Complex Monte Carlo Light-Driven Dynamics of Monomers in Functionalized Bond Fluctuation Model Polymer Chains
Abstract
1. Introduction
2. Materials and Methods
2.1. Monte Carlo Bond Fluctuation Model
2.2. Bond Fluctuation Model for Light–Matter Interaction for Functionalized Chains
2.3. Characterization of the Displacement of the Chain
3. Results
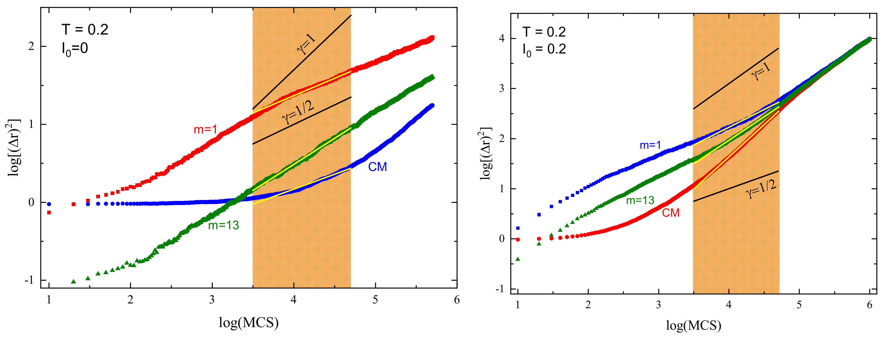
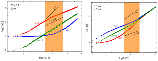
3.1. Homogeneous Illumination:
3.1.1. Trajectories
3.1.2. Case
3.1.3. Case
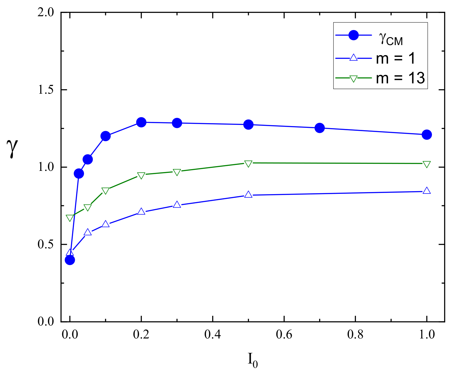
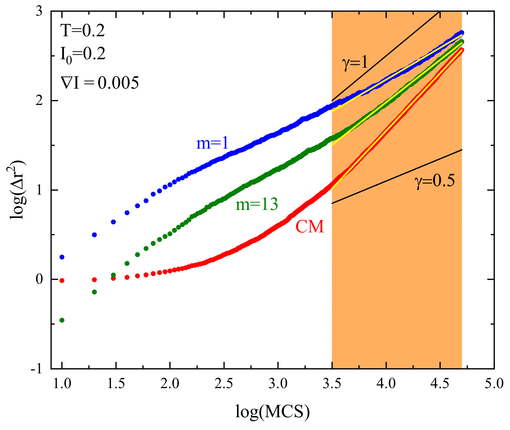
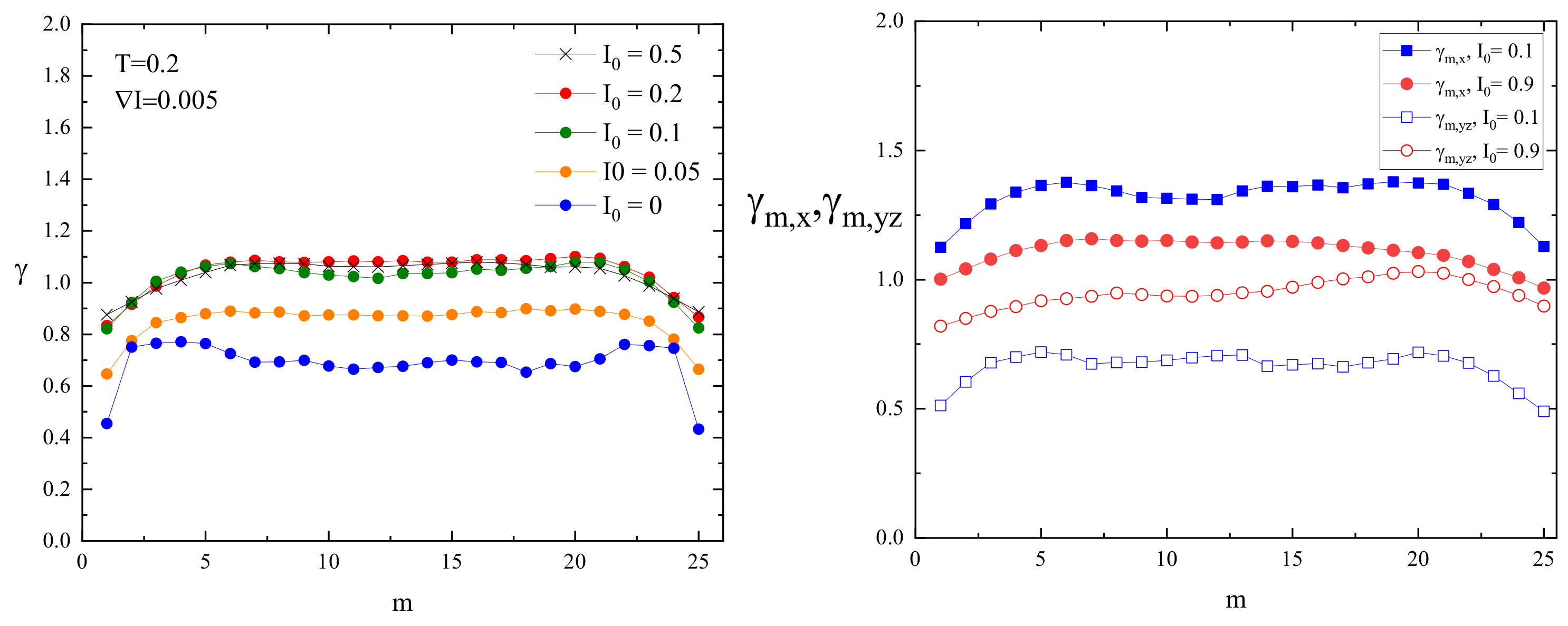
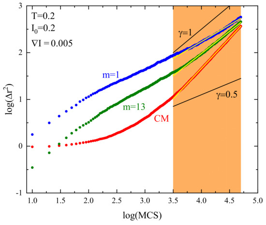
3.2. Inhomogeneous Illumination
3.2.1. Trajectories
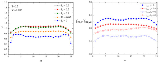
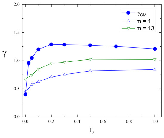
3.2.2. Superdiffusive Dynamics
4. Discussion
5. Conclusions
Author Contributions
Funding
Institutional Review Board Statement
Informed Consent Statement
Data Availability Statement
Conflicts of Interest
References
- Sekkat, Z.; Knoll, W. (Eds.) Photoreactive Organic Thin Films; Academic Press: San Diego, CA, USA, 2002. [Google Scholar]
- Kim, D.Y.; Tripathy, S.K.; Li, L.; Kumar, J. Laser-induced holographic surface relief gratings on nonlinear optical polymer films. Appl. Phys. Lett. 1995, 66, 1166. [Google Scholar] [CrossRef]
- Rochon, P.; Batalla, E.; Natansohn, A. Optically induced surface gratings on azoaromatic polymer films. Appl. Phys. Lett. 1995, 66, 136. [Google Scholar] [CrossRef]
- Lee, S.; Kang, H.S.; Park, J.-K. Directional photofluidization lithography: Micro/nanostructural evolution by photofluidic motions of azobenzene materials. Adv. Mater. 2012, 24, 2069–2103. [Google Scholar] [CrossRef] [PubMed]
- Mahimwalla, Z.; Yager, K.G.; Mamiya, J.; Shishido, A.; Priimagi, A.; Barrett, C.J. Azobenzene photomechanics: Prospects and potential applications. Polym. Bull. 2012, 69, 967–1006. [Google Scholar] [CrossRef]
- Mitus, A.C.; Saphiannikova, M.; Radosz, W.; Toshchevikov, V.; Pawlik, G. Modeling of Nonlinear Optical Phenomena in Host-Guest Systems Using Bond Fluctuation Monte Carlo Model: A Review. Materials 2021, 14, 1454. [Google Scholar] [CrossRef]
- Pawlik, G.; Miniewicz, A.; Sobolewska, A.; Mitus, A.C. Generic stochastic Monte Carlo model of the photoinduced mass transport in azo-polymers and fine structure of Surface Relief Gratings. EPL 2014, 105, 26002. [Google Scholar] [CrossRef]
- Pawlik, G.; Wysoczanski, T.; Mitus, A.C. Complex Dynamics of Photoinduced Mass Transport and Surface Relief Gratings Formation. Nanomaterials 2019, 9, 352. [Google Scholar] [CrossRef]
- Doi, M.; Edwards, S.F. The Theory of Polymer Dynamics; Oxford University: New York, NY, USA, 1996. [Google Scholar]
- Khokhlov, A.R.; Grosberg, A.Y.; Pande, V.S. Statistical Physics of Macromolecules (Polymers and Complex Materials); American Institute of Physics: New York, NY, USA, 1994. [Google Scholar]
- Farago, J.; Meyer, H.; Semenov, A.N. Anomalous diffusion of a polymer chain in an unentangled melt. Phys. Rev. Lett. 2011, 107, 178301. [Google Scholar] [CrossRef]
- Paul, W. Anomalous diffusion in polymer melts. Chem. Phys. 2002, 284, 59–66. [Google Scholar] [CrossRef]
- Paul, W.; Smith, G.D. Structure and dynamics of amorphous polymers: Computer simulations compared to experiment and theory. Rep. Prog. Phys. 2004, 67, 1117–1185. [Google Scholar] [CrossRef]
- Smith, G.D.; Paul, W.; Monkenbusch, M.; Richter, D. A comparison of neutron scattering studies and computer simulations of polymer melts. Chem. Phys. 2000, 261, 61–74. [Google Scholar] [CrossRef]
- Karatrantos, A.; Composto, R.J.; Winey, K.I.; Kröger, M.; Clarke, N. Modeling of Entangled Polymer Diffusion in Melts and Nanocomposites: A Review. Polymers 2019, 11, 876. [Google Scholar] [CrossRef]
- Smith, S.W.; Hall, C.K.; Freeman, B.D. Large-scale molecular dynamics study of entangled hard-chain fluids. Phys. Rev. Lett. 1995, 75, 1316. [Google Scholar] [CrossRef] [PubMed]
- Smith, S.W.; Hall, C.K.; Freeman, B.D. Molecular dynamics study of entangled hard-chain fluids. J. Chem. Phys. 1996, 104, 5616–5637. [Google Scholar] [CrossRef]
- Dua, A.; Cherayil, B.J. The anomalous diffusion of polymers in random media. J. Chem. Phys. 2000, 112, 421–427. [Google Scholar] [CrossRef]
- Kopf, A.; Duenweg, B.; Paul, W. Dynamics of Polymer Isotope Mixtures: Molecular Dynamics Simulation and Rouse Model Analysis. J. Chem. Phys. 1997, 107, 6945–6955. [Google Scholar] [CrossRef]
- Paul, W.; Smith, G.D.; Yoon, D.Y. Static and Dynamic Properties of a n-C100H202 Melt from Molecular Dynamics Simulations. Macromolecules 1997, 30, 7772–7780. [Google Scholar] [CrossRef]
- Krushev, S.; Paul, W.; Smith, G.D. The Role of Internal Rotational Barriers in Polymer Melt Chain Dynamics. Macromolecules 2002, 35, 4198–4203. [Google Scholar] [CrossRef]
- Baschnagel, J.; Wittmer, J.P.; Meyer, H. Computational Soft Matter: From Synthetic Polymers to Proteins; Attig, N., Ed.; NIC Series; NIC-Directors: Juelich, Germany, 2004; Volume 23, pp. 83–140. [Google Scholar]
- Mueller, M. Handbook of Materials Modeling; Yip, S., Ed.; Springer: New York, NY, USA, 2005. [Google Scholar]
- Wittmer, J.P.; Cavallo, A.; Kreer, T.; Baschnagel, J.; Johner, A. A finite excluded volume bond-fluctuation model: Static properties of dense polymer melts revisited. J. Chem. Phys. 2009, 131, 064901. [Google Scholar] [CrossRef]
- Binder, K. Monte Carlo and Molecular Dynamics Simulations in Polymer Science; Oxford University Press: Oxford, UK, 1995. [Google Scholar]
- Deutsch, H.-P.; Binder, K. Interdiffusion and self-diffusion in polymer mixtures: A Monte Carlo study. J. Chem. Phys. 1991, 94, 2294–2304. [Google Scholar] [CrossRef]
- Radosz, W.; Pawlik, G.; Mitus, A.C. Complex Dynamics of Photo-Switchable Guest Molecules in All-Optical Poling Close to the Glass Transition: Kinetic Monte Carlo Modeling. J. Phys. Chem. B 2018, 122, 1756–1765. [Google Scholar] [CrossRef] [PubMed]
- Kresse, B.; Hofmann, M.; Privalov, A.F.; Fatkullin, N.; Fujara, F.; Roessler, E.A. All polymer diffusion regimes covered by combining field-cycling and field-gradient 1H NMR. Macromolecules 2015, 48, 4491–4502. [Google Scholar] [CrossRef]
- Tsolou, G.; Mavrantzas, V.G.; Theodorou, D.N. Detailed Atomistic Molecular Dynamics Simulation of cis-1-4-Poly(butadiene). Macromolecules 2005, 38, 1478–1492. [Google Scholar] [CrossRef]
- Hsu, H.-P.; Kremer, K. Static and Dynamic Properties of Large Polymer Melts in Equilibrium. J. Chem. Phys. 2016, 144, 154907. [Google Scholar] [CrossRef] [PubMed]
- Padding, J.T.; Briels, W.J. Zero-shear stress relaxation and long time dynamics of a linear polyethylene melt: A test of Rouse theory. J. Chem. Phys. 2001, 114, 8685–8693. [Google Scholar] [CrossRef]
- Pawlik, G.; Mitus, A.C. Photoinduced Mass Transport in Azo-Polymers in 2D: Monte Carlo Study of Polarization Effects. Materials 2020, 13, 4724. [Google Scholar] [CrossRef]











Disclaimer/Publisher’s Note: The statements, opinions and data contained in all publications are solely those of the individual author(s) and contributor(s) and not of MDPI and/or the editor(s). MDPI and/or the editor(s) disclaim responsibility for any injury to people or property resulting from any ideas, methods, instructions or products referred to in the content. |
© 2023 by the authors. Licensee MDPI, Basel, Switzerland. This article is an open access article distributed under the terms and conditions of the Creative Commons Attribution (CC BY) license (https://creativecommons.org/licenses/by/4.0/).
Share and Cite
Pawlik, G.; Mitus, A.C. Complex Monte Carlo Light-Driven Dynamics of Monomers in Functionalized Bond Fluctuation Model Polymer Chains. Materials 2023, 16, 4373. https://doi.org/10.3390/ma16124373
Pawlik G, Mitus AC. Complex Monte Carlo Light-Driven Dynamics of Monomers in Functionalized Bond Fluctuation Model Polymer Chains. Materials. 2023; 16(12):4373. https://doi.org/10.3390/ma16124373
Chicago/Turabian StylePawlik, Grzegorz, and Antoni C. Mitus. 2023. "Complex Monte Carlo Light-Driven Dynamics of Monomers in Functionalized Bond Fluctuation Model Polymer Chains" Materials 16, no. 12: 4373. https://doi.org/10.3390/ma16124373
APA StylePawlik, G., & Mitus, A. C. (2023). Complex Monte Carlo Light-Driven Dynamics of Monomers in Functionalized Bond Fluctuation Model Polymer Chains. Materials, 16(12), 4373. https://doi.org/10.3390/ma16124373

