CSRR Structure Design for NV Spin Manipulation with Microwave Strength and Fluorescence Collection Synchronous Enhancement
Abstract
1. Introduction
2. Nitrogen Vacancy and Complementary Split Ring Resonator
3. Results and Discussion
3.1. Simulation and Preliminary Characterization
3.2. Characterization of Fluorescence Collection Efficiency Improvement
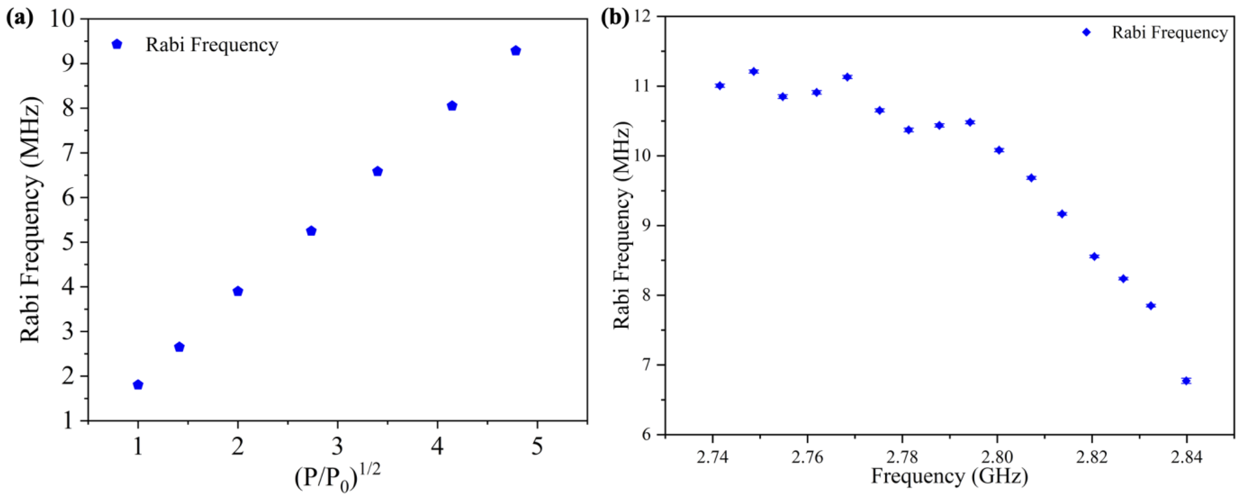
3.3. Characterization of Microwave Strength and Uniformity with CSRR
4. Conclusions
Author Contributions
Funding
Institutional Review Board Statement
Informed Consent Statement
Data Availability Statement
Conflicts of Interest
References
- Gali, Á. Ab initio theory of the nitrogen-vacancy center in diamond. Nanophotonics 2019, 8, 1907. [Google Scholar] [CrossRef]
- Alkauskas, A.; Buckley, B.B.; Awschalom, D.D. and Van de Walle, C.G. First-principles theory of the lumi-nescence lineshape for the triplet transition in diamond NV centres. New J. Phys. 2014, 16, 073026. [Google Scholar] [CrossRef]
- Bayat, K.; Choy, J.; Farrokh Baroughi, M.; Meesala, S.; Loncar, M. Efficient, Uniform, and Large Area Microwave Magnetic Coupling to NV Centers in Diamond Using Double Split-Ring Resonators. Nano Lett. 2014, 14, 1208. [Google Scholar] [CrossRef] [PubMed]
- Angerer, A.; Astner, T.; Wirtitsch, D.; Sumiya, H.; Onoda, S.; Isoya, J.; Putz, S.; Majer, J. Collective strong coupling with homogeneous Rabi frequencies using a 3D lumped element microwave resonator. Appl. Phys. Lett. 2016, 109, 033508. [Google Scholar] [CrossRef]
- Zhang, N.; Yuan, H.; Zhang, C.; Xu, L.; Zhang, J.; Bian, G.; Fan, P.; Yuan, H.; Fang, J. Microwave Field Uniformity Impact on DC Magnetic Sensing with NV Ensembles in Diamond. IEEE Sens. J. 2019, 19, 451. [Google Scholar] [CrossRef]
- Akhmedzhanov, R.; Gushchin, L.; Nizov, N.; Nizov, V.; Sobgayda, D.; Zelensky, I.; Hemmer, P. Microwave-free magnetometry based on cross-relaxation resonances in diamond nitrogen-vacancy centers. Phys. Rev. A 2017, 96, 013806. [Google Scholar] [CrossRef]
- Goldman, M.L.; Patti, T.L.; Levonian, D.; Yelin, S.F.; Lukin, M.D. Optical Control of a Single Nuclear Spin in the Solid State. Phys. Rev. Lett. 2020, 124, 153203. [Google Scholar] [CrossRef]
- Paone, D.; Pinto, D.; Kim, G.; Feng, L.; Kim, M.-J.; Stöhr, R.; Singha, A.; Kaiser, S.; Logvenov, G.; Keimer, B.; et al. All-optical and microwave-free detection of Meissner screening using nitrogen-vacancy centers in diamond. J. Appl. Phys. 2021, 129, 024306. [Google Scholar] [CrossRef]
- Zhang, C.; Shagieva, F.; Widmann, M.; Kübler, M.; Vorobyov, V.; Kapitanova, P.; Nenasheva, E.; Corkill, R.; Rhrle, O.; Nakamura, K.; et al. Diamond Magnetometry and Gradiometry Towards Subpicotesla dc Field Measurement. Phys. Rev. Appl. 2021, 15, 064075. [Google Scholar] [CrossRef]
- Weggler, T.; Ganslmayer, C.; Frank, F.; Eilert, T.; Jelezko, F.; Michaelis, J. Determination of the Three-Dimensional Magnetic Field Vector Orientation with Nitrogen Vacany Centers in Diamond. Nano Lett. 2020, 20, 2980–2985. [Google Scholar] [CrossRef]
- Liu, Y.-X.; Ajoy, A.; Cappellaro, P. Nanoscale Vector dc Magnetometry via Ancilla-Assisted Frequency Up-Conversion. Phys. Rev. Lett. 2019, 122, 100501. [Google Scholar] [CrossRef]
- Wang, Z.; Kong, F.; Zhao, P.; Huang, Z.; Yu, P.; Wang, Y.; Shi, F.; Du, J. Picotesla magne-tometry of microwave fields with diamond sensors. Sci. Adv. 2022, 8, eabq8158. [Google Scholar] [CrossRef]
- Meinel, J.; Vorobyov, V.; Yavkin, B.; Dasari, D.; Sumiya, H.; Onoda, S.; Isoya, J.; Wrachtrup, J. Heterodyne sensing of microwaves with a quantum sensor. Nat. Commun. 2021, 12, 2737. [Google Scholar] [CrossRef]
- Cerrillo, J.; Casado, S.O.; Prior, J. Low Field Nano-NMR via Three-Level System Control. Phys. Rev. Lett. 2021, 126, 220402. [Google Scholar] [CrossRef]
- Kong, F.; Zhao, P.; Yu, P.; Qin, Z.; Huang, Z.; Wang, Z.; Wang, M.; Shi, F.; Du, J. Kilohertz electron paramagnetic resonance spectroscopy of single nitrogen centers at zero magnetic field. Sci. Adv. 2020, 6, eaaz8244. [Google Scholar] [CrossRef]
- Glenn, D.R.; Bucher, D.B.; Lee, J.; Lukin, M.D.; Park, H.; Walsworth, R.L. High-resolution magnetic resonance spectroscopy using a solid-state spin sensor. Nature 2018, 555, 351. [Google Scholar] [CrossRef]
- Rondin, L.; Tetienne, J.-P.; Hingant, T.; Roch, J.-F.; Maletinsky, P.; Jacques, V. Magnetometry with nitrogen-vacancy defects in diamond. Rep. Prog. Phys. 2014, 77, 056503. [Google Scholar] [CrossRef]
- Wan, N.H.; Shields, B.; Kim, D.; Mouradian, S.; Lienhard, B.; Walsh, M.; Bakhru, H.; Schröder, T.; Englund, D. Efficient Extraction of Light from a Nitrogen-Vacancy Center in a Diamond Parabolic Reflector. Nano Lett. 2018, 18, 2787–2793. [Google Scholar] [CrossRef]
- Karamlou, A.; Trusheim, M.E.; Englund, D. Metal-dielectric antennas for efficient photon collection from diamond color centers. Opt. Express 2018, 26, 3341–3352. [Google Scholar] [CrossRef]
- Le Sage, D.; Pham, L.M.; Bar-Gill, N.; Belthangady, C.; Lukin, M.D.; Yacoby, A.; Walsworth, R.L. Efficient photon detection from color centers in a diamond optical waveguide. Phys. Rev. B 2012, 85, 121202. [Google Scholar] [CrossRef]
- Shalaginov, M.Y.; Bogdanov, S.I.; Lagutchev, A.S.; Kildishev, A.V.; Boltasseva, A.; Shalaev, V.M. On-Chip Single-Layer Integration of Diamond Spins with Microwave and Plasmonic Channels. ACS Photonics 2020, 7, 2018–2026. [Google Scholar] [CrossRef]
- Ma, Z.; Zhang, S.; Fu, Y.; Yuan, H.; Shi, Y.; Gao, J.; Qin, L.; Tang, J.; Liu, J.; Li, Y. Magnetometry for precision measurement using frequency-modulation microwave combined efficient photon-collection technique on an ensemble of nitrogen-vacancy centers in diamond. Opt. Express 2018, 26, 382–390. [Google Scholar] [CrossRef] [PubMed]
- Wu, W.J.; Zhao, W.S.; Wang, D.W.; Yuan, B.; Wang, G. Ultrahigh-Sensitivity Microwave Microfluidic Sensors Based on Modified Complementary Electric-LC and Split-Ring Resonator Structures. IEEE Sens. J. 2021, 21, 18756. [Google Scholar] [CrossRef]
- Nitas, M.; Yioultsis, T.V. Characterization of Edge-Coupled Broadside- Coupled and Complementary Split-Ring Resonator Periodic Media Based on Numerical Solutions of Eigenvalue Problems. IEEE Trans. Microw. Theory Tech. 2021, 69, 5259–5269. [Google Scholar] [CrossRef]
- Haq, T.; Ruan, C.; Ullah, S.; Fahad, A.K. Dual Notch Microwave Sensors Based on Complementary Metamaterial Resonators. IEEE Access 2019, 7, 153489. [Google Scholar] [CrossRef]
- Falcone, F.; Lopetegi, T.; Laso, M.A.G.; Baena, J.D.; Bonache, J.; Beruete, M.; Marqués, R.; Martín, F.; Sorolla, M. Babinet Principle Applied to the Design of Metasurfaces and Metamaterials. Phys. Rev. Lett. 2004, 93, 197401. [Google Scholar] [CrossRef]
- Xing, Q.; Wang, C.; Huang, S.; Liu, T.; Xie, Y.; Song, C.; Wang, F.; Li, X.; Zhou, L.; Yan, H. Tunable Graphene Split-Ring Resonators. Phys. Rev. Appl. 2020, 13, 041006. [Google Scholar] [CrossRef]
- Tsai, W.; Chung, T.L.; Hsiao, H.; Chen, J.; Lin, R.J.; Wu, P.C.; Sun, G.; Wang, C.; Misawa, H.; Tsai, D.P. Second Harmonic Light Manipulation with Vertical Split Ring Resonators. Adv. Mater. 2018, 31, e1806479. [Google Scholar] [CrossRef]
- Soshenko, V.V.; Bolshedvorskii, S.V.; Rubinas, O.; Sorokin, V.N.; Smolyaninov, A.N.; Vorobyov, V.V.; Akimov, A.V. Nuclear Spin Gyroscope based on the Nitrogen Vacancy Center in Diamond. Phys. Rev. Lett. 2021, 126, 197702. [Google Scholar] [CrossRef]
- Yu, H.; Xie, Y.; Zhu, Y.; Rong, X.; Du, J. Enhanced sensitivity of the nitrogen-vacancy ensemble magnetometer via surface coating. Appl. Phys. Lett. 2020, 117, 204002. [Google Scholar] [CrossRef]
- Gotze, A.; Striegler, N.; Marshall, A.; Neumann, P.; Giese, C.; Quellmalz, P.; Knittel, P. Preferential Placement of Aligned Nitrogen Vacancy Centers in Chemical Vapor Deposition Overgrown Diamond Microstructures. Phys. Status Solidi RRL 2012, 16, 2100373. [Google Scholar] [CrossRef]
- Parashar, M.; Shishir, D.; Bathla, A.; Gokhale, A.; Bandyopadhyay, S.; Saha, K. Lock-in Detection based Dynamic Widefield Mag-netometry using Quantum Defects in Diamond. Sci. Rep. 2022, 12, 8743. [Google Scholar] [CrossRef]
- Mariani, G.; Nomoto, S.; Kashiwaya, S.; Nomura, S. System for the remote control and imaging of MW fields for spin ma-nipulation in NV centers in diamond. Sci. Rep. 2020, 10, 4813. [Google Scholar] [CrossRef]








| Parameter | Value (mm) |
|---|---|
| εr | 4.3 |
| h_pcb | 1.6 |
| l_pcb | 49.4 |
| w_pcb | 65 |
| w_w | 0.6 |
| w_line | 3.2 |
| l_line | 16.3 |
| w_s | 1.5 |
| r0 | 1.5 |
| w_r | 1.3 |
Disclaimer/Publisher’s Note: The statements, opinions and data contained in all publications are solely those of the individual author(s) and contributor(s) and not of MDPI and/or the editor(s). MDPI and/or the editor(s) disclaim responsibility for any injury to people or property resulting from any ideas, methods, instructions or products referred to in the content. |
© 2023 by the authors. Licensee MDPI, Basel, Switzerland. This article is an open access article distributed under the terms and conditions of the Creative Commons Attribution (CC BY) license (https://creativecommons.org/licenses/by/4.0/).
Share and Cite
Gao, Y.; Guo, H.; Wen, H.; Li, Z.; Ma, Z.; Tang, J.; Liu, J. CSRR Structure Design for NV Spin Manipulation with Microwave Strength and Fluorescence Collection Synchronous Enhancement. Materials 2023, 16, 3718. https://doi.org/10.3390/ma16103718
Gao Y, Guo H, Wen H, Li Z, Ma Z, Tang J, Liu J. CSRR Structure Design for NV Spin Manipulation with Microwave Strength and Fluorescence Collection Synchronous Enhancement. Materials. 2023; 16(10):3718. https://doi.org/10.3390/ma16103718
Chicago/Turabian StyleGao, Yanjie, Hao Guo, Huanfei Wen, Zhonghao Li, Zongmin Ma, Jun Tang, and Jun Liu. 2023. "CSRR Structure Design for NV Spin Manipulation with Microwave Strength and Fluorescence Collection Synchronous Enhancement" Materials 16, no. 10: 3718. https://doi.org/10.3390/ma16103718
APA StyleGao, Y., Guo, H., Wen, H., Li, Z., Ma, Z., Tang, J., & Liu, J. (2023). CSRR Structure Design for NV Spin Manipulation with Microwave Strength and Fluorescence Collection Synchronous Enhancement. Materials, 16(10), 3718. https://doi.org/10.3390/ma16103718

