Role of Lanthanides and Bilayer Fe2As2 in the Electronic Properties of RbLn2Fe4As4O2 (Ln = Gd, Tb, and Dy) Superconductors
Abstract
1. Introduction
2. Materials and Methods
2.1. Crystal Structure
2.2. Calculational Methods
3. Analysis and Discussion
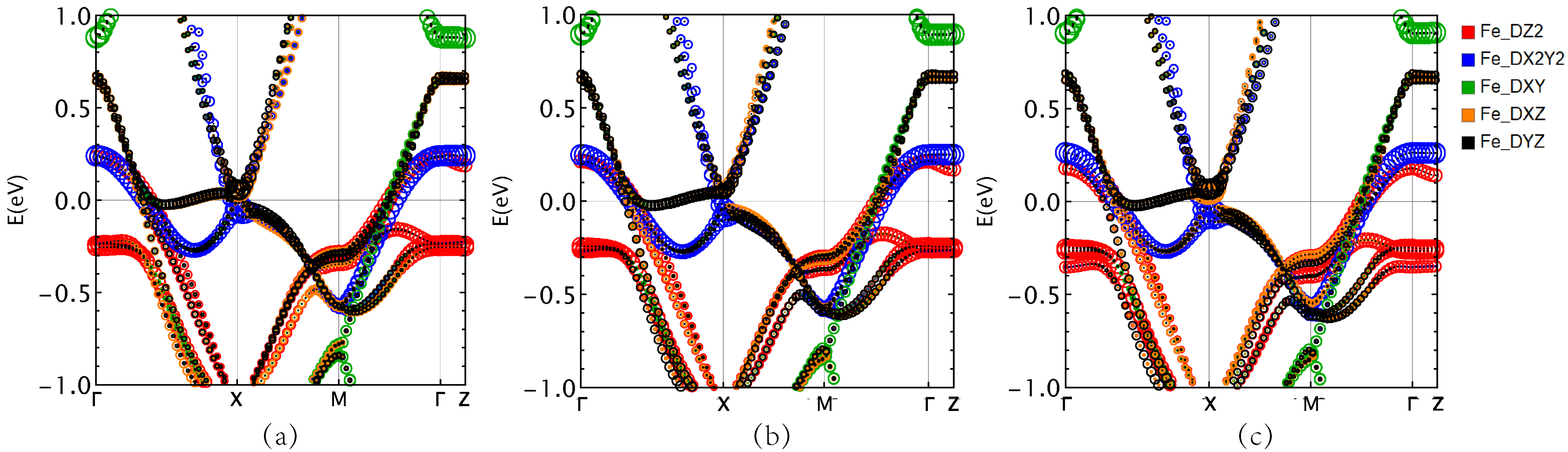
3.1. Nonmagnetic Phase
3.1.1. Minus LnO Layers
3.1.2. Dy vs. Gd and Tb
3.2. Ground State: In-Plane SAFM Phase
4. Discussion and Summary
Author Contributions
Funding
Institutional Review Board Statement
Informed Consent Statement
Data Availability Statement
Conflicts of Interest
References
- Askerzade, I. Unconventional Superconductors; Springer: Berlin/Heidelberg, Germany, 2012. [Google Scholar] [CrossRef]
- Huang, Y.N.; Pickett, W.E. Electronic Coupling between a FeSe Monolayer Film and SrTiO3 Substrate. Phys. Rev. B. 2017, 95, 165107. [Google Scholar] [CrossRef]
- Tapp, J.H.; Tang, Z.; Lv, B.; Sasmal, K.; Lorenz, B.; Chu, P.C.W.; Guloy, A.M. LiFeAs: An Intrinsic FeAs-based Superconductor withTc = 18 K. Phys. Rev. B Condens. Matter Mater. Phys. 2008, 78, 060505. [Google Scholar] [CrossRef]
- Alireza, P.L.; Ko, Y.T.C.; Gillett, J.; Petrone, C.M.; Cole, J.M.; Lonzarich, G.G.; Sebastian, S.E. Superconductivity up to 29 K in SrFe2As2 and BaFe2As2 at High Pressures. J. Phys. Condens. Matter 2009, 21, 012208. [Google Scholar] [CrossRef]
- Wang, F.; Yang, F.; Gao, M.; Lu, Z.Y.; Xiang, T.; Lee, D.H. The Electron Pairing of KxFe2-ySe2. EPL 2011, 93, 57003. [Google Scholar] [CrossRef]
- Boeri, L.; Dolgov, O.V.; Golubov, A.A. Is LaFeAsO1-xFx an Electron-Phonon Superconductor? Phys. Rev. Lett. 2008, 101, 026403. [Google Scholar] [CrossRef] [PubMed]
- Nitsche, F.; Jesche, A.; Hieckmann, E.; Doert, T.; Ruck, M. Structural Trends from a Consistent Set of Single-Crystal Data of RFeAsO (R = La, Ce, Pr, Nd, Sm, Gd, and Tb). Phys. Rev. B Condens. Matter Mater. Phys. 2010, 82, 134514. [Google Scholar] [CrossRef]
- Zhu, X.; Han, F.; Mu, G.; Zeng, B.; Cheng, P.; Shen, B.; Wen, H.H. Sr3Sc2Fe2As2O5 as a Possible Parent Compound for FeAs-based Superconductors. Phys. Rev. B Condens. Matter Mater. Phys. 2009, 79, 024516. [Google Scholar] [CrossRef]
- Sefat, A.S.; Singh, D.J.; Ovidiu Garlea, V.; Zuev, Y.L.; McGuire, M.A.; Sales, B.C. Variation of Physical Properties in the Nominal Sr4V2O6Fe2As2. Phys. C Supercond. 2011, 471, 143–149. [Google Scholar] [CrossRef]
- Zhi-Cheng, W.; Guang-Han, C. Self-Doped Iron-Based Superconductors with Intergrowth Structures. Acta Phys. Sin. 2018, 67, 207406. [Google Scholar] [CrossRef]
- Iyo, A.; Kawashima, K.; Kinjo, T.; Nishio, T.; Ishida, S.; Fujihisa, H.; Gotoh, Y.; Kihou, K.; Eisaki, H.; Yoshida, Y. New-Structure-Type Fe-based Superconductors: CaAFe4As4 (A = K, Rb, Cs) and SrAFe4As4 (A = Rb, Cs). J. Am. Chem. Soc. 2016, 138, 3410–3415. [Google Scholar] [CrossRef]
- Liu, Y.; Liu, Y.B.; Tang, Z.T.; Jiang, H.; Wang, Z.C.; Ablimit, A.; Jiao, W.H.; Tao, Q.; Feng, C.M.; Xu, Z.A.; et al. Superconductivity and Ferromagnetism in Hole-doped RbEuFe4As4. Phys. Rev. B. 2016, 93, 214503. [Google Scholar] [CrossRef]
- Jiang, H.; Sun, Y.L.; Xu, Z.A.; Cao, G.H. Crystal Chemistry and Structural Design of Iron-Based Superconductors. Chin. Phys. B 2013, 22, 087410. [Google Scholar] [CrossRef]
- Ghosh, A.; Ghosh, S.; Ghosh, H. Electron Correlation Induced Orbital Selective Lifshitz Transition in New Hybrid 12442 Iron Based Superconductors. Comput. Mater. Sci. 2020, 183, 109802. [Google Scholar] [CrossRef]
- Wu, S.Q.; Wang, Z.C.; He, C.Y.; Tang, Z.T.; Liu, Y.; Cao, G.H. Superconductivity at 33–37 K in ALn2Fe4As4O2(A = K and Cs; Ln = lanthanides). Phys. Rev. Mater. 2017, 1, 044804. [Google Scholar] [CrossRef]
- Kirschner, F.K.K.; Adroja, D.T.; Wang, Z.C.; Lang, F.; Smidman, M.; Baker, P.J.; Cao, G.H.; Blundell, S.J. Two-gap superconductivity with line nodes in CsCa2Fe4As4F2. Phys. Rev. B 2018, 97, 060506. [Google Scholar] [CrossRef]
- Komlev, A.S.; Gimaev, R.R.; Davydov, A.S.; Zverev, V.I. The influence of chemical impurities on the properties of heavy rare-earth metals (Tb, Dy, Ho): Experimental and theoretical approaches. Materialia 2021, 18, 101166. [Google Scholar] [CrossRef]
- Singh, B.; Kumar, P. Density functional study of ACa2Fe4As4F2 (A = K, Rb): Electronic structure, unconventional superconductors. In Proceedings of the 2018 National Conference on Advanced Materials and Nanotechnology (AMN-2018), Noida, India, 15–17 March 2018; AIP Conference Proceedings. Volume 2009, p. 020002. [Google Scholar] [CrossRef]
- Wang, Z.C.; He, C.Y.; Wu, S.Q.; Tang, Z.T.; Liu, Y.; Ablimit, A.; Feng, C.M.; Cao, G.H. Superconductivity in KCa2Fe4As4F2 with Separate Double Fe2As2 Layers. J. Am. Chem. Soc. 2016, 138, 7856–7859. [Google Scholar] [CrossRef]
- Pavlov, N.S.; Pervakov, K.S.; Nekrasov, I.A. Anomalous metallic oxygen band in the potential superconductor KCa2Fe4As4O2: A DFT study. Comput. Mater. Sci. 2023, 218, 111916. [Google Scholar] [CrossRef]
- Wang, Z.; Wang, G.; Tian, X. Electronic structure and magnetism of RbGd2Fe4As4O2. J. Alloys Compd. 2017, 708, 392–396. [Google Scholar] [CrossRef]
- Wang, Z.C.; He, C.Y.; Wu, S.Q.; Tang, Z.T.; Liu, Y.; Cao, G.H. Synthesis, Crystal Structure and Superconductivity in RbLn2Fe4As4O2 (Ln = Sm, Tb, Dy, and Ho). Chem. Mater. 2017, 29, 1805–1812. [Google Scholar] [CrossRef]
- Blaha, P.; Schwarz, K.; Tran, F.; Laskowski, R.; Madsen, G.K.H.; Marks, L.D. WIEN2k: An APW+lo Program for Calculating the Properties of Solids. J. Chem. Phys. 2020, 152, 074101. [Google Scholar] [CrossRef] [PubMed]
- Perdew, J.P.; Burke, K.; Ernzerhof, M. Generalized Gradient Approximation Made Simple. Phys. Rev. Lett. 1996, 77, 3865–3868. [Google Scholar] [CrossRef] [PubMed]
- Ameri, I.; Boularaf, A.; Drief, F.; Zaoui, A.; Kacimi, S. Ab-initio study of magnetic and electronic properties of the perovskites RFeO3: 4f-R valence electrons effects. J. Magn. Magn. Mater. 2021, 537, 168214. [Google Scholar] [CrossRef]
- Söderlind, P.; Turchi, P.; Landa, A.; Lordi, V. Ground-state properties of rare-earth metals: An evaluation of density-functional theory. J. Phys. Condens. Matter 2014, 26, 416001. [Google Scholar] [CrossRef]
- Kanoun, M.B.; Reshak, A.H.; Kanoun-Bouayed, N.; Goumri-Said, S. Evidence of Coulomb correction and spin-orbit coupling in rare-earth dioxides CeO2, PrO2 and TbO2: An ab initio study. J. Magn. Magn. Mater. 2012, 324, 1397–1405. [Google Scholar] [CrossRef]
- Jamnezhad, H.; Jafari, M. Structural, electronic, and optical properties of C-type Gd2O3: A density functional theory investigation. J. Comput. Electron. 2017, 16, 272–279. [Google Scholar] [CrossRef]
- Ma, F.; Lu, Z.Y. Iron-based layered compound LaFeAsO is an antiferromagnetic semimetal. Phys. Rev. B 2008, 78, 033111. [Google Scholar] [CrossRef]
- Ortenzi, L.; Gretarsson, H.; Kasahara, S.; Matsuda, Y.; Shibauchi, T.; Finkelstein, K.D.; Wu, W.; Julian, S.R.; Kim, Y.J.; Mazin, I.I.; et al. Structural Origin of the Anomalous Temperature Dependence of the Local Magnetic Moments in the CaFe2As2 Family of Materials. Phys. Rev. Lett. 2015, 114, 047001. [Google Scholar] [CrossRef]
- Huang, Y.N.; Liu, D.Y.; Zou, L.J.; Pickett, W.E. Role of Hydrogen in the Electronic Properties of CaFeAsH-based Superconductors. Phys. Rev. B. 2016, 93, 195148. [Google Scholar] [CrossRef]
- Huang, Y.N.; Yu, X.L.; Liu, D.Y.; Zou, L.J. Magnetism and Electronic Structures of Novel Layered CaFeAs2 and Ca0.75(Pr/La)0.25FeAs2. J. Appl. Phys. 2015, 117, 17E113. [Google Scholar] [CrossRef]
- Shimojima, T.; Ishizaka, K.; Ishida, Y.; Katayama, N.; Ohgushi, K.; Kiss, T.; Okawa, M.; Togashi, T.; Wang, X.Y.; Chen, C.T.; et al. Orbital-Dependent Modifications of Electronic Structure across the Magnetostructural Transition in BaFe2As2. Phys. Rev. Lett. 2010, 104, 057002. [Google Scholar] [CrossRef] [PubMed]







| Magnetic Structure | FM1 | FM2 | AFM1 | AFM2 | AFM3 | AFM4 | AFM5 | |
|---|---|---|---|---|---|---|---|---|
| (a) Relative energy (meV) | RbGdFeAsO | 0 | −11 | −429 | −239 | −6 | −27 | −8 |
| RbTbFeAsO | 0 | −81 | −478 | −218 | 156 | −44 | −6 | |
| RbDyFeAsO | 0 | −872 | −1236 | −1083 | −879 | −874 | −877 | |
| (b) Fe moment () | RbGdFeAsO | 0.80 | 0.83 | 2.02 | 2.07 | 0.85 | 0.81 | 0.84 |
| RbTbFeAsO | 0.81 | 0.83 | 1.98 | 2.06 | 0.90 | 0.84 | 0.87 | |
| RbDyFeAsO | 0.91 | 0.84 | 1.91 | 2.03 | 0.86 | 0.84 | 0.90 |
Disclaimer/Publisher’s Note: The statements, opinions and data contained in all publications are solely those of the individual author(s) and contributor(s) and not of MDPI and/or the editor(s). MDPI and/or the editor(s) disclaim responsibility for any injury to people or property resulting from any ideas, methods, instructions or products referred to in the content. |
© 2023 by the authors. Licensee MDPI, Basel, Switzerland. This article is an open access article distributed under the terms and conditions of the Creative Commons Attribution (CC BY) license (https://creativecommons.org/licenses/by/4.0/).
Share and Cite
Huang, Y.-N.; Liu, D.-Y.; Mei, H.-Y.; Han, L.; Yang, H.-P. Role of Lanthanides and Bilayer Fe2As2 in the Electronic Properties of RbLn2Fe4As4O2 (Ln = Gd, Tb, and Dy) Superconductors. Materials 2023, 16, 4123. https://doi.org/10.3390/ma16114123
Huang Y-N, Liu D-Y, Mei H-Y, Han L, Yang H-P. Role of Lanthanides and Bilayer Fe2As2 in the Electronic Properties of RbLn2Fe4As4O2 (Ln = Gd, Tb, and Dy) Superconductors. Materials. 2023; 16(11):4123. https://doi.org/10.3390/ma16114123
Chicago/Turabian StyleHuang, Yi-Na, Da-Yong Liu, Hong-Ying Mei, Li Han, and Huan-Ping Yang. 2023. "Role of Lanthanides and Bilayer Fe2As2 in the Electronic Properties of RbLn2Fe4As4O2 (Ln = Gd, Tb, and Dy) Superconductors" Materials 16, no. 11: 4123. https://doi.org/10.3390/ma16114123
APA StyleHuang, Y.-N., Liu, D.-Y., Mei, H.-Y., Han, L., & Yang, H.-P. (2023). Role of Lanthanides and Bilayer Fe2As2 in the Electronic Properties of RbLn2Fe4As4O2 (Ln = Gd, Tb, and Dy) Superconductors. Materials, 16(11), 4123. https://doi.org/10.3390/ma16114123

