Polysiloxanes and Silanes with Various Functional Groups—New Compounds for Flax Fibers’ Modification
Abstract
1. Introduction
2. Materials and Methods
2.1. Materials
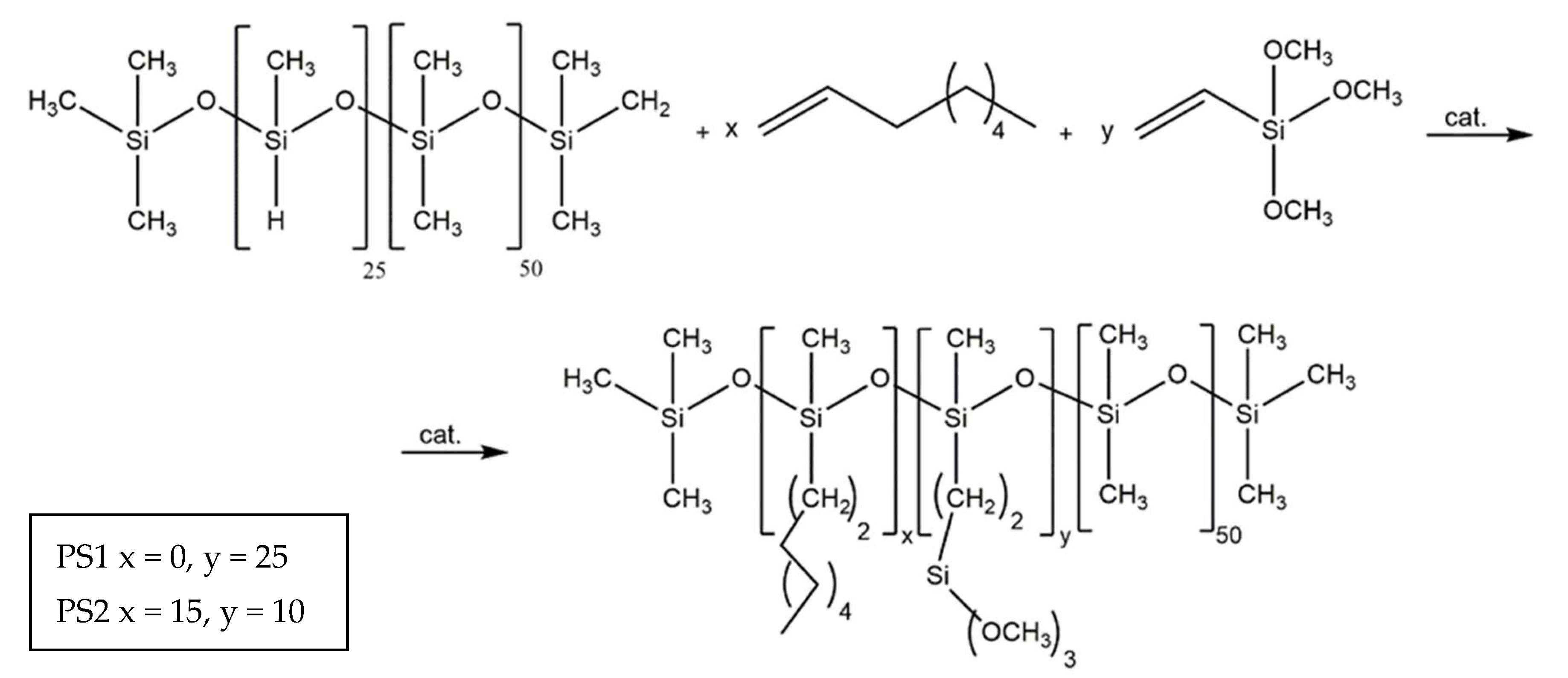
2.2. Synthesis of Polysiloxanes
2.3. Fibers Preparation and Modification
2.3.1. Mercerization
2.3.2. Modification with Silanes
2.3.3. Modifiaction with Polysiloxanes
2.4. Test Methods
2.4.1. Fourier Transform Infrared Spectrometry (FTIR) Analysis
2.4.2. Nuclear Magnetic Resonance Spectroscopy (NMR)
2.4.3. Thermal Stability Tests
2.4.4. Flammability Tests
2.4.5. Scanning Electron Microscopy
3. Results
3.1. Results of Polysiloxanes Synthesis
- (a)
- PS1 x = 0, y = 25 Yield = 93%1H NMR (C6D6, 298 K, 300 MHz) (ppm): 0.14 (CH3); 0.64, 1.15 (CH2); 3.60 (OCH3);13C NMR (C6D6, 298 K, 75.5 MHz) (ppm): 0.5 (CH3); 1.0 (CH3); 8.2 (CH2Si); 50.5 (OCH3);29Si NMR (C6D6, 298 K, 59.6 MHz) (ppm): 7.2 (Si(CH3)3); −21.9 (Si(CH3)2); −22.7 (Si(CH2)CH3); −41.0 (Si(OCH3)3)
- (b)
- PS2 x = 15, y = 10 Yield = 92%1H NMR (C6D6, 298 K, 300 MHz) (ppm): 0,07 (Si(CH3)3); 0.1 (SiCH3); 0.55 (SiCH2); 0.91 (CH2CH3); 1.29 (CH2); 1.31 (CH2); 3.59 (54H, OCH3);13C NMR (C6D6, 298 K, 75.5 MHz) (ppm): 0.5 (CH3); 1.0 (CH3); 8.2 (CH2Si); 14.1 (CH3); 17.5 (CH2Si); 22.7 (CH2); 23.0 (CH2); 29.3 (CH2); 29.4 (CH2); 31.9 (CH2); 33.4 (CH2); 50.5 (OCH3);29Si NMR (C6D6, 298 K, 59.6 MHz) (ppm): 7.2 (Si(CH3)3); −22.0 (Si(CH3)2); −22.2 (Si(CH2)CH3); −41.5 (Si(OCH3)3).
3.2. Results of Flax Fibers
3.2.1. Scanning Electron Microscopy Images of Flax Fibers
3.2.2. FTIR Tests
3.2.3. Thermal Stability Tests of Flax Fibers
3.2.4. Microcalorimeter Tests of Flax Fibers
4. Conclusions
- The successful synthesis of polysiloxanes was performed and confirmed by FTIR and NMR results;
- SEM photos of the fibers showed that they were cleaned because of mercerization and their diameter was reduced, and during silanization, were covered with a thin, uniform layer of silicon compounds;
- FTIR analysis showed that stable bonds between silanes or polysiloxanes and fibers were formed because of the modification;
- A two-step modification of flax fibers (Na OH treatment and then modification with polysiloxanes) increased the thermal stability of the fibers and increased the temperature of the initial fiber decomposition;
- Improvement of flammability properties was also obtained for the modifications with aminosilane and difunctional polysiloxane with a long alkyl chain.
Author Contributions
Funding
Institutional Review Board Statement
Informed Consent Statement
Data Availability Statement
Conflicts of Interest
References
- Hasan, A.; Rabbi, M.S.; Billah, M.M. Making the lignocellulosic fibers chemically compatible for composite: A comprehensive review. Clean. Mater. 2022, 4, 100078. [Google Scholar] [CrossRef]
- Ray, D.; Sarkar, B.K.; Rana, A.K.; Bose, N.R. The mechanical properties of vinylester resin matrix composites reinforced with alkali-treated jute fibers. Compos. A Appl. Sci. Manuf. 2001, 32, 119–127. [Google Scholar] [CrossRef]
- Tserki, V.; Zafeiropoulos, N.E.; Simon, F.; Panayiotou, C. A study of the effect of acetylation and propionylation surface treatments on natural fibers. Compos. A Appl. Sci. Manuf. 2005, 36, 1110–1118. [Google Scholar] [CrossRef]
- Li, X.; Tabil, L.G.; Panigrahi, S. Chemical treatments of natural fiber for use in natural fiber-reinforced composites: A review. J. Polym. Environ. 2007, 15, 25–33. [Google Scholar] [CrossRef]
- Nair, K.M.; Thomas, S.; Groeninckx, G. Thermal and dynamic mechanical analysis of polystyrene composites reinforced with short sisal fibers. Compos. Sci. Technol. 2001, 61, 2519–2529. [Google Scholar] [CrossRef]
- Pradeep, S.A.; Rodríguez, L.J.; Kousaalya, A.B.; Farahani, S.; Orrego, C.E.; Pilla, S. Effect of silane-treated pine wood fiber (PWF) on thermal and mechanical properties of partially biobased composite foams. Compos. C Open Access 2022, 8, 100278. [Google Scholar] [CrossRef]
- Fuqua, M.A.; Huo, S.; Ulven, C.A. Natural fiber reinforced composites. Polym. Rev. 2012, 52, 259–320. [Google Scholar] [CrossRef]
- Datta, J.; Kopczyńska, P. Effect of kenaf fibre modification on morphology and mechanical properties of thermoplastic polyurethane materials. Ind. Crops Prod. 2015, 74, 566–576. [Google Scholar] [CrossRef]
- Freddi, G.; Innocenti, R.; Arai, T.; Shiozaki, H.; Tsukada, M. Physical properties of wool fibers modified with isocyanate compounds. J. Appl. Polym. Sci. 2003, 89, 1390–1396. [Google Scholar] [CrossRef]
- De Prez, J.; Van Vuure, A.W.; Ivens, J.; Aerts, G.; Van De Voorde, I. Effect of enzymatic treatment of flax on fineness of fibers and mechanical performance of composites. Compos. A Appl. Sci. Manuf. 2019, 123, 190–199. [Google Scholar] [CrossRef]
- Doczekalska, B.; Borysiak, S. WAXS studies of Salix viminalis wood susceptibility to alkali treatment. Fibres Text. East. Eur. 2008, 6, 95–100. [Google Scholar]
- Doczekalska, B.; Zborowska, M. Wood chemical composition of selected fast growing species treated with NaOH. Part I: Structural substances. Wood Res. 2010, 55, 41–48. [Google Scholar]
- Iannace, S.; Ali, R.; Nicolais, L. Effect of processing conditions on dimensions of sisal fibers in thermoplastic biodegradable composites. J. Appl. Polym. Sci. 2001, 79, 1084–1091. [Google Scholar] [CrossRef]
- Ali, A.; Shaker, K.; Nawab, Y.; Jabbar, M.; Hussain, T.; Militky, J.; Baheti, V. Hydrophobic treatment of natural fibers and their composites—A review. J. Ind. Text. 2018, 47, 2153–2183. [Google Scholar] [CrossRef]
- Mishra, S.; Misra, M.; Tripathy, S.S.; Nayak, S.K.; Mohanty, A.K. Graft copolymerization of acrylonitrile on chemically modified sisal fibers. Macromol. Mater. Eng. 2001, 286, 107–113. [Google Scholar] [CrossRef]
- Symington, M.C.; Banks, W.M.; West, O.D.; Pethrick, R.A. Tensile testing of cellulose based natural fibers for structural composite applications. J. Compos. Mater. 2009, 43, 1083–1108. [Google Scholar] [CrossRef]
- Dan, Y.; Popowski, Y.; Buzhor, M.; Menashe, E.; Rachmani, O. Amir, Covalent surface modification of cellulose-based textiles for oil–water separation applications. Ind. Eng. Chem. 2020, 59, 5456–5465. [Google Scholar] [CrossRef]
- Xie, Y.; Hill, C.A.S.; Xiao, Z.; Militz, H.; Mai, C. Silane coupling agents used for natural fiber/polymer composites: A review. Compos. A Appl. Sci. Manuf. 2010, 41, 806–819. [Google Scholar] [CrossRef]
- Xue, C.H.; Jia, S.T.; Zhang, J.; Tian, L.Q. Superhydrophobic surfaces on cotton textiles by complex coating of silica nanoparticles and hydrophobization. Thin Solid Films 2009, 517, 4593–4598. [Google Scholar] [CrossRef]
- Sun, S.; Qiu, Y. Influence of moisture on wettability and sizing properties of raw cotton yarns treated with He/O2 atmospheric pressure plasma jet. Surf. Coat. Technol. 2012, 206, 2281–2286. [Google Scholar] [CrossRef]
- Przybylak, M.; Maciejewski, H.; Dutkiewicz, A.; Dąbek, I.; Nowicki, M. Fabrication of superhydrophobic cotton fabrics by a simple chemical modification. Cellulose 2016, 23, 2185–2197. [Google Scholar] [CrossRef]
- Przybylak, M.; Maciejewski, H.; Dutkiewicz, A.; Walentowska, J.; Foksowicz-Flaczyk, J. Development of multifunctional cotton fabrics using difunctional polysiloxanes. Cellulose 2018, 25, 1483–1497. [Google Scholar] [CrossRef]
- Gieparda, W.; Rojewski, S.; Wüstenhagen, S.; Kicinska-Jakubowska, A.; Krombholz, A. Chemical modification of natural fibers to epoxy laminate for lightweight constructions. Compos. A Appl. Sci. Manuf. 2021, 140, 106171. [Google Scholar] [CrossRef]
- Gieparda, W.; Rojewski, S.; Różańska, W. Effectiveness of Silanization and Plasma Treatment in the Improvement of Selected Flax Fibers’ Properties. Materials 2021, 14, 3564. [Google Scholar] [CrossRef] [PubMed]
- Fisher, T.; Hajaligol, M.; Waymack, B.; Kellogg, D. Pyrolysis behavior and kinetics of biomass derived materials. J. Anal. Appl. Pyrol. 2002, 62, 331–349. [Google Scholar] [CrossRef]
- Zhou, F.; Cheng, G.; Jiang, B. Effect of silane treatment on microstructure of sisal fibers. Appl. Surf. Sci. 2014, 292, 806–812. [Google Scholar] [CrossRef]
- Puglia, D.; Monti, M.; Santulli, C.; Sarasini, F.; De Rosa, I.M.; Kenny, J.M. Effect of alkali and silane treatments on mechanical and thermal behavior of Phormium tenax fibers. Fibers Polym. 2013, 14, 423–427. [Google Scholar] [CrossRef]
- Liu, Y.; Lv, X.; Bao, J.; Xie, J.; Tang, X.; Che, J.; Ma, Y.; Tong, J. Characterization of silane treated and untreated natural cellulosic fiber from corn stalk waste as potential reinforcement in polymer composites. Carbohydr. Polym. 2019, 218, 179–187. [Google Scholar] [CrossRef]
- Belgacem, M.N.; Gandini, A. The surface modification of cellulose fibers for use as reinforcing elements in composite materials. Compos. Interfaces 2005, 12, 41–75. [Google Scholar] [CrossRef]
- Kabir, M.; Wang, H.; Lau, K.; Cardona, F. Tensile properties of chemically treated hemp fibers as reinforcement for composites. Compos. B Eng. 2013, 53, 362–368. [Google Scholar] [CrossRef]
- Szymanska-Chargot, M.; Chylinska, M.; Kruk, B.; Zdunek, A. Combining FTIR spectroscopy and multivariate analysis for qualitative and quantitative analysis of the cell wall composition changes during apples development. Carbohydr. Polym. 2015, 115, 93–103. [Google Scholar] [CrossRef] [PubMed]
- Liu, X.; Renard, C.M.G.C.; Bureau, S.; Le Bourvellec, C. Revisiting the Contribution of ATR-FTIR Spectroscopy to Characterize Plant Cell Wall Polysaccharides. Carbohydr. Polym. 2021, 262, 117935. [Google Scholar] [CrossRef] [PubMed]
- Anu;Kumar, A.; Rapoport, A.; Kunze, G.; Kumar, S.; Singh, D.; Singh, B. Multifarious pretreatment strategies for the lignocellulosic substrates for the generation of renewable and sustainable biofuels: A review. Renew. Energy 2020, 160, 1228–1252. [Google Scholar] [CrossRef]
- Sun, X.F.; Xu, F.; Sun, R.C.; Fowler, P.; Baird, M.S. Characteristics of degraded cellulose obtained from steam-exploded wheat straw. Carbohydr. Res. 2005, 340, 97–106. [Google Scholar] [CrossRef]
- Seki, Y. Innovative multifunctional siloxane treatment of jute fiber surface and its effect on the mechanical properties of jute/thermoset composites. Mater. Sci. Eng. A 2009, 508, 247–252. [Google Scholar] [CrossRef]
- Yang, H.; Yan, R.; Chen, H.; Lee, D.H.; Zheng, C. Characteristics of Hemicellulose, Cellulose and Lignin Pyrolysis. Fuel 2007, 86, 1781–1788. [Google Scholar] [CrossRef]
- Rachini, A.; Le Troedec, M.; Peyratout, C.; Smith, A. Comparison of the Thermal Degradation of Natural, Alkali-Treated and Silane-Treated Hemp Fibers under Air and an Inert Atmosphere. J. Appl. Polym. Sci. 2009, 112, 226–234. [Google Scholar] [CrossRef]
- Dorez, G.; Otazaghine, B.; Taguet, A.; Ferry, L.; Lopez-Cuesta, J.M. Use of Py-GC/MS and PCFC to characterize the surface modification of flax fibers. J. Anal. Appl. Pyrol. 2014, 105, 122–130. [Google Scholar] [CrossRef]
- Sonnier, R.; Otazaghine, B.; Viretto, A.; Apolinario, G.; Ienny, P. Improving the flame retardancy of flax fabrics by radiation grafting of phosphorus compounds. Eur. Polym. J. 2015, 68, 313–325. [Google Scholar] [CrossRef]
- Bocz, K.; Szolnoki, B.; Marosi, A.; Tábi, T.; Wladyka-Przybylak, M.; Marosi, G. Flax fiber reinforced PLA/TPS biocomposites flame retarded with multifunctional additive system. Polym. Degrad. Stab. 2014, 106, 63–73. [Google Scholar] [CrossRef]
- Bocz, K.; Szolnoki, B.; Wladyka-Przybylak, M.; Bujnowicz, K.; Harakály, G.; Bodzay, B.; Zimonyi, E.; Toldy, A.; Marosi, G. Flame retardancy of biocomposites based on thermoplastic starch. Polimery 2013, 58, 385–394. [Google Scholar] [CrossRef]
- Arbelaiz, A.; Fernandez, B.; Ramos, J.A.; Mondragon, I. Thermal and crystallization studies of short flax fiber reinforced polypropylene matrix composites: Effect of treatments. Thermochim. Acta 2006, 440, 111–121. [Google Scholar] [CrossRef]










| Modifier | Abbrev. | Chemical Formula |
|---|---|---|
| N-(2-Aminoethyl)-3-aminopropyltrimethoxysilane | 15 | ![]() |
| vinyltrimethoxysilane | 611 | ![]() |
| Polysiloxane with alkoxy groups | PS1 | ![]() z = 50, y = 25, x = 0 |
| Difunctional polysiloxane with alkoxy groups and alkyl chains | PS2 | ![]() z = 50, y = 10, x = 15, R = (CH2)7CH3 |
| Sample Code | Type of Modification |
|---|---|
| F | Untreated flax fiber |
| F15 | Flax fiber + N-(2-Aminoethyl)-3-aminopropyltrimethoxysilane |
| F611 | Flax fiber + vinyl trimethoxysilane |
| FPS1 | Flax fiber + polysiloxane with alkoxy groups |
| FPS2 | Flax fiber + difunctional polysiloxane with alkoxy groups and alkyl chains |
| FPS1ip | Flax fiber + polysiloxane with alkoxy groups (isopropanol as a solvent) |
| FPS2ip | Flax fiber + difunctional polysiloxane with alkoxy groups and alkyl chains (isopropanol as a solvent) |
| FM | Flax fiber + mercerization |
| FM15 | Flax fiber + mercerization + N-(2-Aminoethyl)-3-aminopropyltrimethoxysilane |
| FM611 | Flax fiber + mercerization + vinyl trimethoxysilane |
| FMPS1 | Flax fiber + mercerization + polysiloxane with alkoxy groups |
| FMPS2 | Flax fiber + mercerization + difunctional polysiloxane with alkoxy groups and alkyl chains |
| FMPS1ip | Flax fiber + mercerization + polysiloxane with alkoxy groups (isopropanol as a solvent) |
| FMPS2ip | Flax fiber + mercerization + difunctional polysiloxane with alkoxy groups and alkyl chains (isopropanol as a solvent) |
| Sample | Tonset | DTG Peak | Stage Imass loss | Stage II | Stage III | Stage IV | Residue | |||
|---|---|---|---|---|---|---|---|---|---|---|
| Start Temp. | Mass Loss | Start Temp. | Mass Loss | Start Temp. | Mass Loss | at 700 °C | ||||
| [°C] | [%·°C−1] | [%] | [°C] | [%] | [°C] | [%] | [°C] | [%] | [%] | |
| F | 333 | 363 | 5.29 | 213 | 10.21 | 313 | 58.73 | 389 | 8.79 | 16.98 |
| F15 | 334 | 362 | 5.28 | 176 | 11.58 | 312 | 45.27 | 390 | 13.94 | 23.93 |
| F611 | 336 | 360 | 5.71 | 202 | 9.3 | 321 | 54.43 | 384 | 11.2 | 19.36 |
| FPS1 | 336 | 363 | 6.24 | 206 | 9.47 | 319 | 49.09 | 390 | 13.28 | 21.92 |
| FPS1ip | 333 | 363 | 5.87 | 195 | 9.22 | 314 | 50.19 | 390 | 12.72 | 22 |
| FPS2 | 338 | 363 | 5.92 | 210 | 6.63 | 318 | 53.86 | 393 | 13.75 | 19.84 |
| FPS2ip | 333 | 362 | 4.95 | 188 | 7.27 | 305 | 46.91 | 391 | 19.23 | 21.64 |
| FM | 338 | 367 | 6.04 | 218 | 7.22 | 316 | 63.9 | 391 | 8.28 | 14.56 |
| FM15 | 330 | 366 | 6.66 | 179 | 12.49 | 311 | 41.48 | 391 | 14.73 | 24.64 |
| FM611 | 342 | 362 | 5.85 | 227 | 6.32 | 318 | 59.33 | 386 | 10.92 | 17.58 |
| FMPS1 | 342 | 365 | 5.35 | 226 | 6.14 | 317 | 54.35 | 388 | 12.59 | 21.57 |
| FMPS1ip | 341 | 367 | 5.61 | 226 | 7.58 | 320 | 54.23 | 389 | 12.13 | 20.45 |
| FMPS2 | 342 | 364 | 5.56 | 223 | 9.44 | 320 | 52.53 | 391 | 14.03 | 18.44 |
| FMPS2ip | 341 | 367 | 5 | 220 | 6.08 | 312 | 51.92 | 390 | 16.49 | 20.51 |
Disclaimer/Publisher’s Note: The statements, opinions and data contained in all publications are solely those of the individual author(s) and contributor(s) and not of MDPI and/or the editor(s). MDPI and/or the editor(s) disclaim responsibility for any injury to people or property resulting from any ideas, methods, instructions or products referred to in the content. |
© 2023 by the authors. Licensee MDPI, Basel, Switzerland. This article is an open access article distributed under the terms and conditions of the Creative Commons Attribution (CC BY) license (https://creativecommons.org/licenses/by/4.0/).
Share and Cite
Gieparda, W.; Przybylak, M.; Rojewski, S.; Doczekalska, B. Polysiloxanes and Silanes with Various Functional Groups—New Compounds for Flax Fibers’ Modification. Materials 2023, 16, 3839. https://doi.org/10.3390/ma16103839
Gieparda W, Przybylak M, Rojewski S, Doczekalska B. Polysiloxanes and Silanes with Various Functional Groups—New Compounds for Flax Fibers’ Modification. Materials. 2023; 16(10):3839. https://doi.org/10.3390/ma16103839
Chicago/Turabian StyleGieparda, Weronika, Marcin Przybylak, Szymon Rojewski, and Beata Doczekalska. 2023. "Polysiloxanes and Silanes with Various Functional Groups—New Compounds for Flax Fibers’ Modification" Materials 16, no. 10: 3839. https://doi.org/10.3390/ma16103839
APA StyleGieparda, W., Przybylak, M., Rojewski, S., & Doczekalska, B. (2023). Polysiloxanes and Silanes with Various Functional Groups—New Compounds for Flax Fibers’ Modification. Materials, 16(10), 3839. https://doi.org/10.3390/ma16103839





