Comprehensive Evaluation of the Performance and Benefits of SSA–GGBS Geopolymer Mortar
Abstract
1. Introduction
2. Materials and Methods
2.1. Raw Materials
2.2. Mix Proportion
2.3. Test Method
3. Results and Discussion
3.1. Fresh Performance of Geopolymer Mortar
3.1.1. Workability
3.1.2. Setting Time
3.2. Mechanical Performance of Geopolymer Mortar
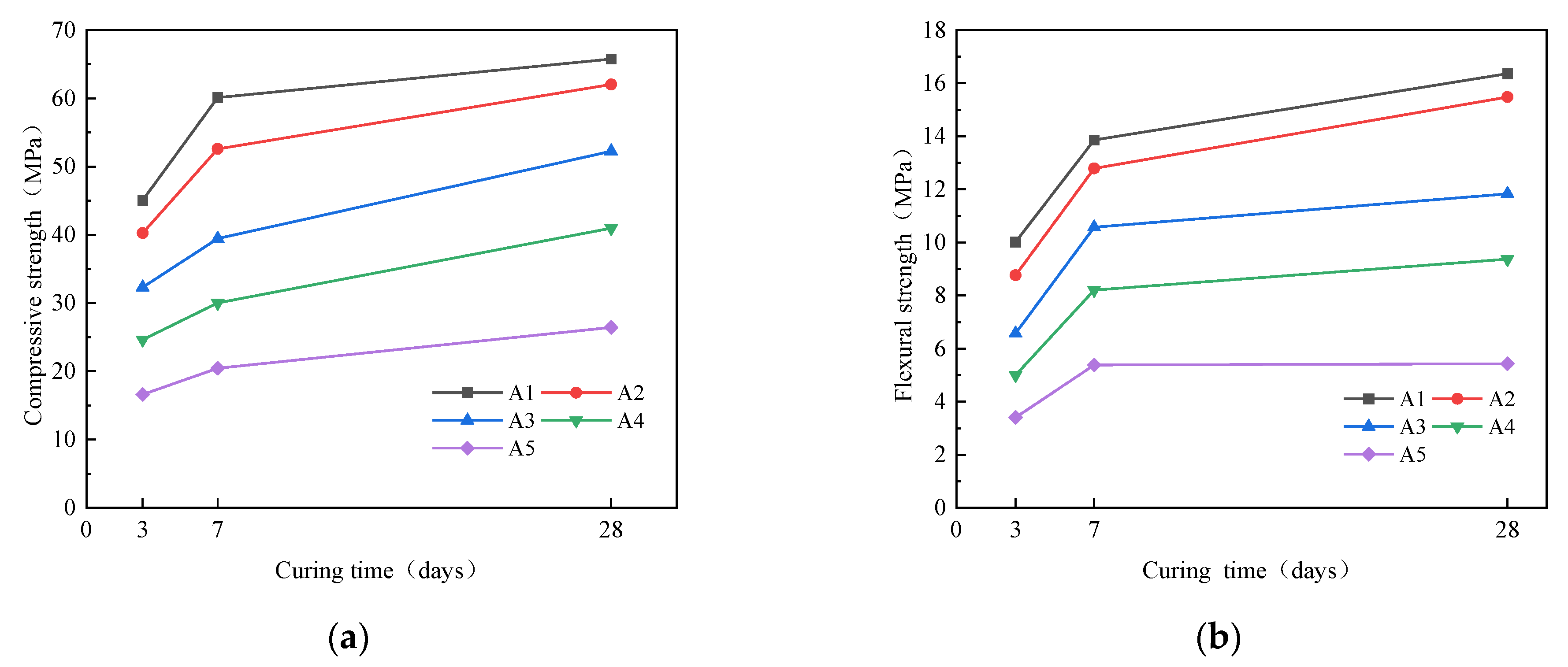
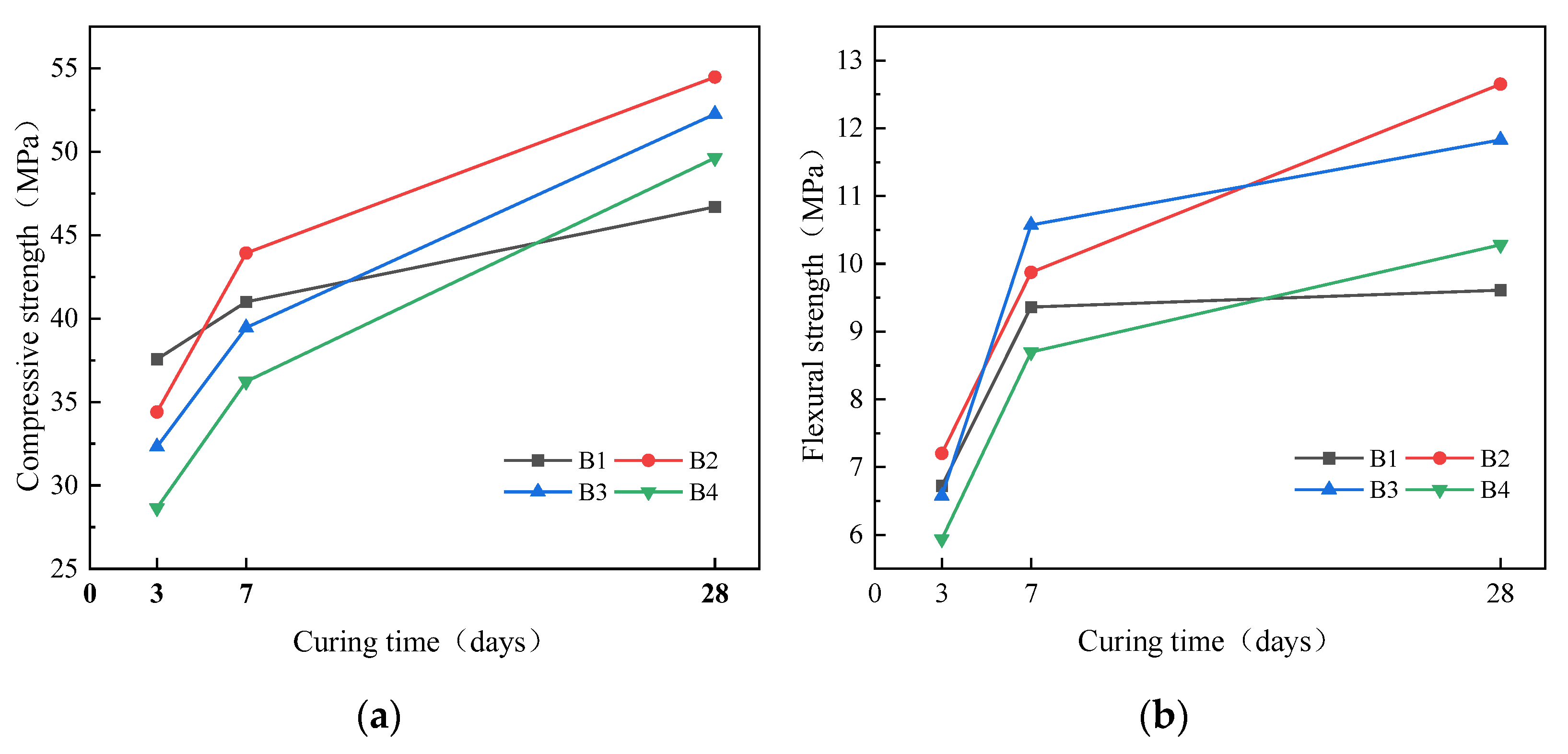
3.2.1. Compressive Strength and Flexural Strength
3.2.2. SEM Analysis
3.3. Benefits of Geopolymer Mortar
3.3.1. Cost
3.3.2. Carbon Emission
3.4. Comprehensive Evaluation of Performance and Benefits
3.4.1. Indicator Weight
3.4.2. Evaluation Results
4. Conclusions
- As SSA/GGBS increases, the irregular particle morphology and porous surface structure of SSA make it highly susceptible to moisture absorption, resulting in a decrease in fluidity. The activity of SSA is lower compared to GGBS, the polymerization reaction speed of geopolymer is slowed down, the setting time of mortar increases, the CaO content in SSA is less, the gel network generated by geopolymer polymerization becomes sparse, and the mortar strength decreases.
- As modulus increases, the viscosity of solution increases and the fluidity decreases. Due to the introduction of more silicates, the later strength of mortar is improved. As Na2O content increases, the pozzolanic activity of SSA and GGBS can be better stimulated, the setting time is reduced, and the early strength of mortar is improved due to the accelerated polymerization reaction.
- Because alkali activators are expensive and have high carbon emissions, the maximum of geopolymer mortar is 33.95 CNY/m3/MPa, and the minimum is 16.21CNY/m3/MPa, which is at least 41.57% higher than that of OPC. The minimum is 6.24 kg/m3/MPa, while the maximum is 14.15 kg/m3/MPa, which is at least 21.39% lower than that of OPC.
- The weights of benefit, fresh performance, and mechanical performance in the comprehensive evaluation model are 26.62%, 18.69% and 54.69%. The optimal mix ratio is a water–cement ratio of 0.4, a cement–sand ratio of 1.0, SSA/GGBS of 2/8, a modulus of 1.4, and an Na2O content of 10%.
Author Contributions
Funding
Institutional Review Board Statement
Informed Consent Statement
Data Availability Statement
Acknowledgments
Conflicts of Interest
References
- Lynn, C.J.; Dhir, R.K.; Ghataora, G.S.; West, R.P. Sewage sludge ash characteristics and potential for use in concrete. Constr. Build. Mater. 2015, 98, 767–779. [Google Scholar] [CrossRef]
- Mikulcic, H.; Klemes, J.J.; Vujanovic, M.; Urbaniec, K.; Duic, N. Reducing greenhouse gasses emissions by fostering the deployment of alternative raw materials and energy sources in the cleaner cement manufacturing process. J. Clean. Prod. 2016, 136, 119–132. [Google Scholar] [CrossRef]
- Hao, Y.; Yang, G.; Liang, K. Development of fly ash and slag based high-strength alkali-activated foam concrete. Cem. Concr. Compos. 2022, 128, 104447. [Google Scholar] [CrossRef]
- Burduhos Nergis, D.D.; Vizureanu, P.; Sandu, A.V.; Burduhos Nergis, D.P.; Bejinariu, C. XRD and TG-DTA Study of New Phosphate-Based Geopolymers with Coal Ash or Metakaolin as Aluminosilicate Source and Mine Tailings Addition. Materials 2022, 15, 202. [Google Scholar] [CrossRef]
- Abdila, S.R.; Abdullah, M.M.A.B.; Ahmad, R.; Burduhos Nergis, D.D.; Rahim, S.Z.A.; Omar, M.F.; Sandu, A.V.; Vizureanu, P. Potential of Soil Stabilization Using Ground Granulated Blast Furnace Slag (GGBFS) and Fly Ash via Geopolymerization Method: A Review. Materials 2022, 15, 375. [Google Scholar] [CrossRef]
- Hassan, A.; Arif, M.; Shariq, M. Use of geopolymer concrete for a cleaner and sustainable environment—A review of mechanical properties and microstructure. J. Clean. Prod. 2019, 223, 704–728. [Google Scholar] [CrossRef]
- Mehta, A.; Siddique, R. An overview of geopolymers derived from industrial by-products. Constr. Build. Mater. 2016, 127, 183–198. [Google Scholar] [CrossRef]
- Tantawy, M.A.; El-Roudi, A.M.; Abdalla, E.M.; Abdelzaher, M.A. Evaluation of the pozzolanic activity of sewage sludge ash. ISRN Chem. Eng. 2012, 2012, 487037. [Google Scholar] [CrossRef]
- Waijarean, N.; Asavapisit, S.; Sombatsompop, K. Strength and microstructure of water treatment residue-based geopolymers containing heavy metals. Constr. Build. Mater. 2014, 50, 486–491. [Google Scholar] [CrossRef]
- Sitarz, M.; Zdeb, T.; Gomes, J.C.; Soares, E.G.; Hager, I. The immobilisation of heavy metals from sewage sludge ash in geopolymer mortars. In Proceedings of the 9th Scientific-Technical Conference on E-mobility, Sustainable Materials and Technologies (MATBUD), Cracow, Poland, 19–21 October 2020. [Google Scholar]
- Sun, S.; Lin, J.; Fang, L.; Ma, R.; Ding, Z.; Zhang, X.; Zhao, X.; Liu, Y. Formulation of sludge incineration residue based geopolymer and stabilization performance on potential toxic elements. Waste Manag. 2018, 77, 356–363. [Google Scholar] [CrossRef]
- Sun, S.; Lin, J.; Zhang, P.; Fang, L.; Ma, R.; Quan, Z.; Song, X. Geopolymer synthetized from sludge residue pretreated by the wet alkalinizing method: Compressive strength and immobilization efficiency of heavy metal. Constr. Build. Mater. 2018, 170, 619–626. [Google Scholar] [CrossRef]
- Li, Z.; Ohnuki, T.; Ikeda, K. Development of Paper Sludge Ash-Based Geopolymer and Application to Treatment of Hazardous Water Contaminated with Radioisotopes. Materials 2016, 9, 633. [Google Scholar] [CrossRef]
- Tashima, M.M.; Reig, L.; Santini, M.A., Jr.; Moraes, J.C.B.; Akasaki, J.L.; Paya, J.; Borrachero, M.V.; Soriano, L. Compressive Strength and Microstructure of Alkali-Activated Blast Furnace Slag/Sewage Sludge Ash (GGBS/SSA) Blends Cured at Room Temperature. Waste Biomass Valorization 2017, 8, 1441–1451. [Google Scholar] [CrossRef]
- Chakraborty, S.; Jo, B.W.; Jo, J.H.; Baloch, Z. Effectiveness of sewage sludge ash combined with waste pozzolanic minerals in developing sustainable construction material: An alternative approach for waste management. J. Clean. Prod. 2017, 153, 253–263. [Google Scholar] [CrossRef]
- Chen, Z.; Li, J.-S.; Zhan, B.-J.; Sharma, U.; Poon, C.S. Compressive strength and microstructural properties of dry-mixed geopolymer pastes synthesized from GGBS and sewage sludge ash. Constr. Build. Mater. 2018, 182, 597–607. [Google Scholar] [CrossRef]
- Yamaguchi, N.; Ikeda, K. Preparation of geopolymeric materials from sewage sludge slag with special emphasis to the matrix compositions. J. Ceram. Soc. Jpn. 2010, 118, 107–112. [Google Scholar] [CrossRef]
- Belmokhtar, N.; Ammari, M.; Brigui, J.; Ben Allal, L. Comparison of the microstructure and the compressive strength of two geopolymers derived from Metakaolin and an industrial sludge. Constr. Build. Mater. 2017, 146, 621–629. [Google Scholar] [CrossRef]
- Nimwinya, E.; Arjharn, W.; Horpibulsuk, S.; Phoo-ngernkham, T.; Poowancum, A. A sustainable calcined water treatment sludge and rice husk ash geopolymer. J. Clean. Prod. 2016, 119, 128–134. [Google Scholar] [CrossRef]
- Istuque, D.B.; Reig, L.; Moraes, J.C.B.; Akasaki, J.L.; Borrachero, M.V.; Soriano, L.; Payá, J.; Malmonge, J.A.; Tashima, M.M. Behaviour of metakaolin-based geopolymers incorporating sewage sludge ash (SSA). Mater. Lett. 2016, 180, 192–195. [Google Scholar] [CrossRef]
- Antunes Boca Santa, R.A.; Bernardin, A.M.; Riella, H.G.; Kuhnen, N.C. Geopolymer synthetized from bottom coal ash and calcined paper sludge. J. Clean. Prod. 2013, 57, 302–307. [Google Scholar] [CrossRef]
- Danish, A.; Ozbakkaloglu, T.; Mosaberpanah, M.A.; Salim, M.U.; Bayram, M.; Yeon, J.H.; Jafar, K. Sustainability benefits and commercialization challenges and strategies of geopolymer concrete: A review. J. Build. Eng. 2022, 58, 105005. [Google Scholar] [CrossRef]
- Kosior-Kazberuk, M. Application of SSA as Partial Replacement of Aggregate in Concrete. Pol. J. Environ. Stud. 2011, 20, 365–370. [Google Scholar]
- Wang, K.-S.; Tseng, C.-J.; Chiou, I.-J.; Shih, M.-H. The thermal conductivity mechanism of sewage sludge ash lightweight materials. Cem. Concr. Res. 2005, 35, 803–809. [Google Scholar] [CrossRef]
- Monzo, J.; Paya, J.; Borrachero, M.V.; Corcoles, A. Use of sewage sludge ash(SSA)-cement admixtures in mortars. Cem. Concr. Res. 1996, 26, 1389–1398. [Google Scholar] [CrossRef]
- Tay, J.H.; Yip, W.K. Sludge ash as lightweight concrete material. J. Environ. Eng. Asce 1989, 115, 56–64. [Google Scholar] [CrossRef]
- Bhatty, J.I.; Reid, K.J. Moderate strength concrete from lightweight sludge ash aggregates. Int. J. Cem. Compos. Lightweight Concr. 1989, 11, 179–187. [Google Scholar] [CrossRef]
- Yan, S.; Sagoe-Crentsil, K. Properties of wastepaper sludge in geopolymer mortars for masonry applications. J. Environ. Manag. 2012, 112, 27–32. [Google Scholar] [CrossRef]
- Huseien, G.F.; Mirza, J.; Ismail, M.; Hussin, M.W. Influence of different curing temperatures and alkali activators on properties of GBFS geopolymer mortars containing fly ash and palm-oil fuel ash. Constr. Build. Mater. 2016, 125, 1229–1240. [Google Scholar] [CrossRef]
- Yin, S.; Guan, H.; Hu, J.; Huang, H.; Yu, Q. Rheological Properties and Fluidity of Alkali-activated Ash-slag Grouting Material. J. South China Univ. Technol. 2019, 47, 120–128,135. [Google Scholar]
- Huseien, G.F.; Mirza, J.; Ismail, M.; Ghoshal, S.K.; Ariffin, M.A.M. Effect of metakaolin replaced granulated blast furnace slag on fresh and early strength properties of geopolymer mortar. Ain Shams Eng. J. 2018, 9, 1557–1566. [Google Scholar] [CrossRef]
- Zivica, V. Effects of type and dosage of alkaline activator and temperature on the properties of alkali-activated slag mixtures. Constr. Build. Mater. 2007, 21, 1463–1469. [Google Scholar] [CrossRef]
- Wang, J.; Han, L.; Liu, Z.; Wang, D. Setting controlling of lithium slag-based geopolymer by activator and sodium tetraborate as a retarder and its effects on mortar properties. Cem. Concr. Compos. 2020, 110, 103598. [Google Scholar] [CrossRef]
- Ren, X.; Zhang, L. Experimental study of interfacial transition zones between geopolymer binder and recycled aggregate. Constr. Build. Mater. 2018, 167, 749–756. [Google Scholar] [CrossRef]
- Duxson, P.; Provis, J.L.; Lukey, G.C.; van Deventer, J.S.J. The role of inorganic polymer technology in the development of ‘green concrete’. Cem. Concr. Res. 2007, 37, 1590–1597. [Google Scholar] [CrossRef]
- Silva, G.; Castañeda, D.; Kim, S.; Castañeda, A.; Bertolotti, B.; Ortega-San-Martin, L.; Nakamatsu, J.; Aguilar, R. Analysis of the production conditions of geopolymer matrices from natural pozzolana and fired clay brick wastes. Constr. Build. Mater. 2019, 215, 633–643. [Google Scholar] [CrossRef]
- Tuyan, M.; Andiç-Çakir, Ö.; Ramyar, K. Effect of alkali activator concentration and curing condition on strength and microstructure of waste clay brick powder-based geopolymer. Compos. Part B: Eng. 2018, 135, 242–252. [Google Scholar] [CrossRef]
- Criado, M.; Fernández-Jiménez, A.; Palomo, A.; Sobrados, I.; Sanz, J. Effect of the SiO2/Na2O ratio on the alkali activation of fly ash. Part II: 29Si MAS-NMR Survey. Microporous Mesoporous Mater. 2008, 109, 525–534. [Google Scholar] [CrossRef]
- Fernández-Jiménez, A.; Palomo, A.; Sobrados, I.; Sanz, J. The role played by the reactive alumina content in the alkaline activation of fly ashes. Microporous Mesoporous Mater. 2006, 91, 111–119. [Google Scholar] [CrossRef]
- Turner, L.K.; Collins, F.G. Carbon dioxide equivalent (CO2-e) emissions: A comparison between geopolymer and OPC cement concrete. Constr. Build. Mater. 2013, 43, 125–130. [Google Scholar] [CrossRef]
- Hong, J.; Chen, W.; Wang, Y.; Xu, C.; Xu, X. Life cycle assessment of caustic soda production: A case study in China. J. Clean. Prod. 2014, 66, 113–120. [Google Scholar] [CrossRef]
- Ma, C.; Zhao, B.; Guo, S.; Long, G.; Xie, Y. Properties and characterization of green one-part geopolymer activated by composite activators. J. Clean. Prod. 2019, 220, 188–199. [Google Scholar] [CrossRef]
- Ma, C.; Long, G.; Shi, Y.; Xie, Y. Preparation of cleaner one-part geopolymer by investigating different types of commercial sodium metasilicate in China. J. Clean. Prod. 2018, 201, 636–647. [Google Scholar] [CrossRef]
- Ali Shah, S.F.; Chen, B.; Ahmad, M.R.; Haque, M.A. Development of Cleaner One-part geopolymer from lithium slag. J. Clean. Prod. 2021, 291, 125241. [Google Scholar] [CrossRef]
- Gluckaufova, D. Multiple attribute decision-making—Methods and applications—A state-of-the-art survey-hwang,cl, yoon,ks. Ekon. Mat. Obz. 1984, 20, 104–105. [Google Scholar]
- Dai, L.; Wang, J. Evaluation of the Profitability of Power Listed Companies Based on Entropy Improved TOPSIS Method. Procedia Eng. 2011, 15, 4728–4732. [Google Scholar] [CrossRef]













| Indicators | SiO2 | Na2O | Solid Phase | Liquid Phase |
|---|---|---|---|---|
| Content | 27.64 | 8.83 | 36.47 | 63.53 |
| Materials | SSA | GGBS |
|---|---|---|
| SiO2 | 38.38 | 26.39 |
| Al2O3 | 18.45 | 24.06 |
| Fe2O3 | 8.16 | 0.73 |
| CaO | 4.69 | 33.49 |
| MgO | 3.15 | 7.53 |
| Na2O | 0.66 | 0.72 |
| TiO2 | 1.04 | 1.41 |
| P2O5 | 14.15 | 0.34 |
| Sample | SSA/GGBS | Modulus | Na2O Content | SSA | GGBS | Na2SiO3 | NaOH | H2O | Sand |
|---|---|---|---|---|---|---|---|---|---|
| A1 | 1/9 | 1.4 | 10% | 76.45 | 688.06 | 490.17 | 73.18 | 72.13 | 1000 |
| A2 | 2/8 | 1.4 | 10% | 152.90 | 611.61 | 490.17 | 73.18 | 72.13 | 1000 |
| A3 (B3, C3) | 3/7 | 1.4 | 10% | 229.35 | 535.16 | 490.17 | 73.18 | 72.13 | 1000 |
| A4 | 4/6 | 1.4 | 10% | 305.81 | 458.71 | 490.17 | 73.18 | 72.13 | 1000 |
| A5 | 5/5 | 1.4 | 10% | 382.26 | 382.26 | 490.17 | 73.18 | 72.13 | 1000 |
| B1 | 3/7 | 1.0 | 10% | 240.97 | 562.26 | 350.12 | 89.14 | 157.51 | 1000 |
| B2 | 3/7 | 1.2 | 10% | 235.16 | 548.71 | 420.15 | 81.16 | 114.82 | 1000 |
| B4 | 3/7 | 1.6 | 10% | 223.55 | 521.61 | 560.20 | 65.21 | 29.43 | 1000 |
| C1 | 3/7 | 1.4 | 6% | 257.61 | 601.10 | 294.10 | 43.91 | 203.28 | 1000 |
| C2 | 3/7 | 1.4 | 8% | 243.48 | 568.13 | 392.14 | 58.55 | 137.70 | 1000 |
| C4 | 3/7 | 1.4 | 12% | 215.23 | 502.19 | 588.21 | 87.82 | 6.55 | 1000 |
| Materials | Cost for One Ton (CNY) | CO2 Emission (kgCO2/m3) |
|---|---|---|
| SSA | 0 | 0.025 |
| GGBS | 550 | 0.143 [40] |
| Na2SiO3 | 2000 | 0.387 |
| NaOH | 900 | 1.59 [41] |
| H2O | 3.46 | 0.000148 |
| Sand | 100 | 0.00398 |
| Primary Indicators | Secondary Indicators | Variable | Unit | Attribute |
|---|---|---|---|---|
| Benefits | Cost | X11 | CNY/m3 | - |
| CO2 emission | X12 | kgCO2/m3 | - | |
| Fresh performance | Fluidity | X21 | mm | + |
| Setting time | X22 | min | + | |
| Mechanical performance | Compressive strength at 28d | X31 | MPa | + |
| Flexural strength at 28d | X32 | MPa | + | |
| Compressive strength at 7d | X33 | MPa | + | |
| Flexural strength at 7d | X34 | MPa | + | |
| Compressive strength at 3d | X35 | MPa | + | |
| Flexural strength at 3d | X36 | MPa | + |
| Sample | X11 | X12 | X21 | X22 | X31 | X32 | X33 | X34 | X35 | X36 |
|---|---|---|---|---|---|---|---|---|---|---|
| A1 | 1066.28 | 410.40 | 202 | 44 | 45.09 | 60.12 | 65.77 | 10.02 | 13.86 | 16.36 |
| A2 | 1024.21 | 401.37 | 190 | 57 | 40.26 | 52.59 | 62.04 | 8.76 | 12.79 | 15.48 |
| A3 | 982.19 | 392.35 | 167 | 78 | 32.32 | 39.46 | 52.26 | 6.58 | 10.57 | 11.83 |
| A4 | 940.11 | 383.33 | 139 | 43 | 24.65 | 30.02 | 40.98 | 5.00 | 8.20 | 9.37 |
| A5 | 898.09 | 374.31 | 105 | 26 | 16.61 | 20.46 | 26.45 | 3.41 | 5.38 | 5.43 |
| B1 | 903.10 | 367.59 | 186 | 50 | 37.56 | 41.00 | 46.69 | 6.72 | 9.36 | 9.61 |
| B2 | 942.67 | 380.03 | 178 | 63 | 34.40 | 43.93 | 54.47 | 7.20 | 9.87 | 12.65 |
| B4 | 1021.56 | 404.63 | 159 | 98 | 28.65 | 36.23 | 49.63 | 5.94 | 8.70 | 10.28 |
| C1 | 783.80 | 280.03 | 141 | 75 | 28.21 | 33.90 | 41.69 | 5.75 | 7.77 | 8.64 |
| C2 | 882.82 | 336.08 | 172 | 69 | 31.67 | 37.51 | 48.95 | 6.36 | 8.96 | 10.87 |
| C4 | 1081.21 | 448.41 | 154 | 85 | 35.67 | 40.56 | 46.95 | 6.88 | 9.18 | 10.24 |
| Index | Total | ||
|---|---|---|---|
| X11 | 0.885 | 15.42% | 26.62% |
| X12 | 0.916 | 11.20% | |
| X21 | 0.939 | 8.10% | 18.69% |
| X22 | 0.921 | 10.59% | |
| X31 | 0.941 | 7.94% | 54.69% |
| X32 | 0.929 | 9.57% | |
| X33 | 0.929 | 9.54% | |
| X34 | 0.928 | 9.68% | |
| X35 | 0.937 | 8.49% | |
| X36 | 0.929 | 9.47% |
| Materials | Rank | |||
|---|---|---|---|---|
| A1 | 0.515597 | 0.80035 | 0.608193 | 2 |
| A2 | 0.454622 | 0.706675 | 0.608522 | 1 |
| A3 | 0.496177 | 0.539081 | 0.520722 | 7 |
| A4 | 0.669104 | 0.345128 | 0.340285 | 10 |
| A5 | 0.889749 | 0.283107 | 0.241382 | 11 |
| B1 | 0.488341 | 0.548663 | 0.529084 | 6 |
| B2 | 0.444428 | 0.576844 | 0.564829 | 3 |
| B4 | 0.594678 | 0.500167 | 0.456838 | 8 |
| C1 | 0.530474 | 0.625433 | 0.541075 | 5 |
| C2 | 0.452038 | 0.567486 | 0.556619 | 4 |
| C4 | 0.648903 | 0.489812 | 0.430145 | 9 |
Disclaimer/Publisher’s Note: The statements, opinions and data contained in all publications are solely those of the individual author(s) and contributor(s) and not of MDPI and/or the editor(s). MDPI and/or the editor(s) disclaim responsibility for any injury to people or property resulting from any ideas, methods, instructions or products referred to in the content. |
© 2023 by the authors. Licensee MDPI, Basel, Switzerland. This article is an open access article distributed under the terms and conditions of the Creative Commons Attribution (CC BY) license (https://creativecommons.org/licenses/by/4.0/).
Share and Cite
Zhang, T.; Shi, X.; Wang, Q.; Peng, W. Comprehensive Evaluation of the Performance and Benefits of SSA–GGBS Geopolymer Mortar. Materials 2023, 16, 4137. https://doi.org/10.3390/ma16114137
Zhang T, Shi X, Wang Q, Peng W. Comprehensive Evaluation of the Performance and Benefits of SSA–GGBS Geopolymer Mortar. Materials. 2023; 16(11):4137. https://doi.org/10.3390/ma16114137
Chicago/Turabian StyleZhang, Tao, Xiaoshuang Shi, Qingyuan Wang, and Wenbin Peng. 2023. "Comprehensive Evaluation of the Performance and Benefits of SSA–GGBS Geopolymer Mortar" Materials 16, no. 11: 4137. https://doi.org/10.3390/ma16114137
APA StyleZhang, T., Shi, X., Wang, Q., & Peng, W. (2023). Comprehensive Evaluation of the Performance and Benefits of SSA–GGBS Geopolymer Mortar. Materials, 16(11), 4137. https://doi.org/10.3390/ma16114137

