Morrison, C.J. Impact Damage Analysis of Composite Plates. Int. J. Impact Eng. 1999, 22, 435–447. [Google Scholar] [CrossRef]
- Elek, P.; Jaramaz, S.; Micković, D. Modeling of Perforation of Plates and Multi-Layered Metallic Targets. Int. J. Solids Struct. 2005, 42, 1209–1224. [Google Scholar] [CrossRef]
- Raguraman, M.; Deb, A.; Jagadeesh, G. A Numerical Study of Projectile Impact on Thin Aluminium Plates. Proc. Inst. Mech. Eng. Part C J. Mech. Eng. Sci. 2009, 223, 2519–2530. [Google Scholar] [CrossRef]
- Corran, R.S.J.; Shadbolt, P.J.; Ruiz, C. Impact Loading of Plates—An Experimental Investigation. Int. J. Impact Eng. 1983, 1, 3–22. [Google Scholar] [CrossRef]
- Wang, B.; Lu, G. On the Optimisation of Two-Component Plates against Ballistic Impact. J. Mater. Process. Technol. 1996, 57, 141–145. [Google Scholar] [CrossRef]
- Shi, J.; Grow, D. Effect of Double Constraints on the Optimization of Two-Component Armor Systems. Compos. Struct. 2007, 79, 445–453. [Google Scholar] [CrossRef]
- Ben-Dor, G.; Dubinsky, A.; Elperin, T. Optimization of Two-Component Composite Armor against Ballistic Impact. Compos. Struct. 2005, 69, 89–94. [Google Scholar] [CrossRef]
- Florence, A.L.; Park, M. Interaction of Projectiles and Composite Armor; Defense Technical Information Center: Fairfax, VA, USA, 1969. [Google Scholar]
- Woodward, R.L. A Simple One-Dimensional Approach to Modelling Ceramic Composite Armour Defeat. Int. J. Impact Eng. 1990, 9, 455–474. [Google Scholar] [CrossRef]
- Lee, M.; Yoo, Y.H. Analysis of Ceramic/Metal Armour Systems. Int. J. Impact Eng. 2001, 25, 819–829. [Google Scholar] [CrossRef]
- Gonçalves, D.P.; De Melo, F.C.L.; Klein, A.N.; Al-Qureshi, H.A. Analysis and Investigation of Ballistic Impact on Ceramic/Metal Composite Armour. Int. J. Mach. Tools Manuf. 2004, 44, 307–316. [Google Scholar] [CrossRef]
- Fortov, V.E.; Kim, V.V.; Lomonosov, I.V.; Matveichev, A.V.; Ostrik, A.V. Numerical Modeling of Hypervelocity Impacts. Int. J. Impact Eng. 2006, 33, 244–253. [Google Scholar] [CrossRef]
- Murr, L.E.; Ramirez, A.C.; Gaytan, S.M.; Lopez, M.I.; Martinez, E.Y.; Hernandez, D.H.; Martinez, E. Microstructure Evolution Associated with Adiabatic Shear Bands and Shear Band Failure in Ballistic Plug Formation in Ti-6Al-4V Targets. Mater. Sci. Eng. A 2009, 516, 205–216. [Google Scholar] [CrossRef]
- Zhang, T.; Chen, W.; Guan, Y.; Gao, D. Study on Titanium Alloy TC4 Ballistic Penetration Resistance Part I: Ballistic Impact Tests. Chin. J. Aeronaut. 2012, 25, 388–395. [Google Scholar] [CrossRef]
- Sen, O.; Tekalur, S.A.; Maity, P. On the Use of Non-Cylindrical Specimens in a Split-Hopkinson Pressure Bar. J. Strain Anal. Eng. Des. 2011, 46, 866–878. [Google Scholar] [CrossRef]
- Pankow, M.; Attard, C.; Waas, A.M. Specimen Size and Shape Effect in Split Hopkinson Pressure Bar Testing. J. Strain Anal. Eng. Des. 2009, 44, 689–698. [Google Scholar] [CrossRef]
- Wang, T.; Li, X.; Zhang, Y.; Li, H.; Zhang, B.; Feng, J. Regulating the Interfacial Morphology of Electron Beam Welded Pure Ti/2024Al Dissimilar Joint. J. Mater. Process. Technol. 2017, 245, 227–231. [Google Scholar] [CrossRef]
- Lv, S.X.; Jing, X.J.; Huang, Y.X.; Xu, Y.Q.; Zheng, C.Q.; Yang, S.Q. Investigation on TIG Arc Welding-Brazing of Ti/Al Dissimilar Alloys with Al Based Fillers. Sci. Technol. Weld. Join. 2012, 17, 519–524. [Google Scholar] [CrossRef]
- Kim, Y.C.; Fuji, A. Factors Dominating Joint Characteristics in Ti-Al Friction Welds. Sci. Technol. Weld. Join. 2002, 7, 149–154. [Google Scholar] [CrossRef]
- Arrospide, E.; Bikandi, I.; García, I.; Durana, G.; Aldabaldetreku, G.; Zubia, J. Mechanical Properties of Polymer-Optical Fibres. In Polymer Optical Fibres; Woodhead Publishing: Sawston, UK, 2017; ISBN 9780081000564. [Google Scholar]
- Liu, Q.; Fang, L.; Xiong, Z.; Yang, J.; Tan, Y.; Liu, Y.; Zhang, Y.; Tan, Q.; Hao, C.; Cao, L.; et al. The Response of Dislocations, Low Angle Grain Boundaries and High Angle Grain Boundaries at High Strain Rates. Mater. Sci. Eng. A 2021, 822, 141704. [Google Scholar] [CrossRef]
- Wang, X.; Yuan, M.; Miao, Y.; Wei, Z. Stress Wave Propagation Characteristics and Impact Resistance of Laminated Composites under Impact Loading. Mech. Adv. Mater. Struct. 2022, 1–10. [Google Scholar] [CrossRef]
- Zou, Y.; Xiong, C.; Yin, J.; Deng, H.; Cui, K.; Zhang, S. Experimental and Modeling Studies of Stress Wave Propagation and Energy Dissipation Mechanism in Layered Composite Structures. Shock. Vib. 2021, 2021, 9912709. [Google Scholar] [CrossRef]
- Ji, G.; Li, L.; Qin, F.; Zhu, L.; Li, Q. Comparative Study of Phenomenological Constitutive Equations for an As-Rolled M50NiL Steel during Hot Deformation. J. Alloys Compd. 2017, 695, 2389–2399. [Google Scholar] [CrossRef]
- Zhang, H.; Liu, M.; Miao, Y.; Wang, H.; Chen, T.; Fan, X.; Chang, H. Dynamic Mechanical Response and Damage Mechanism of Htpb Propellant under Impact Loading. Materials 2020, 13, 3031. [Google Scholar] [CrossRef]
- Gao, K.; Zhang, X.; Liu, B.; He, J.; Feng, J.; Ji, P.; Fang, W. The Deformation Characteristics, Fracture Behavior and Strengthening-Toughening Mechanisms of Laminated Metal Composites: A Review. Metals 2019, 10, 4. [Google Scholar] [CrossRef]
- Ding, X.; Xiao, M.; Liu, W.; Liu, X.; Chen, Y.; Zhou, H.; Zhao, C.; Yang, L.; Song, Y. Macro–Micro–Nonuniform Deformation Behavior of 7B52 Laminated Aluminum Alloy under High-Speed Impact. J. Mater. Eng. Perform. 2022, 32, 1508–1514. [Google Scholar] [CrossRef]
- Siddique, F.; Li, F.; Zahid, M.; Qian, H.; Qinghua, Z. Synergistic Effect of Energy Absorption and Adiabatic Temperature on the Microstructural Evolution and Mechanical Properties During High-Speed Impacts. Met. Mater. Int. 2023. [Google Scholar] [CrossRef]
- Ben-Dor, G.; Dubinsky, A.; Elperin, T. Improved Florence Model and Optimization of Two-Component Armor against Single Impact or Two Impacts. Compos. Struct. 2009, 88, 158–165. [Google Scholar] [CrossRef]
- Wu, H.; Zhong, T.; Miao, C.; Bai, L.; Cui, X.; Wang, Y.; Li, H.; Dong, Y. Optimization of Multi Layer Component Armor. Trans. Beijing Intitute Technol. 2018, 38, 173–177. [Google Scholar]
- Wang, X.; Shi, J. Validation of Johnson-Cook Plasticity and Damage Model Using Impact Experiment. Int. J. Impact Eng. 2013, 60, 67–75. [Google Scholar] [CrossRef]
- Li, H.; Yao, B.; Li, Z.; Peng, Y.; Fan, H. Compressive Properties and Deformation Mechanism of Selective Laser Melting of Ti6Al4V Porous Femoral Implants Based on Topological Optimization. Compos. Struct. 2023, 321, 117326. [Google Scholar] [CrossRef]
- Cheng, J.C.; Zhang, S.; Liu, Q.; Ye, S.J.; Luo, S.N.; Cai, Y.; Huang, J.Y. Ballistic Impact Experiments and Modeling on Impact Cratering, Deformation and Damage of 2024-T4 Aluminum Alloy. Int. J. Mech. Sci. 2022, 224, 107312. [Google Scholar] [CrossRef]
- Pan, L.; Yuan, X.; Wang, M.; Xue, P.; Guo, H.; Zhong, L.; Shi, H. Experimental and Numerical Simulation Study on Impact Response of TC4/PEEK/Cf Laminates under Different Mass Impactors. Compos. Struct. 2021, 258, 113197. [Google Scholar] [CrossRef]
- Huda, Z.; Taib, N.I.; Zaharinie, T. Characterization of 2024-T3: An Aerospace Aluminum Alloy. Mater. Chem. Phys. 2009, 113, 515–517. [Google Scholar] [CrossRef]
- Liu, B.X.; Huang, L.J.; Geng, L.; Wang, B.; Liu, C.; Zhang, W.C. Fabrication and Superior Ductility of Laminated Ti-TiBw/Ti Composites by Diffusion Welding. J. Alloys Compd. 2014, 602, 187–192. [Google Scholar] [CrossRef]
- Sakai, T.; Belyakov, A.; Kaibyshev, R.; Miura, H.; Jonas, J.J. Dynamic and Post-Dynamic Recrystallization under Hot, Cold and Severe Plastic Deformation Conditions. Prog. Mater. Sci. 2014, 60, 130–207. [Google Scholar] [CrossRef]
















| Sample Qty Tested at Room Temperature | Strain Rate (/s) |
|---|---|
| 03 | 0.01 |
| 03 | 103 |
| 03 | 6.5 × 103 |
| Material Property | Symbol | Unit | TC4 |
|---|---|---|---|
| Density | RO | g/cm3 | 4.42 |
| Young’s modulus | E | GPa | 113 |
| Poisson ratio | PR | 0.33 | |
| Specific heat | CP | J-kg/K | 580 |
| A | GPa | 1.089 | |
| B | GPa | 1.083 | |
| m | 1.1 | ||
| C | 0.014 | ||
| n | 0.93 | ||
| Fracture parameters | D1 | −0.09 | |
| D2 | 0.27 | ||
| D3 | 0.48 | ||
| D4 | 0.014 | ||
| D5 | 3.86 |
| Material Property | Symbol | Unit | 2024Al Alloy |
|---|---|---|---|
| Density | RO | g/cm3 | 2.78 |
| Young’s modulus | E | GPa | 71 |
| Poisson ratio | PR | 0.31 | |
| Specific heat | CP | J-kg/K | 236 |
| A | GPa | 0.290 | |
| B | GPa | 0.456 | |
| m | 1.0 | ||
| C | 0.0037 | ||
| n | 0.301 | ||
| Fracture parameters | D1 | 0.034 | |
| D2 | 0.664 | ||
| D3 | −1.5 | ||
| D4 | 0.011 | ||
| D5 | 0 |
| Material Property | Symbol | Unit | Hard Steel Core |
|---|---|---|---|
| Density | RO | g/cm3 | 7.8 |
| Young’s modulus | E | GPa | 200 |
| Poisson ratio | PR | 0.28 | |
| Specific heat | CP | J-kg/K | 450 |
| A | GPa | 0.49 | |
| B | GPa | 0.807 | |
| m | 0.94 | ||
| C | 0.0108 | ||
| n | 0.73 | ||
| Fracture parameters | D1 | 1.2 | |
| D2 | 0.732 | ||
| D3 | −0.24 | ||
| D4 | −0.015 | ||
| D5 | 0 | ||
| EOS parameters | S1 | 1.49 | |
| γ | 2.17 | ||
| A | 0.46 |
| Ep (J) | E1 (J) | E2 (J) | E3 (J) | Et (J) | |
|---|---|---|---|---|---|
| Analytical model | 3.6 | 8.0 | 1.5 | 2.1 | 15.2 |
| Simulation model | 3.0 | 7.2 | 1.4 | 3.4 | 15.0 |
Disclaimer/Publisher’s Note: The statements, opinions and data contained in all publications are solely those of the individual author(s) and contributor(s) and not of MDPI and/or the editor(s). MDPI and/or the editor(s) disclaim responsibility for any injury to people or property resulting from any ideas, methods, instructions or products referred to in the content. |
© 2023 by the authors. Licensee MDPI, Basel, Switzerland. This article is an open access article distributed under the terms and conditions of the Creative Commons Attribution (CC BY) license (https://creativecommons.org/licenses/by/4.0/).
Share and Cite
Siddique, F.; Li, F.; Hussain, M.Z.; Zhao, Q.; Li, Q. Design and Performance of Layered Heterostructure Composite Material System for Protective Armors. Materials 2023, 16, 5169. https://doi.org/10.3390/ma16145169
Siddique F, Li F, Hussain MZ, Zhao Q, Li Q. Design and Performance of Layered Heterostructure Composite Material System for Protective Armors. Materials. 2023; 16(14):5169. https://doi.org/10.3390/ma16145169
Chicago/Turabian StyleSiddique, Farah, Fuguo Li, Mirza Zahid Hussain, Qian Zhao, and Qinghua Li. 2023. "Design and Performance of Layered Heterostructure Composite Material System for Protective Armors" Materials 16, no. 14: 5169. https://doi.org/10.3390/ma16145169
APA StyleSiddique, F., Li, F., Hussain, M. Z., Zhao, Q., & Li, Q. (2023). Design and Performance of Layered Heterostructure Composite Material System for Protective Armors. Materials, 16(14), 5169. https://doi.org/10.3390/ma16145169

