Experiment for Measuring Mechanical Properties of High-Strength Steel Sheets under Cyclic Loading by V-Shaped Double-Shear-Zone Specimens
Abstract
1. Introduction
2. Double-Shear-Zone Specimen for Cyclic Loading Experiments
2.1. Shape of Shear Specimen
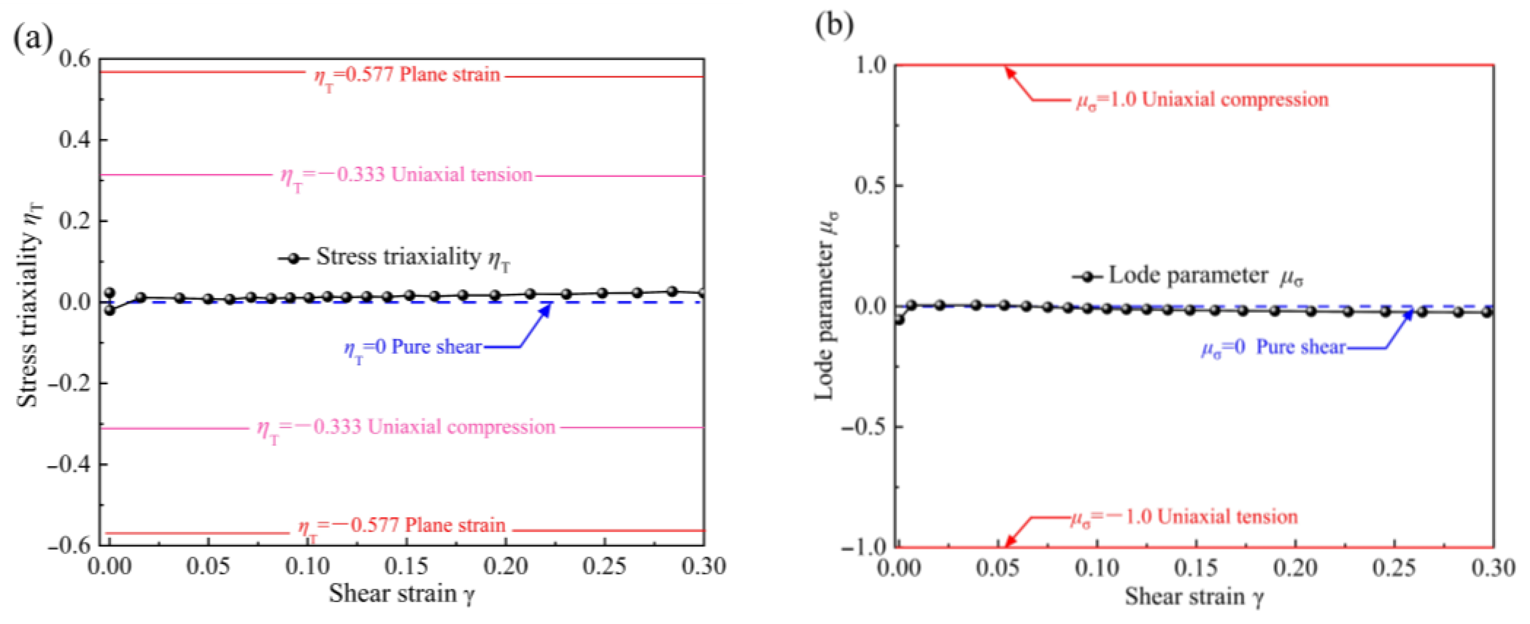
2.2. Shear Deformation Characteristics of New Specimens from FE Analysis
- (1)
- The V-shaped opening in the shear zone can effectively reduce the end effect and boundary effect, thereby achieving approximately uniform pure shear deformation.
- (2)
- The symmetric structure of the shear specimen can effectively avoid torsional deformation and easily achieve stable forward/reverse pure shear deformation, even under large strains. It is particularly suitable for studying the mechanical properties of sheet metal under cyclic loading conditions.
3. Material and Experiments
3.1. Mechanical Properties of Q890 High-Strength Steel
3.2. Experimental Setup
3.3. Experimental Program
- (1)
- Single-cycle shear experiment
- (2)
- Multi-cycle shear experiments with fixed pre-strain
- (3)
- Multi-cycle shear experiments with gradually increasing pre-strain
3.4. Bauschinger Stress Parameter
4. Results and Discussion
4.1. Simple Shear Experiment (SSE)
4.2. Single-Cycle Shear Experiment
4.3. Multi-Cycle Shear Experiments with Fixed Pre-Strain
4.4. Multi-Cycle Shear Experiments with Gradually Increasing Pre-Strain
5. Conclusions
- The V-shaped double-shear-zone specimen can largely eliminate the end effect and the boundary effect, so that uniform pure shear deformation can be achieved in the shear zone.
- A simple shear test with the proposed specimen can effectively avoid torsional deformation, and the resulting strains are significantly higher than the uniform elongation in the UT. Moreover, it is easy to achieve stable forward/reverse cyclic loading experiments, and even under large strains.
- Q890 high-strength steel exhibits a significant Bauschinger effect, which is more pronounced with the increase in shear pre-strain and loading cycles. However, relatively speaking, the influence of shear pre-strain on the Bauschinger effect is more significant, and the smaller the pre-strain, the more significant it is.
- For Q890 high-strength steel, in both multi-cycle shear experiments with fixed pre-strain and gradually increasing pre-strain, respectively, both the forward- and reverse-shear yield stresses gradually decrease as the loading cycles increase, and the greater the pre-strain, the greater the decrease; the forward-shear yield stress (i ≥ 2) is lower than the initial shear yield stress τs, but significantly greater than the reverse-shear yield stress of the previous cycle (i ≥ 2).
- The permanent softening of Q890 gradually increases with an increase in either shear pre-strain or loading cycles.
- The wall thickness of the specimen can be a limiting factor for the conclusion of this study. When the wall thickness of the specimen is too thick, the accuracy of the results may be affected.
6. Future Study
Author Contributions
Funding
Institutional Review Board Statement
Informed Consent Statement
Data Availability Statement
Conflicts of Interest
References
- Yuan, S.; Fan, X. Developments and perspectives on the precision forming processes for ultra-large size integrated components. Int. J. Extrem. Manuf. 2019, 1, 22002. [Google Scholar] [CrossRef]
- Zhao, J.; Zhou, G.; Zhang, D.; Kovacic, I.; Zhu, R.; Hu, H. Integrated design of a lightweight metastructure for broadband vibration isolation. Int. J. Mech. Sci. 2023, 244, 108069. [Google Scholar] [CrossRef]
- Zhou, W.; Dong, P.; Lillemäe, I.; Remes, H. Analytical treatment of distortion effects on fatigue behaviors of lightweight shipboard structures. Int. J. Fatigue 2020, 130, 105286. [Google Scholar] [CrossRef]
- Huang, X.; Yuan, Y.; Zhao, J.; Wei, C. Comparative study on ultra-low-cycle-fatigue behavior of q235 normal-steel and q690 high-strength steel. J. Constr. Steel. Res. 2022, 194, 107308. [Google Scholar] [CrossRef]
- Tekkaya, A.E.; Homberg, W.; Brosius, A. 60 Excellent Inventions in Metal Forming; Springer: Berlin/Heidelberg, Germany, 2015. [Google Scholar] [CrossRef]
- Altan, T. Hot-stamping boron-alloyed steels for automotive parts part i: Process methods and uses. Stamp. J. 2007, 19, 10–11. [Google Scholar]
- Bauschinger, J. Über die Veränderung der Elastizitätsgrenze und der Festigkeit des Eisens und Stahls durch Strecken und Quetschen, durch Erwärmen und Abkühlen und durch oftmals wiederholte Beanspruchung. Mitt. Mech. Technol. Lab. K Technol. Hochsch. München. 1886, 13, 108–112. [Google Scholar]
- Liu, Z.; Hou, Y.; He, R.; Ye, Y.; Niu, C.; Min, J. Machine learning for extending capability of mechanical characterization to improve springback prediction of a quenching and partitioning steel. J. Mater. Process. Technol. 2022, 308, 117737. [Google Scholar] [CrossRef]
- Gau, J.; Kinzel, G.L. A new model for springback prediction in which the bauschinger effect is considered. Int. J. Mech. Sci. 2001, 43, 1813–1832. [Google Scholar] [CrossRef]
- Wagoner, R.H.; Lim, H.; Lee, M. Advanced issues in springback. Int. J. Plast. 2013, 45, 3–20. [Google Scholar] [CrossRef]
- Lee, S.; Yoon, S.; Kim, J.; Barlat, F.; Oh, K. Evaluation of loading-path-dependent constitutive models for springback prediction in martensitic steel forming. Int. J. Mech. Sci. 2023, 251, 108317. [Google Scholar] [CrossRef]
- Kuwabara, T. Advances in experiments on metal sheets and tubes in support of constitutive modeling and forming simulations. Int. J. Plast. 2007, 23, 385–419. [Google Scholar] [CrossRef]
- Zhang, C.; Zhang, S.; Lou, Y. Characterization of kinematic and distortional hardening by cyclic twin-bridge shear tests for sheet metal with inverse engineering approach. Mech. Mater. 2022, 172, 104387. [Google Scholar] [CrossRef]
- Kuwabara, T. Biaxial stress testing methods for sheet metals. Compr. Mater. Process. 2014, 1, 95–111. [Google Scholar] [CrossRef]
- Yoshida, F.; Uemori, T. A model of large-strain cyclic plasticity describing the bauschinger effect and workhardening stagnation. Int. J. Plast. 2002, 18, 661–686. [Google Scholar] [CrossRef]
- Boger, R.K.; Wagoner, R.H.; Barlat, F.; Lee, M.G.; Chung, K. Continuous, large strain, tension/compression testing of sheet material. Int. J. Plast. 2005, 21, 2319–2343. [Google Scholar] [CrossRef]
- Jian, C.; Lee, W.; Hang, S.C.; Seniw, M.; Chung, K. Experimental and numerical investigation of combined isotropic-kinematic hardening behavior of sheet metals. Int. J. Plast. 2009, 25, 942–972. [Google Scholar] [CrossRef]
- Choi, J.S.; Lee, J.W.; Kim, J.H.; Barlat, F.; Lee, M.G.; Kim, D. Measurement and modeling of simple shear deformation under load reversal: Application to advanced high strength steels. Int. J. Mech. Sci. 2015, 98, 144–156. [Google Scholar] [CrossRef]
- Rickhey, F.; Kim, M.; Lee, H.; Kim, N. Evaluation of combined hardening coefficients of zircaloy-4 sheets by simple shear test. Mater. Eng. 2015, 65, 995–1000. [Google Scholar] [CrossRef]
- Zhao, K.M.; Lee, J.K. Finite element analysis of the three-point bending of sheet metals. J. Mater. Process. Technol. 2002, 122, 6–11. [Google Scholar] [CrossRef]
- Eggertsen, P.A.; Mattiasson, K. On the modelling of the bending–unbending behaviour for accurate springback predictions. Int. J. Mech. Sci. 2009, 51, 547–563. [Google Scholar] [CrossRef]
- Zang, S.; Lee, M.; Sun, L.; Kim, J.H. Measurement of the bauschinger behavior of sheet metals by three-point bending springback test with pre-strained strips. Int. J. Plast. 2014, 59, 84–107. [Google Scholar] [CrossRef]
- Toropov, V.V.; Filatov, A.A.; Polynkin, A.A. Multiparameter structural optimization using fem and multipoint explicit approximations. Struct. Optim. 1993, 6, 7–14. [Google Scholar] [CrossRef]
- Manach, P.Y.; Couty, N. Elastoviscohysteresis constitutive law in convected coordinate frames: Application to finite deformation shear tests. Comput. Mech. 2002, 28, 17–25. [Google Scholar] [CrossRef]
- ASTM B831-19; Standard Test Method for Shear Testing of Thin Aluminum Alloy Products. American Society for Testing and Materials: West Conshohocken, PA, USA, 2019.
- Merklein, M.; Biasutti, M. Forward and reverse simple shear test experiments for material modeling in forming simulations. In Proceedings of the 10th International Conference on Technology of Plasticity, ICTP, Aachen, Germany, 25–30 September 2011. [Google Scholar]
- Luo, Q.; Yuan, L.; Chen, K. Identification of the material hardening and failure of an aluminum alloy sheet via a simple shear test. In Proceedings of the ASME 2021 International Mechanical Engineering Congress and Exposition, Virtual, 1–5 November 2021. [Google Scholar] [CrossRef]
- Miyauchi, K. A proposal of a planar simple shear test in sheet metals. Sci. Pap. RIKEN 1984, 78, 27–42. [Google Scholar]
- Pham, C.H.; Adzima, F.; Coër, J.; Manach, P.Y. Anti-buckling device for ultra-thin metallic sheets under large and reversed shear strain paths. Exp. Mech. 2017, 57, 593–602. [Google Scholar] [CrossRef]
- G’Sell, C.; Boni, S.; Shrivastava, S. Application of the plane simple shear test for determination of the plastic behaviour of solid polymers at large strains. J. Mater. Sci. 1983, 18, 903–918. [Google Scholar] [CrossRef]
- Bouvier, S.; Haddadi, H.; Levée, P.; Teodosiu, C. Simple shear tests: Experimental techniques and characterization of the plastic anisotropy of rolled sheets at large strains. J. Mater. Process. Technol. 2006, 172, 96–103. [Google Scholar] [CrossRef]
- An, Y.G.; Vegter, H.; Heijne, J. Development of simple shear test for the measurement of work hardening. J. Mater. Process. Technol. 2009, 209, 4248–4254. [Google Scholar] [CrossRef]
- Leal, R.; Leitão, C.; Loureiro, A.; Rodrigues, D. Material flow in heterogeneous friction stir welding of thin aluminium sheets: Effect of shoulder geometry. Mater. Sci. Eng. A 2008, 498, 384–391. [Google Scholar] [CrossRef]
- Bouvier, S.; Gardey, B.; Haddadi, H.; Teodosiu, C. Characterization of the strain-induced plastic anisotropy of rolled sheets by using sequences of simple shear and uniaxial tensile tests. J. Mater. Process. Technol. 2006, 174, 115–126. [Google Scholar] [CrossRef]
- Bai, Y.; Wierzbicki, T. Application of extended mohr–coulomb criterion to ductile fracture. Int. J. Fatigue 2010, 161, 1–20. [Google Scholar] [CrossRef]
- Wang, Y.; Lyu, Y.; Wang, Y.; Li, G.; Liew, J.Y.R. A reexamination of high strength steel yield criterion. Constr. Build. Mater. 2020, 230, 116945. [Google Scholar] [CrossRef]
- GBT 228.1-2010; Metallic materials—Tensile testing—Part 1: Method of test at room temperature. Standardization Administration of China: Beijing, China, 2010.
- Jordon, J.B.; Horstemeyer, M.F.; Solanki, K.; Xue, Y. Damage and stress state influence on the bauschinger effect in aluminum alloys. Mech. Mater. 2007, 39, 920–931. [Google Scholar] [CrossRef]
- Yu, X.; Ji, H.; Zhang, H.; Xu, D. Experimental and numerical investigation on the bauschinger effect during cold forming of tc4 eli alloy. Int. J. Mater. Form. 2022, 15, 16. [Google Scholar] [CrossRef]
- Kato, H.; Sasaki, K.; Mori, T. Four-point bending test of the bauschinger effect in prestrained if steel thin sheet. Mater. Sci. A Struct. Mater. Prop. Microstruct. Process. 2015, 642, 150–156. [Google Scholar] [CrossRef]
- Toribio, J.; Kharin, V.; Ayaso, F.; Lorenzo, M.; González, B.; Matos, J.; Aguado, L. Analysis of the bauschinger effect in cold drawn pearlitic steels. Metals 2020, 10, 114. [Google Scholar] [CrossRef]
- Weiss, M.; Kupke, A.; Manach, P.Y.; Galdos, L.; Hodgson, P.D. On the bauschinger effect in dual phase steel at high levels of strain. Mater. Sci. A Struct. Mater. Prop. Microstruct. Process. 2015, 643, 127–136. [Google Scholar] [CrossRef]


















| Chemical Composition | C | Si | Mn | P | S | Cu | Cr | Ni | Mo | B | V | Nb | Ti | CEV |
|---|---|---|---|---|---|---|---|---|---|---|---|---|---|---|
| content/% | 0.2 | 0.8 | 2.0 | 0.025 | 0.015 | 0.5 | 1.5 | 2.0 | 0.7 | 0.005 | 0.12 | 0.06 | 0.05 | 0.72 |
| Direction | Young’s Modulus/GPa | Yield Stress/MPa | Tensile Strength/MPa | Elongation/% | r-Value |
|---|---|---|---|---|---|
| 0° | 204.5 | 1020 | 1115 | 14.3 | 0.97 |
| 45° | 203.9 | 1015 | 1106 | 14.6 | 0.98 |
| 90° | 205.6 | 1026 | 1102 | 14.1 | 1.01 |
| Shear Pre-Strain | τs/MPa | τf/MPa | τr/MPa | |τs| − |τr|/MPa |
|---|---|---|---|---|
| 0.01 | 578.2 | 589.5 | −519.8 | 58.4 |
| 0.02 | 578.9 | 602.6 | −474.9 | 103.9 |
| 0.03 | 577.6 | 608.1 | −464.5 | 113.1 |
| 0.04 | 579.1 | 615.3 | −458.3 | 120.8 |
| 0.05 | 586.0 | 624.3 | −451.0 | 135.0 |
| 0.06 | 578.1 | 630.2 | −442.1 | 136.0 |
| 0.07 | 577.9 | 636.1 | −434.4 | 143.6 |
| 0.08 | 578.0 | 638.4 | −412.7 | 165.3 |
| 0.10 | 578.2 | 645.6 | −396.3 | 181.9 |
| 0.15 | 579.3 | 654.6 | −338.3 | 241.0 |
| Shear Pre-Strain | Cyclics | τs/MPa | τf/MPa | τr/MPa | |τs| − |τr|/MPa |
|---|---|---|---|---|---|
| 0.04 | 1 | 579.1 | 612.8 | −458.3 | 120.8 |
| 2 | 511.6 | 607.6 | −448.7 | 62.9 | |
| 3 | 502.8 | 604.4 | −435.1 | 67.7 | |
| 4 | 499.7 | 600.3 | −424.4 | 75.3 | |
| 0.06 | 1 | 578.1 | 622.4 | −443. 3 | 134.8 |
| 2 | 485.8 | 618.6 | −434.7 | 51.1 | |
| 3 | 483.5 | 609.1 | −426.3 | 57.2 | |
| 4 | 477.5 | 601.4 | −419.5 | 58.0 | |
| 0.08 | 1 | 578.1 | 635.2 | −417.6 | 160.5 |
| 2 | 446.7 | 627.3 | −409.7 | 37.0 | |
| 3 | 428.9 | 615.6 | −403.5 | 25.4 | |
| 4 | 423.4 | 607.3 | −391.4 | 32.0 | |
| 0.10 | 1 | 578.2 | 644.1 | −396.2 | 182.0 |
| 2 | 447.5 | 627.7 | −384.3 | 63.2 | |
| 3 | 453.7 | 607.1 | −378.4 | 75.3 | |
| 4 | 443.5 | 599.6 | −373.6 | 69.9 |
Disclaimer/Publisher’s Note: The statements, opinions and data contained in all publications are solely those of the individual author(s) and contributor(s) and not of MDPI and/or the editor(s). MDPI and/or the editor(s) disclaim responsibility for any injury to people or property resulting from any ideas, methods, instructions or products referred to in the content. |
© 2023 by the authors. Licensee MDPI, Basel, Switzerland. This article is an open access article distributed under the terms and conditions of the Creative Commons Attribution (CC BY) license (https://creativecommons.org/licenses/by/4.0/).
Share and Cite
Yan, G.; Lin, Y.; Wang, S.; Xu, E.; He, Z.; Chen, K.; Yuan, S. Experiment for Measuring Mechanical Properties of High-Strength Steel Sheets under Cyclic Loading by V-Shaped Double-Shear-Zone Specimens. Materials 2023, 16, 4645. https://doi.org/10.3390/ma16134645
Yan G, Lin Y, Wang S, Xu E, He Z, Chen K, Yuan S. Experiment for Measuring Mechanical Properties of High-Strength Steel Sheets under Cyclic Loading by V-Shaped Double-Shear-Zone Specimens. Materials. 2023; 16(13):4645. https://doi.org/10.3390/ma16134645
Chicago/Turabian StyleYan, Geng, Yanli Lin, Shuo Wang, Enqi Xu, Zhubin He, Kelin Chen, and Shijian Yuan. 2023. "Experiment for Measuring Mechanical Properties of High-Strength Steel Sheets under Cyclic Loading by V-Shaped Double-Shear-Zone Specimens" Materials 16, no. 13: 4645. https://doi.org/10.3390/ma16134645
APA StyleYan, G., Lin, Y., Wang, S., Xu, E., He, Z., Chen, K., & Yuan, S. (2023). Experiment for Measuring Mechanical Properties of High-Strength Steel Sheets under Cyclic Loading by V-Shaped Double-Shear-Zone Specimens. Materials, 16(13), 4645. https://doi.org/10.3390/ma16134645
