Review of Single Crystal Synthesis of 11 Iron-Based Superconductors
Abstract
1. Introduction
2. Single Crystal Growth and Superconductivity of FeSe
2.1. Flux Method for Growing FeSe Single Crystals
2.2. Chemical Vapor Transport (CVT) Method for Growing FeSe Single Crystals
3. Single Crystal Growth and Superconductivity of FeSe1−xSx
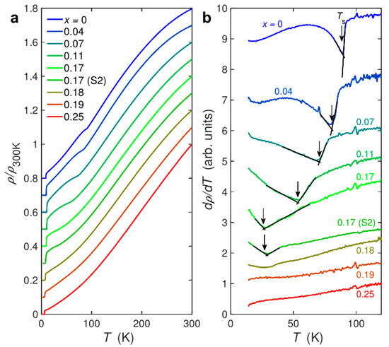
3.1. CVT Growth of FeSe1−xSx Single Crystals with Low S Doping
3.2. Hydrothermal Method for Growing FeSe1−xSx Single Crystals across the Entire Doping Range
4. Single Crystal Growth and Superconductivity of FeSe1−xTex
4.1. CVT Growth of FeSe1−xTex (0 ≤ x ≤ 0.5) Single Crystals
4.2. Self-Flux Plus Annealing Method for Growing FeSe1−xTex (0.5 < x ≤ 1) Single Crystals
4.3. Optical Zone-Melting Technique for Growing FeSe1−xTex Single Crystals
5. Single Crystal Growth and Superconductivity of FeTe1−xSx
6. Conclusions
Author Contributions
Funding
Institutional Review Board Statement
Informed Consent Statement
Data Availability Statement
Conflicts of Interest
References
- Kamihara, Y.; Hiramatsu, H.; Hirano, M.; Kawamura, R.; Yanagi, H.; Kamiya, T.; Hosono, H. Iron-Based Layered Superconductor: LaOFeP. J. Am. Chem. Soc. 2006, 128, 10012–10013. [Google Scholar] [CrossRef]
- Kamihara, Y.; Watanabe, T.; Hirano, M.; Hosono, H. Iron-Based Layered Superconductor La[O1−xFx]FeAs (x = 0.05 − 0.12) with Tc = 26 K. J. Am. Chem. Soc. 2008, 130, 3296–3297. [Google Scholar] [CrossRef] [PubMed]
- Wen, H.-H.; Li, S. Materials and Novel Superconductivity in Iron Pnictide Superconductors. Annu. Rev. Condens. Matter Phys. 2011, 2, 121–140. [Google Scholar] [CrossRef]
- Thewalt, E.; Hayes, I.M.; Hinton, J.P.; Little, A.; Patankar, S.; Wu, L.; Helm, T.; Stan, C.V.; Tamura, N.; Analytis, J.G.; et al. Imaging Anomalous Nematic Order and Strain in Optimally Doped BaFe2(As,P)2. Phys. Rev. Lett. 2018, 121, 027001. [Google Scholar] [CrossRef]
- Shibauchi, T.; Carrington, A.; Matsuda, Y. A Quantum Critical Point Lying Beneath the Superconducting Dome in Iron Pnictides. Annu. Rev. Condens. Matter Phys. 2014, 5, 113–135. [Google Scholar] [CrossRef]
- Mazin, I.I. Superconductivity Gets an Iron Boost. Nature 2010, 464, 183–186. [Google Scholar] [CrossRef] [PubMed]
- Hirschfeld, P.J.; Korshunov, M.M.; Mazin, I.I. Gap Symmetry and Structure of Fe-Based Superconductors. Rep. Prog. Phys. 2011, 74, 124508. [Google Scholar] [CrossRef]
- Chubukov, A. Pairing Mechanism in Fe-Based Superconductors. Annu. Rev. Condens. Matter Phys. 2012, 3, 57–92. [Google Scholar] [CrossRef]
- Hsu, F.-C.; Luo, J.-Y.; Yeh, K.-W.; Chen, T.-K.; Huang, T.-W.; Wu, P.M.; Lee, Y.-C.; Huang, Y.-L.; Chu, Y.-Y.; Yan, D.-C.; et al. Superconductivity in the PbO-Type Structure α-FeSe. Proc. Natl. Acad. Sci. USA 2008, 105, 14262–14264. [Google Scholar] [CrossRef]
- Shibauchi, T.; Hanaguri, T.; Matsuda, Y. Exotic Superconducting States in FeSe-Based Materials. J. Phys. Soc. Jpn. 2020, 89, 102002. [Google Scholar] [CrossRef]
- Chen, T.-K.; Chang, C.-C.; Chang, H.-H.; Fang, A.-H.; Wang, C.-H.; Chao, W.-H.; Tseng, C.-M.; Lee, Y.-C.; Wu, Y.-R.; Wen, M.-H.; et al. Fe-Vacancy Order and Superconductivity in Tetragonal β-Fe1−xSe. Proc. Natl. Acad. Sci. USA 2014, 111, 63–68. [Google Scholar] [CrossRef]
- McQueen, T.M.; Williams, A.J.; Stephens, P.W.; Tao, J.; Zhu, Y.; Ksenofontov, V.; Casper, F.; Felser, C.; Cava, R.J. Tetragonal-to-Orthorhombic Structural Phase Transition at 90 K in the Superconductor Fe1.01Se. Phys. Rev. Lett. 2009, 103, 057002. [Google Scholar] [CrossRef] [PubMed]
- Böhmer, A.E.; Hardy, F.; Eilers, F.; Ernst, D.; Adelmann, P.; Schweiss, P.; Wolf, T.; Meingast, C. Lack of Coupling between Superconductivity and Orthorhombic Distortion in Stoichiometric Single-Crystalline FeSe. Phys. Rev. B 2013, 87, 180505. [Google Scholar] [CrossRef]
- Fernandes, R.M.; Chubukov, A.V.; Schmalian, J. What Drives Nematic Order in Iron-Based Superconductors? Nat. Phys 2014, 10, 97–104. [Google Scholar] [CrossRef]
- Rößler, S.; Coduri, M.; Tsirlin, A.A.; Ritter, C.; Cuello, G.; Koz, C.; Muzica, L.; Schwarz, U.; Rößler, U.K.; Wirth, S.; et al. Nematic State of the FeSe Superconductor. Phys. Rev. B 2022, 105, 064505. [Google Scholar] [CrossRef]
- Medvedev, S.; McQueen, T.M.; Troyan, I.A.; Palasyuk, T.; Eremets, M.I.; Cava, R.J.; Naghavi, S.; Casper, F.; Ksenofontov, V.; Wortmann, G.; et al. Electronic and Magnetic Phase Diagram of β-Fe1.01Se with Superconductivity at 36.7 K under Pressure. Nat. Mater. 2009, 8, 630–633. [Google Scholar] [CrossRef]
- Sun, J.P.; Matsuura, K.; Ye, G.Z.; Mizukami, Y.; Shimozawa, M.; Matsubayashi, K.; Yamashita, M.; Watashige, T.; Kasahara, S.; Matsuda, Y.; et al. Dome-Shaped Magnetic Order Competing with High-Temperature Superconductivity at High Pressures in FeSe. Nat. Commun. 2016, 7, 12146. [Google Scholar] [CrossRef]
- Sun, J.P.; Ye, G.Z.; Shahi, P.; Yan, J.-Q.; Matsuura, K.; Kontani, H.; Zhang, G.M.; Zhou, Q.; Sales, B.C.; Shibauchi, T.; et al. High-Tc Superconductivity in FeSe at High Pressure: Dominant Hole Carriers and Enhanced Spin Fluctuations. Phys. Rev. Lett. 2017, 118, 147004. [Google Scholar] [CrossRef]
- Gati, E.; Böhmer, A.E.; Bud’ko, S.L.; Canfield, P.C. Bulk Superconductivity and Role of Fluctuations in the Iron-Based Superconductor FeSe at High Pressures. Phys. Rev. Lett. 2019, 123, 167002. [Google Scholar] [CrossRef]
- Lu, X.F.; Wang, N.Z.; Wu, H.; Wu, Y.P.; Zhao, D.; Zeng, X.Z.; Luo, X.G.; Wu, T.; Bao, W.; Zhang, G.H.; et al. Coexistence of Superconductivity and Antiferromagnetism in (Li0.8Fe0.2)OHFeSe. Nat. Mater. 2015, 14, 325–329. [Google Scholar] [CrossRef]
- Shi, M.Z.; Wang, N.Z.; Lei, B.; Ying, J.J.; Zhu, C.S.; Sun, Z.L.; Cui, J.H.; Meng, F.B.; Shang, C.; Ma, L.K.; et al. FeSe-Based Superconductors with a Superconducting Transition Temperature of 50 K. New J. Phys. 2018, 20, 123007. [Google Scholar] [CrossRef]
- Lei, B.; Cui, J.H.; Xiang, Z.J.; Shang, C.; Wang, N.Z.; Ye, G.J.; Luo, X.G.; Wu, T.; Sun, Z.; Chen, X.H. Evolution of High-Temperature Superconductivity from a Low-Tc Phase Tuned by Carrier Concentration in FeSe Thin Flakes. Phys. Rev. Lett. 2016, 116, 077002. [Google Scholar] [CrossRef]
- Meng, Y.; Xing, X.; Yi, X.; Li, B.; Zhou, N.; Li, M.; Zhang, Y.; Wei, W.; Feng, J.; Terashima, K.; et al. Protonation-Induced Discrete Superconducting Phases in Bulk FeSe Single Crystals. Phys. Rev. B 2022, 105, 134506. [Google Scholar] [CrossRef]
- Meng, Y.; Wei, W.; Xing, X.; Yi, X.; Zhou, N.; Zhang, Y.; Liu, W.; Sun, Y.; Shi, Z. Significant Enhancement of Critical Current Density in H+-Intercalated FeSe Single Crystal. Supercond. Sci. Technol. 2022, 35, 075012. [Google Scholar] [CrossRef]
- Shi, X.; Han, Z.-Q.; Peng, X.-L.; Richard, P.; Qian, T.; Wu, X.-X.; Qiu, M.-W.; Wang, S.C.; Hu, J.P.; Sun, Y.-J.; et al. Enhanced Superconductivity Accompanying a Lifshitz Transition in Electron-Doped FeSe Monolayer. Nat. Commun. 2017, 8, 14988. [Google Scholar] [CrossRef] [PubMed]
- Wen, C.H.P.; Xu, H.C.; Chen, C.; Huang, Z.C.; Lou, X.; Pu, Y.J.; Song, Q.; Xie, B.P.; Abdel-Hafiez, M.; Chareev, D.A.; et al. Anomalous Correlation Effects and Unique Phase Diagram of Electron-Doped FeSe Revealed by Photoemission Spectroscopy. Nat. Commun. 2016, 7, 10840. [Google Scholar] [CrossRef] [PubMed]
- Ge, J.-F.; Liu, Z.-L.; Liu, C.; Gao, C.-L.; Qian, D.; Xue, Q.-K.; Liu, Y.; Jia, J.-F. Superconductivity above 100 K in Single-Layer FeSe Films on Doped SrTiO3. Nat. Mater. 2015, 14, 285–289. [Google Scholar] [CrossRef] [PubMed]
- Qing-Yan, W.; Zhi, L.; Wen-Hao, Z.; Zuo-Cheng, Z.; Jin-Song, Z.; Wei, L.; Hao, D.; Yun-Bo, O.; Peng, D.; Kai, C.; et al. Interface-Induced High-Temperature Superconductivity in Single Unit-Cell FeSe Films on SrTiO3. Chin. Phys. Lett. 2012, 29, 037402. [Google Scholar]
- Reiss, P.; Watson, M.D.; Kim, T.K.; Haghighirad, A.A.; Woodruff, D.N.; Bruma, M.; Clarke, S.J.; Coldea, A.I. Suppression of Electronic Correlations by Chemical Pressure from FeSe to FeS. Phys. Rev. B 2017, 96, 121103. [Google Scholar] [CrossRef]
- Sato, Y.; Kasahara, S.; Taniguchi, T.; Xing, X.; Kasahara, Y.; Tokiwa, Y.; Yamakawa, Y.; Kontani, H.; Shibauchi, T.; Matsuda, Y. Abrupt Change of the Superconducting Gap Structure at the Nematic Critical Point in FeSe1−xSx. Proc. Natl. Acad. Sci. USA 2018, 115, 1227–1231. [Google Scholar] [CrossRef]
- Wiecki, P.; Rana, K.; Böhmer, A.E.; Lee, Y.; Bud’ko, S.L.; Canfield, P.C.; Furukawa, Y. Persistent Correlation between Superconductivity and Antiferromagnetic Fluctuations near a Nematic Quantum Critical Point in FeSe1−xSx. Phys. Rev. B 2018, 98, 020507. [Google Scholar] [CrossRef]
- Licciardello, S.; Buhot, J.; Lu, J.; Ayres, J.; Kasahara, S.; Matsuda, Y.; Shibauchi, T.; Hussey, N.E. Electrical Resistivity across a Nematic Quantum Critical Point. Nature 2019, 567, 213–217. [Google Scholar] [CrossRef]
- Yi, X.; Xing, X.; Qin, L.; Feng, J.; Li, M.; Zhang, Y.; Meng, Y.; Zhou, N.; Sun, Y.; Shi, Z. Hydrothermal Synthesis and Complete Phase Diagram of FeSe1−xSx (0 ≤ x ≤ 1) Single Crystals. Phys. Rev. B 2021, 103, 144501. [Google Scholar] [CrossRef]
- Lai, X.; Zhang, H.; Wang, Y.; Wang, X.; Zhang, X.; Lin, J.; Huang, F. Observation of Superconductivity in Tetragonal FeS. J. Am. Chem. Soc. 2015, 137, 10148–10151. [Google Scholar] [CrossRef]
- Matsuura, K.; Mizukami, Y.; Arai, Y.; Sugimura, Y.; Maejima, N.; Machida, A.; Watanuki, T.; Fukuda, T.; Yajima, T.; Hiroi, Z.; et al. Maximizing T c by Tuning Nematicity and Magnetism in FeSe1−xSx Superconductors. Nat. Commun. 2017, 8, 1143. [Google Scholar] [CrossRef]
- Terao, K.; Kashiwagi, T.; Shizu, T.; Klemm, R.A.; Kadowaki, K. Superconducting and Tetragonal-to-Orthorhombic Transitions in Single Crystals of FeSe1−xTex (0 ≤ x ≤ 0.61). Phys. Rev. B 2019, 100, 224516. [Google Scholar] [CrossRef]
- Mukasa, K.; Matsuura, K.; Qiu, M.; Saito, M.; Sugimura, Y.; Ishida, K.; Otani, M.; Onishi, Y.; Mizukami, Y.; Hashimoto, K.; et al. High-Pressure Phase Diagrams of FeSe1−xTex: Correlation between Suppressed Nematicity and Enhanced Superconductivity. Nat. Commun. 2021, 12, 381. [Google Scholar] [CrossRef]
- Xing, X.; Sun, Y.; Yi, X.; Li, M.; Feng, J.; Meng, Y.; Zhang, Y.; Li, W.; Zhou, N.; He, X.; et al. Electronic Transport Properties and Hydrostatic Pressure Effect of FeSe0.67Te0.33 Single Crystals Free of Phase Separation. Supercond. Sci. Technol. 2021, 34, 055006. [Google Scholar] [CrossRef]
- Sun, Y.; Yamada, T.; Pyon, S.; Tamegai, T. Influence of Interstitial Fe to the Phase Diagram of Fe1+yTe1−xSex Single Crystals. Sci. Rep. 2016, 6, 32290. [Google Scholar] [CrossRef]
- Liu, T.J.; Hu, J.; Qian, B.; Fobes, D.; Mao, Z.Q.; Bao, W.; Reehuis, M.; Kimber, S.a.J.; Prokeš, K.; Matas, S.; et al. From (π,0) Magnetic Order to Superconductivity with (π,π) Magnetic Resonance in Fe1.02Te1−xSex. Nat. Mater. 2010, 9, 718–720. [Google Scholar] [CrossRef] [PubMed]
- Sun, Y.; Shi, Z.; Tamegai, T. Review of Annealing Effects and Superconductivity in Fe1+yTe1−xSex Superconductors. Supercond. Sci. Technol. 2019, 32, 103001. [Google Scholar] [CrossRef]
- Chen, D.P.; Lin, C.T. The Growth of 122 and 11 Iron-Based Superconductor Single Crystals and the Influence of Doping. Supercond. Sci. Technol. 2014, 27, 103002. [Google Scholar] [CrossRef]
- Bao, W.; Qiu, Y.; Huang, Q.; Green, M.A.; Zajdel, P.; Fitzsimmons, M.R.; Zhernenkov, M.; Chang, S.; Fang, M.; Qian, B.; et al. Tunable (Δπ, Δπ,)-Type Antiferromagnetic Order in α-Fe(Te,Se) Superconductors. Phys. Rev. Lett. 2009, 102, 247001. [Google Scholar] [CrossRef] [PubMed]
- Li, S.; de la Cruz, C.; Huang, Q.; Chen, Y.; Lynn, J.W.; Hu, J.; Huang, Y.-L.; Hsu, F.-C.; Yeh, K.-W.; Wu, M.-K.; et al. First-Order Magnetic and Structural Phase Transitions in Fe1+ySexTe1−x. Phys. Rev. B 2009, 79, 054503. [Google Scholar] [CrossRef]
- Lee, P.A.; Nagaosa, N.; Wen, X.-G. Doping a Mott Insulator: Physics of High-Temperature Superconductivity. Rev. Mod. Phys. 2006, 78, 17–85. [Google Scholar] [CrossRef]
- Liu, Z.K.; He, R.-H.; Lu, D.H.; Yi, M.; Chen, Y.L.; Hashimoto, M.; Moore, R.G.; Mo, S.-K.; Nowadnick, E.A.; Hu, J.; et al. Measurement of Coherent Polarons in the Strongly Coupled Antiferromagnetically Ordered Iron-Chalcogenide Fe1.02Te Using Angle-Resolved Photoemission Spectroscopy. Phys. Rev. Lett. 2013, 110, 037003. [Google Scholar] [CrossRef]
- Fobes, D.; Zaliznyak, I.A.; Xu, Z.; Zhong, R.; Gu, G.; Tranquada, J.M.; Harriger, L.; Singh, D.; Garlea, V.O.; Lumsden, M.; et al. Ferro-Orbital Ordering Transition in Iron Telluride Fe1+yTe. Phys. Rev. Lett. 2014, 112, 187202. [Google Scholar] [CrossRef]
- Mizuguchi, Y.; Tomioka, F.; Tsuda, S.; Yamaguchi, T.; Takano, Y. Substitution Effects on FeSe Superconductor. J. Phys. Soc. Jpn. 2009, 78, 074712. [Google Scholar] [CrossRef]
- McQueen, T.M.; Huang, Q.; Ksenofontov, V.; Felser, C.; Xu, Q.; Zandbergen, H.; Hor, Y.S.; Allred, J.; Williams, A.J.; Qu, D.; et al. Extreme Sensitivity of Superconductivity to Stoichiometry in Fe1+δSe. Phys. Rev. B 2009, 79, 014522. [Google Scholar] [CrossRef]
- Wen, J.; Xu, G.; Gu, G.; Tranquada, J.M.; Birgeneau, R.J. Interplay between Magnetism and Superconductivity in Iron-Chalcogenide Superconductors: Crystal Growth and Characterizations. Rep. Prog. Phys. 2011, 74, 124503. [Google Scholar] [CrossRef]
- Fang, M.H.; Pham, H.M.; Qian, B.; Liu, T.J.; Vehstedt, E.K.; Liu, Y.; Spinu, L.; Mao, Z.Q. Superconductivity Close to Magnetic Instability in Fe(Se1−xTex)0.82. Phys. Rev. B 2008, 78, 224503. [Google Scholar] [CrossRef]
- Mizuguchi, Y.; Takano, Y. Review of Fe Chalcogenides as the Simplest Fe-Based Superconductor. J. Phys. Soc. Jpn. 2010, 79, 102001. [Google Scholar] [CrossRef]
- Liu, T.J.; Ke, X.; Qian, B.; Hu, J.; Fobes, D.; Vehstedt, E.K.; Pham, H.; Yang, J.H.; Fang, M.H.; Spinu, L.; et al. Charge-Carrier Localization Induced by Excess Fe in the Superconductor Fe1+yTe1−xSex. Phys. Rev. B 2009, 80, 174509. [Google Scholar] [CrossRef]
- Ieki, E.; Nakayama, K.; Miyata, Y.; Sato, T.; Miao, H.; Xu, N.; Wang, X.-P.; Zhang, P.; Qian, T.; Richard, P.; et al. Evolution from Incoherent to Coherent Electronic States and Its Implications for Superconductivity in FeTe1−xSex. Phys. Rev. B 2014, 89, 140506. [Google Scholar] [CrossRef]
- Sun, Y.; Taen, T.; Yamada, T.; Pyon, S.; Nishizaki, T.; Shi, Z.; Tamegai, T. Multiband Effects and Possible Dirac Fermions in Fe1+yTe0.6Se0.4. Phys. Rev. B 2014, 89, 144512. [Google Scholar] [CrossRef]
- Katayama, N.; Ji, S.; Louca, D.; Lee, S.; Fujita, M.; Sato, T.J.; Wen, J.; Xu, Z.; Gu, G.; Xu, G.; et al. Investigation of the Spin-Glass Regime between the Antiferromagnetic and Superconducting Phases in Fe1+ySexTe1−x. J. Phys. Soc. Jpn. 2010, 79, 113702. [Google Scholar] [CrossRef]
- Otsuka, T.; Hagisawa, S.; Koshika, Y.; Adachi, S.; Usui, T.; Sasaki, N.; Sasaki, S.; Yamaguchi, S.; Nakanishi, Y.; Yoshizawa, M.; et al. Incoherent-Coherent Crossover and the Pseudogap in Te-Annealed Superconducting Fe1+yTe1−xSex Revealed by Magnetotransport Measurements. Phys. Rev. B 2019, 99, 184505. [Google Scholar] [CrossRef]
- Maletz, J.; Zabolotnyy, V.B.; Evtushinsky, D.V.; Thirupathaiah, S.; Wolter, A.U.B.; Harnagea, L.; Yaresko, A.N.; Vasiliev, A.N.; Chareev, D.A.; Böhmer, A.E.; et al. Unusual Band Renormalization in the Simplest Iron-Based Superconductor FeSe1−x. Phys. Rev. B 2014, 89, 220506. [Google Scholar] [CrossRef]
- Kasahara, S.; Watashige, T.; Hanaguri, T.; Kohsaka, Y.; Yamashita, T.; Shimoyama, Y.; Mizukami, Y.; Endo, R.; Ikeda, H.; Aoyama, K.; et al. Field-Induced Superconducting Phase of FeSe in the BCS-BEC Cross-Over. Proc. Natl. Acad. Sci. USA 2014, 111, 16309–16313. [Google Scholar] [CrossRef]
- Watson, M.D.; Kim, T.K.; Haghighirad, A.A.; Davies, N.R.; McCollam, A.; Narayanan, A.; Blake, S.F.; Chen, Y.L.; Ghannadzadeh, S.; Schofield, A.J.; et al. Emergence of the Nematic Electronic State in FeSe. Phys. Rev. B 2015, 91, 155106. [Google Scholar] [CrossRef]
- Zhang, S.B.; Sun, Y.P.; Zhu, X.D.; Zhu, X.B.; Wang, B.S.; Li, G.; Lei, H.C.; Luo, X.; Yang, Z.R.; Song, W.H.; et al. Crystal Growth and Superconductivity of FeSex. Supercond. Sci. Technol. 2008, 22, 015020. [Google Scholar] [CrossRef]
- Mok, B.H.; Rao, S.M.; Ling, M.C.; Wang, K.J.; Ke, C.T.; Wu, P.M.; Chen, C.L.; Hsu, F.C.; Huang, T.W.; Luo, J.Y.; et al. Growth and Investigation of Crystals of the New Superconductor α-FeSe from KCl Solutions. Cryst. Growth Des. 2009, 9, 3260–3264. [Google Scholar] [CrossRef]
- Patel, U.; Hua, J.; Yu, S.H.; Avci, S.; Xiao, Z.L.; Claus, H.; Schlueter, J.; Vlasko-Vlasov, V.V.; Welp, U.; Kwok, W.K. Growth and Superconductivity of FeSex Crystals. Appl. Phys. Lett. 2009, 94, 082508. [Google Scholar] [CrossRef]
- Tissen, V.G.; Ponyatovsky, E.G.; Nefedova, M.V.; Titov, A.N.; Fedorenko, V.V. Effects of Pressure-Induced Phase Transitions on Superconductivity in Single-Crystal Fe1.02Se. Phys. Rev. B 2009, 80, 092507. [Google Scholar] [CrossRef]
- Wu, M.K.; Hsu, F.C.; Yeh, K.W.; Huang, T.W.; Luo, J.Y.; Wang, M.J.; Chang, H.H.; Chen, T.K.; Rao, S.M.; Mok, B.H.; et al. The Development of the Superconducting PbO-Type β-FeSe and Related Compounds. Phys. C Supercond. 2009, 469, 340–349. [Google Scholar] [CrossRef]
- Malavasi, L.; Margadonna, S. Structure–Properties Correlations in Fe Chalcogenide Superconductors. Chem. Soc. Rev. 2012, 41, 3897–3911. [Google Scholar] [CrossRef]
- Hu, R.; Lei, H.; Abeykoon, M.; Bozin, E.S.; Billinge, S.J.L.; Warren, J.B.; Siegrist, T.; Petrovic, C. Synthesis, Crystal Structure, and Magnetism of β-Fe1.00(2)Se1.00(3) Single Crystals. Phys. Rev. B 2011, 83, 224502. [Google Scholar] [CrossRef]
- Chareev, D.; Osadchii, E.; Kuzmicheva, T.; Lin, J.-Y.; Kuzmichev, S.; Volkova, O.; Vasiliev, A. Single Crystal Growth and Characterization of Tetragonal FeSe1−x Superconductors. CrystEngComm 2013, 15, 1989–1993. [Google Scholar] [CrossRef]
- Wu, M.K.; Wu, P.M.; Wen, Y.C.; Wang, M.J.; Lin, P.H.; Lee, W.C.; Chen, T.K.; Chang, C.C. An Overview of the Fe-Chalcogenide Superconductors. J. Phys. D Appl. Phys. 2015, 48, 323001. [Google Scholar] [CrossRef]
- Yu, R.; Zhu, J.-X.; Si, Q. Orbital Selectivity Enhanced by Nematic Order in FeSe. Phys. Rev. Lett. 2018, 121, 227003. [Google Scholar] [CrossRef]
- Massat, P.; Farina, D.; Paul, I.; Karlsson, S.; Strobel, P.; Toulemonde, P.; Méasson, M.-A.; Cazayous, M.; Sacuto, A.; Kasahara, S.; et al. Charge-Induced Nematicity in FeSe. Proc. Natl. Acad. Sci. USA 2016, 113, 9177–9181. [Google Scholar] [CrossRef]
- Farrar, L.S.; Zajicek, Z.; Morfoot, A.B.; Bristow, M.; Humphries, O.S.; Haghighirad, A.A.; McCollam, A.; Bending, S.J.; Coldea, A.I. Unconventional Localization of Electrons inside of a Nematic Electronic Phase. Proc. Natl. Acad. Sci. USA 2022, 119, e2200405119. [Google Scholar] [CrossRef] [PubMed]
- Sun, Y.; Pyon, S.; Tamegai, T.; Kobayashi, R.; Watashige, T.; Kasahara, S.; Matsuda, Y.; Shibauchi, T. Critical Current Density, Vortex Dynamics, and Phase Diagram of Single-Crystal FeSe. Phys. Rev. B 2015, 92, 144509. [Google Scholar] [CrossRef]
- Okamoto, H. The Fe-Se (Iron-Selenium) System. JPE 1991, 12, 383–389. [Google Scholar] [CrossRef]
- Böhmer, A.E.; Taufour, V.; Straszheim, W.E.; Wolf, T.; Canfield, P.C. Variation of Transition Temperatures and Residual Resistivity Ratio in Vapor-Grown FeSe. Phys. Rev. B 2016, 94, 024526. [Google Scholar] [CrossRef]
- Hosoi, S.; Matsuura, K.; Ishida, K.; Wang, H.; Mizukami, Y.; Watashige, T.; Kasahara, S.; Matsuda, Y.; Shibauchi, T. Nematic Quantum Critical Point without Magnetism in FeSe1−xSx Superconductors. Proc. Natl. Acad. Sci. USA 2016, 113, 8139–8143. [Google Scholar] [CrossRef]
- Bristow, M.; Reiss, P.; Haghighirad, A.A.; Zajicek, Z.; Singh, S.J.; Wolf, T.; Graf, D.; Knafo, W.; McCollam, A.; Coldea, A.I. Anomalous High-Magnetic Field Electronic State of the Nematic Superconductors FeSe1−xSx. Phys. Rev. Res. 2020, 2, 013309. [Google Scholar] [CrossRef]
- Coldea, A.I. Electronic Nematic States Tuned by Isoelectronic Substitution in Bulk FeSe1−xSx. Front. Phys. 2021, 8, 594500. [Google Scholar] [CrossRef]
- Watson, M.D.; Kim, T.K.; Haghighirad, A.A.; Blake, S.F.; Davies, N.R.; Hoesch, M.; Wolf, T.; Coldea, A.I. Suppression of Orbital Ordering by Chemical Pressure in FeSe1−xSx. Phys. Rev. B 2015, 92, 121108. [Google Scholar] [CrossRef]
- Sun, Y.; Pyon, S.; Tamegai, T. Electron Carriers with Possible Dirac-Cone-like Dispersion in FeSe1−xSx (x = 0 and 0.14) Single Crystals Triggered by Structural Transition. Phys. Rev. B 2016, 93, 104502. [Google Scholar] [CrossRef]
- Licciardello, S.; Maksimovic, N.; Ayres, J.; Buhot, J.; Čulo, M.; Bryant, B.; Kasahara, S.; Matsuda, Y.; Shibauchi, T.; Nagarajan, V.; et al. Coexistence of Orbital and Quantum Critical Magnetoresistance in FeSe1−xSx. Phys. Rev. Res. 2019, 1, 023011. [Google Scholar] [CrossRef]
- Lin, H.; Li, Y.; Deng, Q.; Xing, J.; Liu, J.; Zhu, X.; Yang, H.; Wen, H.-H. Multiband Superconductivity and Large Anisotropy in FeS Crystals. Phys. Rev. B 2016, 93, 144505. [Google Scholar] [CrossRef]
- Ying, T.P.; Lai, X.F.; Hong, X.C.; Xu, Y.; He, L.P.; Zhang, J.; Wang, M.X.; Yu, Y.J.; Huang, F.Q.; Li, S.Y. Nodal Superconductivity in FeS: Evidence from Quasiparticle Heat Transport. Phys. Rev. B 2016, 94, 100504. [Google Scholar] [CrossRef]
- Borg, C.K.H.; Zhou, X.; Eckberg, C.; Campbell, D.J.; Saha, S.R.; Paglione, J.; Rodriguez, E.E. Strong Anisotropy in Nearly Ideal Tetrahedral Superconducting FeS Single Crystals. Phys. Rev. B 2016, 93, 094522. [Google Scholar] [CrossRef]
- Guo, Z.; Sun, F.; Chen, Y.; Mao, Y.; Wan, L.; Yan, X.; Yang, Y.; Yuan, W. Synthesis, Structure and Superconductivity of FeSe1−xSx (0 ≤ x ≤ 1) Solid Solution Crystals. CrystEngComm 2019, 21, 2994–2999. [Google Scholar] [CrossRef]
- Yuan, D.; Huang, Y.; Ni, S.; Zhou, H.; Mao, Y.; Hu, W.; Yuan, J.; Jin, K.; Zhang, G.; Dong, X.; et al. Synthesis of Large FeSe Superconductor Crystals via Ion Release/Introduction and Property Characterization*. Chin. Phys. B 2016, 25, 077404. [Google Scholar] [CrossRef]
- Liu, Y.; Wang, A.; Ivanovski, V.N.; Du, Q.; Koteski, V.; Petrovic, C. Thermoelectricity and Electronic Correlation Enhancement in FeS by Light Se Doping. Phys. Rev. B 2022, 105, 045133. [Google Scholar] [CrossRef]
- Pachmayr, U.; Fehn, N.; Johrendt, D. Structural Transition and Superconductivity in Hydrothermally Synthesized FeX (X = S, Se). Chem. Commun. 2015, 52, 194–197. [Google Scholar] [CrossRef]
- Ishida, K.; Onishi, Y.; Tsujii, M.; Mukasa, K.; Qiu, M.; Saito, M.; Sugimura, Y.; Matsuura, K.; Mizukami, Y.; Hashimoto, K.; et al. Pure Nematic Quantum Critical Point Accompanied by a Superconducting Dome. Proc. Natl. Acad. Sci. USA 2022, 119, e2110501119. [Google Scholar] [CrossRef]
- Wang, D.; Kong, L.; Fan, P.; Chen, H.; Zhu, S.; Liu, W.; Cao, L.; Sun, Y.; Du, S.; Schneeloch, J.; et al. Evidence for Majorana Bound States in an Iron-Based Superconductor. Science 2018, 362, 333–335. [Google Scholar] [CrossRef]
- Zhang, P.; Yaji, K.; Hashimoto, T.; Ota, Y.; Kondo, T.; Okazaki, K.; Wang, Z.; Wen, J.; Gu, G.D.; Ding, H.; et al. Observation of Topological Superconductivity on the Surface of an Iron-Based Superconductor. Science 2018, 360, 182–186. [Google Scholar] [CrossRef] [PubMed]
- Si, W.; Han, S.J.; Shi, X.; Ehrlich, S.N.; Jaroszynski, J.; Goyal, A.; Li, Q. High Current Superconductivity in FeSe0.5Te0.5-Coated Conductors at 30 Tesla. Nat. Commun. 2013, 4, 1347. [Google Scholar] [CrossRef] [PubMed]
- Noji, T.; Suzuki, T.; Abe, H.; Adachi, T.; Kato, M.; Koike, Y. Growth, Annealing Effects on Superconducting and Magnetic Properties, and Anisotropy of FeSe1−xTex (0.5 ≤ x ≤ 1) Single Crystals. J. Phys. Soc. Jpn. 2010, 79, 084711. [Google Scholar] [CrossRef]
- Okazaki, K.; Ito, Y.; Ota, Y.; Kotani, Y.; Shimojima, T.; Kiss, T.; Watanabe, S.; Chen, C.-T.; Niitaka, S.; Hanaguri, T.; et al. Evidence for a Cos(4φ) Modulation of the Superconducting Energy Gap of Optimally Doped FeTe0.6Se0.4 Single Crystals Using Laser Angle-Resolved Photoemission Spectroscopy. Phys. Rev. Lett. 2012, 109, 237011. [Google Scholar] [CrossRef]
- Sales, B.C.; Sefat, A.S.; McGuire, M.A.; Jin, R.Y.; Mandrus, D.; Mozharivskyj, Y. Bulk Superconductivity at 14 K in Single Crystals of Fe1+yTexSe1−x. Phys. Rev. B 2009, 79, 094521. [Google Scholar] [CrossRef]
- Yeh, K.W.; Ke, C.T.; Huang, T.W.; Chen, T.K.; Huang, Y.L.; Wu, P.M.; Wu, M.K. Superconducting FeSe1−xTex Single Crystals Grown by Optical Zone-Melting Technique. Cryst. Growth Des. 2009, 9, 4847–4851. [Google Scholar] [CrossRef]
- Sun, Y.; Taen, T.; Yamada, T.; Tsuchiya, Y.; Pyon, S.; Tamegai, T. Evolution of Superconducting and Transport Properties in Annealed FeTe1−xSex (0.1 ≤ x ≤ 0.4) Multiband Superconductors. Supercond. Sci. Technol. 2015, 28, 044002. [Google Scholar] [CrossRef]
- Fujitsu, S.; Matsuishi, S.; Hosono, H. Iron Based Superconductors Processing and Properties. Int. Mater. Rev. 2012, 57, 311–327. [Google Scholar] [CrossRef]
- Taen, T.; Tsuchiya, Y.; Nakajima, Y.; Tamegai, T. Superconductivity at Tc~14 K in Single-Crystalline FeTe0.61Se0.39. Phys. Rev. B 2009, 80, 092502. [Google Scholar] [CrossRef]
- Komiya, S.; Hanawa, M.; Tsukada, I.; Maeda, A. Effect of Vacuum Annealing on Superconductivity in Fe(Se,Te) Single Crystals. J. Phys. Soc. Jpn. 2013, 82, 064710. [Google Scholar] [CrossRef]
- Hu, J.; Wang, G.C.; Qian, B.; Mao, Z.Q. Inhomogeneous Superconductivity Induced by Interstitial Fe Deintercalation in Oxidizing-Agent-Annealed and HNO3-Treated Fe1+y(Te1−xSex). Supercond. Sci. Technol. 2012, 25, 084011. [Google Scholar] [CrossRef]
- Sun, Y.; Tsuchiya, Y.; Taen, T.; Yamada, T.; Pyon, S.; Sugimoto, A.; Ekino, T.; Shi, Z.; Tamegai, T. Dynamics and Mechanism of Oxygen Annealing in Fe1+yTe0.6Se0.4 Single Crystal. Sci. Rep. 2014, 4, 4585. [Google Scholar] [CrossRef]
- Rodriguez, E.E.; Stock, C.; Hsieh, P.-Y.; Butch, N.P.; Paglione, J.; Green, M.A. Chemical Control of Interstitial Iron Leading to Superconductivity in Fe1+xTe0.7Se0.3. Chem. Sci. 2011, 2, 1782–1787. [Google Scholar] [CrossRef][Green Version]
- Koshika, Y.; Usui, T.; Adachi, S.; Watanabe, T.; Sakano, K.; Simayi, S.; Yoshizawa, M. Effects of Annealing under Tellurium Vapor for Fe1.03Te0.8Se0.2 Single Crystals. J. Phys. Soc. Jpn. 2013, 82, 023703. [Google Scholar] [CrossRef]
- Sun, Y.; Tsuchiya, Y.; Yamada, T.; Taen, T.; Pyon, S.; Shi, Z.; Tamegai, T. Bulk Superconductivity in Fe1+yTe1−xSex Induced by Annealing in Se and S Vapor. J. Phys. Soc. Jpn. 2013, 82, 115002. [Google Scholar] [CrossRef]
- Zhou, W.; Sun, Y.; Zhang, S.; Zhuang, J.; Yuan, F.; Li, X.; Shi, Z.; Yamada, T.; Tsuchiya, Y.; Tamegai, T. Bulk Superconductivity in Fe1+yTe0.6Se0.4 Induced by Removal of Excess Fe. J. Phys. Soc. Jpn. 2014, 83, 064704. [Google Scholar] [CrossRef]
- Yamada, T.; Sun, Y.; Pyon, S.; Tamegai, T. Effects of Pnictogen Atmosphere Annealing on Fe1+yTe0.6Se0.4. J. Phys. Soc. Jpn. 2016, 85, 024712. [Google Scholar] [CrossRef]
- Chen, J.; Sun, Y.; Yamada, T.; Pyon, S.; Tamegai, T. Effects of Iodine Annealing on Fe1+yTe0.6Se0.4. J. Phys. Soc. Jpn. 2016, 85, 104714. [Google Scholar] [CrossRef]
- Ge, J.; Cao, S.; Shen, S.; Yuan, S.; Kang, B.; Zhang, J. Superconducting Properties of Highly Oriented Fe1.03Te0.55Se0.45 with Excess Fe. Solid State Commun. 2010, 150, 1641–1645. [Google Scholar] [CrossRef]
- Mizuguchi, Y.; Tomioka, F.; Tsuda, S.; Yamaguchi, T.; Takano, Y. Superconductivity in S-Substituted FeTe. Appl. Phys. Lett. 2009, 94, 012503. [Google Scholar] [CrossRef]
- Hu, R.; Bozin, E.S.; Warren, J.B.; Petrovic, C. Superconductivity, Magnetism, and Stoichiometry of Single Crystals of Fe1+y(Te1−xSx)z. Phys. Rev. B 2009, 80, 214514. [Google Scholar] [CrossRef]
- Lei, H.; Hu, R.; Choi, E.S.; Warren, J.B.; Petrovic, C. Effects of Excess Fe on Upper Critical Field and Magnetotransport in Fe1+y(Te1−xSx)z. Phys. Rev. B 2010, 81, 184522. [Google Scholar] [CrossRef]
- Lei, H.; Hu, R.; Choi, E.S.; Petrovic, C. Thermally Activated Energy and Flux-Flow Hall Effect of Fe1+y(Te1−xSx)z. Phys. Rev. B 2010, 82, 134525. [Google Scholar] [CrossRef]
- Mizuguchi, Y.; Deguchi, K.; Tsuda, S.; Yamaguchi, T.; Takano, Y. Moisture-Induced Superconductivity in FeTe0.8S0.2. Phys. Rev. B 2010, 81, 214510. [Google Scholar] [CrossRef]
- Wang, A.; Kampert, E.; Saadaoui, H.; Luetkens, H.; Hu, R.; Morenzoni, E.; Wosnitza, J.; Petrovic, C. Normal State above the Upper Critical Field in Fe1+yTe1−x(Se, S)x. Phys. Rev. B 2017, 95, 184504. [Google Scholar] [CrossRef]
- Mizuguchi, Y.; Deguchi, K.; Kawasaki, Y.; Ozaki, T.; Nagao, M.; Tsuda, S.; Yamaguchi, T.; Takano, Y. Superconductivity in Oxygen-Annealed FeTe1−xSx Single Crystal. J. Appl. Phys. 2011, 109, 013914. [Google Scholar] [CrossRef]
- Zhang, Z.T.; Yang, Z.R.; Li, L.; Pi, L.; Tan, S.; Zhang, Y.H. Annealing Effects on Superconductivity and Magnetism in Fe1+yTe1−xSx Single Crystals. J. Appl. Phys. 2012, 111, 07E118. [Google Scholar] [CrossRef]
- Awana, V.P.S.; Pal, A.; Vajpayee, A.; Gahtori, B.; Kishan, H. Superconductivity and Thermal Properties of Sulphur Doped FeTe with Effect of Oxygen Post Annealing. Phys. C Supercond. 2011, 471, 77–82. [Google Scholar] [CrossRef]
- Dong, C.; Wang, H.; Mao, Q.; Khan, R.; Zhou, X.; Li, C.; Yang, J.; Chen, B.; Fang, M. Phase Diagram and Annealing Effect for Fe1+δTe1−xSx Single Crystals. J. Phys. Condens. Matter 2013, 25, 385701. [Google Scholar] [CrossRef]
- Yamazaki, T.; Sakurai, T.; Yaguchi, H. Size Dependence of Oxygen-Annealing Effects on Superconductivity of Fe1+yTe1−xSx. J. Phys. Soc. Jpn. 2016, 85, 114712. [Google Scholar] [CrossRef]
- Yamamoto, K.; Yamazaki, T.; Yamanaka, T.; Ueta, D.; Yoshizawa, H.; Yaguchi, H. Anisotropic Pressure Effects on Superconductivity in Fe1+yTe1−xSx. J. Phys. Soc. Jpn. 2018, 87, 054705. [Google Scholar] [CrossRef]
- Dong, C.; Wang, H.; Yang, J.; Qian, B.; Chen, J.; Li, Z.; Yuan, H.; Fang, M. Effect of Annealing on Superconductivity in Fe1+y(Te1−xSx) System. Sci. China Phys. Mech. Astron. 2010, 53, 1216–1220. [Google Scholar] [CrossRef]
- Zhao, C.; Yi, X.; Hou, Q.; Feng, J.; Zhang, Y.; Xu, M.; Shi, Z. Hydrothermal Synthesis and Transport Properties of FeS1−xTex (0 ≤ x ≤ 0.15) Single Crystals. J. Supercond. Nov. Magn. 2021, 34, 2565–2572. [Google Scholar] [CrossRef]















Disclaimer/Publisher’s Note: The statements, opinions and data contained in all publications are solely those of the individual author(s) and contributor(s) and not of MDPI and/or the editor(s). MDPI and/or the editor(s) disclaim responsibility for any injury to people or property resulting from any ideas, methods, instructions or products referred to in the content. |
© 2023 by the authors. Licensee MDPI, Basel, Switzerland. This article is an open access article distributed under the terms and conditions of the Creative Commons Attribution (CC BY) license (https://creativecommons.org/licenses/by/4.0/).
Share and Cite
Hou, Q.; Sun, L.; Sun, Y.; Shi, Z. Review of Single Crystal Synthesis of 11 Iron-Based Superconductors. Materials 2023, 16, 4895. https://doi.org/10.3390/ma16144895
Hou Q, Sun L, Sun Y, Shi Z. Review of Single Crystal Synthesis of 11 Iron-Based Superconductors. Materials. 2023; 16(14):4895. https://doi.org/10.3390/ma16144895
Chicago/Turabian StyleHou, Qiang, Longfei Sun, Yue Sun, and Zhixiang Shi. 2023. "Review of Single Crystal Synthesis of 11 Iron-Based Superconductors" Materials 16, no. 14: 4895. https://doi.org/10.3390/ma16144895
APA StyleHou, Q., Sun, L., Sun, Y., & Shi, Z. (2023). Review of Single Crystal Synthesis of 11 Iron-Based Superconductors. Materials, 16(14), 4895. https://doi.org/10.3390/ma16144895

