Modelling Fibre-Reinforced Concrete for Predicting Optimal Mechanical Properties
Abstract
1. Introduction
2. Materials and Methods
2.1. Materials
2.2. Sample Preparation
2.3. Mechanical Tests
2.3.1. Compressive Strength Test
2.3.2. Flexural Strength Test
2.4. Pre-Processing the Data for the Empirical Model
Multiple Linear Regression Method
2.5. Methods for Evaluating the Accuracy of the Prediction Model
- Mean absolute percentage error (MAPE): this is one of the most common metrics used to measure the forecasting accuracy of a model, as shown in Equation (2). The purpose of the MAPE formula is to gauge how different the measured value is from the exact value [63].where, is sum, is the sample size, actual is the actual data value, and forecast is the data value forecast.
- Mean squared error (MSE) is another common metric used to measure the prediction accuracy of a model [64]. MSE is calculated as shown in Equation (3):where, is sum, is the sample size, actual is the actual data value, and forecast is the data value forecast.
3. Identification the Parameters of Numerical Model
3.1. Description of the Numerical Model
3.2. Concrete Mesh Convergence Analysis
4. Results and Discussion
4.1. Influence of Fibres Parameters on Compressive Strength

4.2. Influence of Fibres Parameters on Flexural Strength

4.3. Numerical Model
4.3.1. Numerical Analysis of Flexural Strength
4.3.2. Numerical Analysis of Compressive Strength
4.4. Comparison between the Numerical Model and Experimental Results
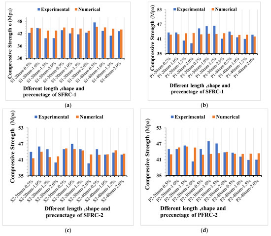
4.4.1. Compressive Strength

| Mixes of Concrete | Elastic Modulus of Fibre Types (MPa) | Tensile Strength of Different Type Shape (MPa) | Fibres Length (mm) | Percentage of Fibre (%) | Compressive Strength Experimental | Compressive Strength Numerical (MPa) | (MSE) Numerical and Experimental | (MAPE) Numerical and Experimental |
|---|---|---|---|---|---|---|---|---|
| (MPa) | ||||||||
| SFRC-1 | 200,000 | 800 | 20 | 0.5 | 42.33 | 44.53 | 1.48 | 4.94 |
| SFRC-1 | 200,000 | 800 | 20 | 1 | 44.7 | 45.84 | 1.07 | 2.49 |
| SFRC-1 | 200,000 | 800 | 20 | 1.5 | 39.73 | 43.50 | 1.94 | 8.67 |
| SFRC-1 | 200,000 | 800 | 20 | 2 | 39.8 | 42.50 | 1.64 | 6.35 |
| SFRC-1 | 200,000 | 800 | 30 | 0.5 | 43.67 | 45.02 | 1.16 | 3.00 |
| SFRC-1 | 200,000 | 800 | 30 | 1 | 42.13 | 44.00 | 1.37 | 4.25 |
| SFRC-1 | 200,000 | 800 | 30 | 1.5 | 41.63 | 44.00 | 1.54 | 5.39 |
| SFRC-1 | 200,000 | 800 | 30 | 2 | 42.47 | 43.36 | 0.94 | 2.05 |
| SFRC-1 | 200,000 | 800 | 40 | 0.5 | 47.47 | 46.34 | 1.06 | −2.44 |
| SFRC-1 | 200,000 | 800 | 40 | 1 | 43.33 | 44.40 | 1.03 | 2.41 |
| SFRC-1 | 200,000 | 800 | 40 | 1.5 | 41 | 43.40 | 1.55 | 5.53 |
| SFRC-1 | 200,000 | 800 | 40 | 2 | 43.2 | 42.00 | 1.10 | −2.86 |
| PFRC-1 | 7000 | 465 | 20 | 0.5 | 43.63 | 45.00 | 1.17 | 3.04 |
| PFRC-1 | 7000 | 465 | 20 | 1 | 43.63 | 44.91 | 1.13 | 2.85 |
| PFRC-1 | 7000 | 465 | 20 | 1.5 | 40.33 | 43.29 | 1.72 | 6.84 |
| PFRC-1 | 7000 | 465 | 20 | 2 | 39.24 | 43.41 | 2.04 | 9.61 |
| PFRC-1 | 7000 | 465 | 30 | 0.5 | 45.3 | 46.87 | 1.25 | 3.35 |
| PFRC-1 | 7000 | 465 | 30 | 1 | 46.23 | 47.09 | 0.93 | 1.83 |
| PFRC-1 | 7000 | 465 | 30 | 1.5 | 46.37 | 46.00 | 0.61 | −0.80 |
| PFRC-1 | 7000 | 465 | 30 | 2 | 41.1 | 43.37 | 1.51 | 5.23 |
| PFRC-1 | 7000 | 465 | 40 | 0.5 | 44 | 44.60 | 0.77 | 1.35 |
| PFRC-1 | 7000 | 465 | 40 | 1 | 41.67 | 42.62 | 0.97 | 2.23 |
| PFRC-1 | 7000 | 465 | 40 | 1.5 | 41 | 42.71 | 1.31 | 4.00 |
| PFRC-1 | 7000 | 465 | 40 | 2 | 42.7 | 43.00 | 0.55 | 0.70 |
| PFRC-2 | 7000 | 552 | 20 | 0.5 | 45 | 46.04 | 1.02 | 2.26 |
| PFRC-2 | 7000 | 552 | 20 | 1 | 45 | 45.60 | 0.77 | 1.32 |
| PFRC-2 | 7000 | 552 | 20 | 1.5 | 46.33 | 46.00 | 0.57 | −0.72 |
| PFRC-2 | 7000 | 552 | 20 | 2 | 40.33 | 44.00 | 1.92 | 8.34 |
| PFRC-2 | 7000 | 552 | 30 | 0.5 | 45.01 | 45.90 | 0.94 | 1.94 |
| PFRC-2 | 7000 | 552 | 30 | 1 | 48 | 45.17 | 1.68 | −6.27 |
| PFRC-2 | 7000 | 552 | 30 | 1.5 | 47.1 | 47.45 | 0.59 | 0.74 |
| PFRC-2 | 7000 | 552 | 30 | 2 | 43.77 | 44.00 | 0.48 | 0.52 |
| PFRC-2 | 7000 | 552 | 40 | 0.5 | 43.67 | 44.20 | 0.73 | 1.20 |
| PFRC-2 | 7000 | 552 | 40 | 1 | 42.17 | 43.15 | 0.99 | 2.27 |
| PFRC-2 | 7000 | 552 | 40 | 1.5 | 40.9 | 42.20 | 1.14 | 3.08 |
| PFRC-2 | 7000 | 552 | 40 | 2 | 41 | 43.42 | 1.56 | 5.57 |
| SFRC-2 | 200,000 | 1150 | 20 | 0.5 | 44 | 44.58 | 0.76 | 1.30 |
| SFRC-2 | 200,000 | 1150 | 20 | 1 | 46 | 45.04 | 0.98 | −2.13 |
| SFRC-2 | 200,000 | 1150 | 20 | 1.5 | 45 | 45.50 | 0.71 | 1.10 |
| SFRC-2 | 200,000 | 1150 | 20 | 2 | 40 | 41.30 | 1.14 | 3.15 |
| SFRC-2 | 200,000 | 1150 | 30 | 0.5 | 45 | 46.26 | 1.12 | 2.72 |
| SFRC-2 | 200,000 | 1150 | 30 | 1 | 47 | 47.04 | 0.20 | 0.09 |
| SFRC-2 | 200,000 | 1150 | 30 | 1.5 | 45 | 45.54 | 0.73 | 1.19 |
| SFRC-2 | 200,000 | 1150 | 30 | 2 | 39.67 | 42.05 | 1.54 | 5.66 |
| SFRC-2 | 200,000 | 1150 | 40 | 0.5 | 45 | 45.00 | 0.00 | 0.00 |
| SFRC-2 | 200,000 | 1150 | 40 | 1 | 43 | 43.08 | 0.28 | 0.19 |
| SFRC-2 | 200,000 | 1150 | 40 | 1.5 | 43.77 | 44.58 | 0.90 | 1.82 |
| SFRC-2 | 200,000 | 1150 | 40 | 2 | 43 | 43.33 | 0.57 | 0.76 |


4.4.2. Flexural Strength


5. Development of Khan Khalel Model
Validation of Khan Khalel Model with Numerical Results
| Mixes of Concrete | Elastic Modulus of Fibre Types (MPa) | Tensile Strength of Different Fibres Shape (MPa) | Fibres Length (mm) | Percentage of Fibre % | Compressive Strength Khan Khalel (MPa) | Compressive Strength Numerical (MPa) | (MSE) Numerical and Khan Khalel | (MAPE) Numerical and Khan Khalel |
|---|---|---|---|---|---|---|---|---|
| SFRC-1 | 200,000 | 1150 | 25 | 1.25 | 43.75 | 47.67 | 15 | 8.93 |
| SFRC-2 | 200,000 | 800 | 25 | 1.25 | 41.98 | 45.90 | 15 | 8.75 |
| PFRC-1 | 70,000 | 465 | 25 | 1.25 | 42.31 | 45.80 | 12 | 7.61 |
| PFRC-2 | 7000 | 552 | 25 | 1.25 | 43.62 | 45.70 | 4 | 4.56 |
| SFRC-1 | 200,000 | 1150 | 35 | 1.75 | 43.5 | 47.80 | 14 | 8.69 |
| SFRC-2 | 200,000 | 800 | 35 | 1.75 | 42.11 | 45.27 | 10 | 6.97 |
| PFRC-1 | 7000 | 465 | 35 | 1.75 | 43.47 | 45.70 | 5 | 4.89 |
| PFRC-2 | 7000 | 552 | 35 | 1.75 | 43.85 | 45.60 | 3 | 3.84 |
| Mixes of Concrete | Elastic Modulus of Fibre Types (MPa) | Tensile Strength of Different Type Shape (MPa) | Fibres Length (mm) | Percentage of Fibres (%) | Flexural Strength Khan Khalel (MPa) | Flexural Strength Numerical (MPa) | (MSE) Numerical and Khan Khalel | (MAPE) Numerical and Khan Khalel |
|---|---|---|---|---|---|---|---|---|
| SFRC-1 | 200,000 | 1150 | 25 | 0.0125 | 5.62 | 6.49 | 0.76 | 13.42 |
| SFRC-2 | 200,000 | 800 | 25 | 0.0125 | 5.56 | 6.49 | 0.86 | 14.29 |
| PFRC-1 | 70,000 | 465 | 25 | 0.0125 | 5.52 | 6.22 | 0.49 | 11.24 |
| PFRC-2 | 7000 | 552 | 25 | 0.0125 | 5.53 | 6.30 | 0.59 | 12.20 |
| SFRC-1 | 200,000 | 1150 | 35 | 0.0175 | 5.68 | 6.28 | 0.36 | 9.61 |
| SFRC-2 | 200,000 | 800 | 35 | 0.0175 | 5.62 | 6.49 | 0.76 | 13.40 |
| PFRC-1 | 7000 | 465 | 35 | 0.0175 | 5.58 | 6.30 | 0.53 | 11.54 |
| PFRC-2 | 7000 | 552 | 35 | 0.0175 | 5.59 | 6.28 | 0.47 | 10.97 |
6. Conclusions
- The proposed model can facilitate the users in the construction industry to select an optimal set of fibre properties during reinforcement. The model can be used to predict concrete behaviour with elastic fibre properties and any given physical shape and dimensions;
- The given results show a good agreement with a numerical model where error represents the challenges in reinforcement such as ideal mixing and distribution of fibres in concrete, difficulty in finding the interfacial properties of fibres with concrete constituents and difficulty in finding the plastic behaviour on compressive and flexural testing machines;
- Compared to previous studies, interesting results are obtained. The overall variation in the test results ranges from 3.84 to 12%. It is quite acceptable, especially in the presence of extensive diversity in test specimens, materials, loading configurations, experimental methodologies, and test arrangements [98,99];
- The empirical model prediction accuracy is measured with R2 = 0.997, MSE = 8.21, and MAPE = 5.93%, and can be used as a compressive strength prediction tool for FRC. In regard to flexural strength, existing literature models predict with a prediction accuracy measured as R2 ranging from 0.78 to 0.87 and MAPE ranging from 6.15 to 17.9 [100]. However, our presented model can more accurately predict flexural strength and its accuracy is measured as R2 = 0.996, MSE = 0.64 and MAPE = 12%;
- The proposed model has used elastic modulus for material input selection and hence predominantly considers linear elastic behaviour in FRC during tests. However, a use of plasticity correction on this input can represent the complex nonlinear relationship between the various input variables and properties of FRC. The different shapes and more dimensions of the fibre should also be considered. This will be considered as a change to be implemented in future work.
Author Contributions
Funding
Institutional Review Board Statement
Informed Consent Statement
Data Availability Statement
Conflicts of Interest
Abbreviations
| ANN | Artificial neural network |
| IST | Inter-face shear transfer |
| SCC | Self compacting concrete |
| PP | Polypropylene |
| MLR | Multiple Linear regression |
| SFRC-1 | Steel fibre reinforced concrete (Straight): Novocon® XR-1050 |
| SFRC-2 | Steel fibre reinforced concrete (Crimped): Novocon® FE-1050 |
| PFRC-1 | Plastic fibre reinforced concrete (Macro/Monofilament): Enduro® Mirage |
| PFRC-2 | Plastic fibre reinforced concrete (Crimped): Enduro® Fibre high-performance polymer (HPP) |
| Elastic and plastic strains | |
| Uniaxial compressive and tensile damage variables | |
| Function of stress state | |
| Initial elasticity matrix | |
| Total and plastic strain tensor, respectively | |
| Mises equivalent effective stress | |
| Hydrostatic stress | |
| Maximum principal effective stress | |
| : | Uniaxial compressive and tensile stresses |
| Equiaxial compressive yield stress | |
| Ratio of second stress invariant on the tensile meridian to that on the compressive one | |
| Dilation angle | |
| Eccentricity that defines the rate at which the function approaches the asymptote | |
| Potential flow function | |
| Elastic modulus | |
| (C.S) | Compressive strength |
| (F.S) | Flexural strength |
Appendix A

References
- Mehta, P.K. Concrete. Structure, Properties and Materials; Prentice-Hall: Englewood Cliffs, NJ, USA, 1986. [Google Scholar]
- Connolly, N.D.B. Introduction. America’s Playground. In A World More Concrete; University of Chicago Press: Chicago, IL, USA, 2014; pp. 1–16. [Google Scholar]
- Zhang, Z.; Provis, J.L.; Reid, A.; Wang, H. Geopolymer foam concrete: An emerging material for sustainable construction. Constr. Build. Mater. 2014, 56, 113–127. [Google Scholar] [CrossRef]
- Khalel, H.; Khan, M.; Starr, A.; Khan, K.A.; Muhammad, A. Performance of engineered fibre reinforced concrete (EFRC) under different load regimes: A review. Constr. Build. Mater. 2021, 306, 124692. [Google Scholar] [CrossRef]
- Zhang, Z.; Zhu, Y.; Zhu, H.; Zhang, Y.; Provis, J.L.; Wang, H. Effect of drying procedures on pore structure and phase evolution of alkali-activated cements. Cem. Concr. Compos. 2019, 96, 194–203. [Google Scholar] [CrossRef]
- Madhavi, T.C.; Raju, L.S.; Mathur, D. Polypropylene fiber reinforced concrete—A review. Int. J. Emerg. Technol. Adv. Eng. 2014, 4, 114–118. [Google Scholar]
- Jamshaid, H.; Mishra, R.K.; Raza, A.; Hussain, U.; Rahman, L.; Nazari, S.; Chandan, V.; Muller, M.; Choteborsky, R. Natural Cellulosic Fiber Reinforced Concrete: Influence of Fiber Type and Loading Percentage on Mechanical and Water Absorption Performance. Materials 2022, 15, 874. [Google Scholar] [CrossRef]
- Zhang, J.; Liu, X.; Wu, Z.; Yu, H.; Fang, Q. Fracture properties of steel fiber reinforced concrete: Size effect study via mesoscale modelling approach. Eng. Fract. Mech. 2021, 260, 108193. [Google Scholar] [CrossRef]
- Amran, M.; Fediuk, R.; Abdelgader, H.S.; Murali, G.; Ozbakkaloglu, T.; Lee, Y.Y. Fiber-reinforced alkali-activated concrete: A review. J. Build. Eng. 2021, 45, 103638. [Google Scholar] [CrossRef]
- Khalel, H.; Khan, M.; Starr, A.; Sadawi, N. Weighted Scale-Based Parametric Analysis for the Optimization of Fibre-Reinforced Concrete Properties. SSRN 4033140. [CrossRef]
- Olivito, R.; Zuccarello, F. An experimental study on the tensile strength of steel fiber reinforced concrete. Compos. Part B Eng. 2010, 41, 246–255. [Google Scholar] [CrossRef]
- Kang, S.-T.; Lee, Y.; Park, Y.-D.; Kim, J.-K. Tensile fracture properties of an Ultra High Performance Fiber Reinforced Concrete (UHPFRC) with steel fiber. Compos. Struct. 2010, 92, 61–71. [Google Scholar] [CrossRef]
- Henry, M.; Pardo, G.; Nishimura, T.; Kato, Y. Balancing durability and environmental impact in concrete combining low-grade recycled aggregates and mineral admixtures. Resour. Conserv. Recycl. 2011, 55, 1060–1069. [Google Scholar] [CrossRef]
- Rizzuti, L.; Bencardino, F. Effects of fibre volume fraction on the compressive and flexural experimental behaviour of SFRC. Contemp. Eng. Sci. 2014, 7, 379–390. [Google Scholar] [CrossRef]
- Lee, S.-C.; Oh, J.-H.; Cho, J.-Y. Compressive Behavior of Fiber-Reinforced Concrete with End-Hooked Steel Fibers. Materials 2015, 8, 1442–1458. [Google Scholar] [CrossRef]
- Tran, N.P.; Gunasekara, C.; Law, D.W.; Houshyar, S.; Setunge, S.; Cwirzen, A. Comprehensive review on sustainable fiber reinforced concrete incorporating recycled textile waste. J. Sustain. Cem. Mater. 2021, 11, 28–42. [Google Scholar] [CrossRef]
- Wang, L.; Guo, F.X.; Yang, H.M.; Wang, Y.; Tang, S.W. Comparison of FLY ASH, PVA Fiber, MgO and Shrinkage-reducing Admixture on the Frost Resistance of Face Slab Concrete via Pore Structural and Fractal Analysis. Fractals 2021, 29, 2140002. [Google Scholar] [CrossRef]
- Wang, L.; Zeng, X.; Li, Y.; Yang, H.; Tang, S. Influences of MgO and PVA Fiber on the Abrasion and Cracking Resistance, Pore Structure and Fractal Features of Hydraulic Concrete. Fractal Fract. 2022, 6, 674. [Google Scholar] [CrossRef]
- Congro, M.; Sanchez, E.C.M.; Roehl, D.; Marangon, E. Fracture modeling of fiber reinforced concrete in a multiscale approach. Compos. Part B Eng. 2019, 174, 106958. [Google Scholar] [CrossRef]
- Hassanzadeh-Aghdam, M.K.; Mahmoodi, M.J.; Safi, M. Effect of adding carbon nanotubes on the thermal conductivity of steel fiber-reinforced concrete. Compos. Part B Eng. 2019, 174, 106972. [Google Scholar] [CrossRef]
- Hamoda, A.; Emara, M.; Mansour, W. Behavior of steel I-beam embedded in normal and steel fiber reinforced concrete incorporating demountable bolted connectors. Compos. Part B Eng. 2019, 174, 106996. [Google Scholar] [CrossRef]
- Li, Y.; Ruan, X.; Akiyama, M.; Zhang, M.; Xin, J.; Lim, S. Modelling method of fibre distribution in steel fibre reinforced concrete based on X-ray image recognition. Compos. Part B Eng. 2021, 223, 109124. [Google Scholar] [CrossRef]
- El-Mir, A.; Assaad, J.J.; Nehme, S.G.; El-Hassan, H. Correlating strength and durability to time-temperature profiles of high-performance mass concrete. Case Stud. Constr. Mater. 2022, 16, e01055. [Google Scholar] [CrossRef]
- Ali, A.A.; Al-Attar, T.S.; Abbas, W.A. A Statistical Model to Predict the Strength Development of Geopolymer Concrete Based on SiO2/Al2O3 Ratio Variation. Civ. Eng. J. 2022, 8, 454–471. [Google Scholar] [CrossRef]
- Feng, W.; Wang, Y.; Sun, J.; Tang, Y.; Wu, D.; Jiang, Z.; Wang, J.; Wang, X. Prediction of thermo-mechanical properties of rubber-modified recycled aggregate concrete. Constr. Build. Mater. 2021, 318, 125970. [Google Scholar] [CrossRef]
- Ferreira, S.L.C.; Bruns, R.E.; Ferreira, H.S.; Matos, G.D.; David, J.M.; Brandão, G.C.; da Silva, E.G.P.; Portugal, L.A.; dos Reis, P.S.; Souza, A.S.; et al. Box-Behnken design: An alternative for the optimization of analytical methods. Anal. Chim. Acta 2007, 597, 179–186. [Google Scholar] [CrossRef]
- Mohamed, O.A.; Masood, S.H.; Bhowmik, J.L. Analytical Modelling and Optimization of the Temperature-Dependent Dynamic Mechanical Properties of Fused Deposition Fabricated Parts Made of PC-ABS. Materials 2016, 9, 895. [Google Scholar] [CrossRef]
- Manohar, T.S.M.; Joseph, J. Application of Box Behnken design to optimize the parameters for turning Inconel 718 using coated carbide tools. Int. J. Sci. Eng. Res. 2013, 4, 620–642. [Google Scholar]
- Liu, H.; Liu, S.; Wang, S.; Gao, X.; Gong, Y. Effect of Mix Proportion Parameters on Behaviors of Basalt Fiber RPC Based on Box-Behnken Model. Appl. Sci. 2019, 9, 2031. [Google Scholar] [CrossRef]
- Sultana, N.; Hossain, S.Z.; Alam, S.; Islam, M.; Al Abtah, M.A. Soft computing approaches for comparative prediction of the mechanical properties of jute fiber reinforced concrete. Adv. Eng. Softw. 2020, 149, 102887. [Google Scholar] [CrossRef]
- Muthukumar, M.; Mohan, D.; Rajendran, M. Optimization of mix proportions of mineral aggregates using Box Behnken design of experiments. Cem. Concr. Compos. 2003, 25, 751–758. [Google Scholar] [CrossRef]
- Yıldızel, S.A.; Öztürk, A.U. A study on the estimation of prefabricated glass fiber reinforced concrete panel strength values with an artificial neural network model. CMC Comput. Mater. Contin. 2016, 52, 42–51. [Google Scholar]
- Gondokusumo, G.S.; Venkateshwaran, A.; Tan, K.H.; Liew, J.Y.R. Unified equations to predict residual flexural tensile strength of lightweight steel fiber-reinforced concrete. Struct. Concr. 2021, 22, 2202–2222. [Google Scholar] [CrossRef]
- Thakur, M.S.; Pandhiani, S.M.; Kashyap, V.; Upadhya, A.; Sihag, P. Predicting Bond Strength of FRP Bars in Concrete Using Soft Computing Techniques. Arab. J. Sci. Eng. 2021, 46, 4951–4969. [Google Scholar] [CrossRef]
- Kina, C.; Turk, K.; Atalay, E.; Donmez, I.; Tanyildizi, H. Comparison of extreme learning machine and deep learning model in the estimation of the fresh properties of hybrid fiber-reinforced SCC. Neural Comput. Appl. 2021, 33, 11641–11659. [Google Scholar] [CrossRef]
- Bankir, M.B.; Sevim, U.K. Performance optimization of hybrid fiber concrete according to mechanical properties. Constr. Build. Mater. 2020, 261, 119952. [Google Scholar] [CrossRef]
- Liu, B. Evaluation of interface shear transfer strength of steel fiber-reinforced concrete based on artificial neural network and regression method. Struct. Concr. 2022, 23, 1049–1064. [Google Scholar] [CrossRef]
- Liao, W.-C.; Perceka, W.; Liu, E.-J. Compressive Stress-Strain Relationship of High Strength Steel Fiber Reinforced Concrete. J. Adv. Concr. Technol. 2015, 13, 379–392. [Google Scholar] [CrossRef]
- Youssef, M.N.; Feng, M.Q.; Mosallam, A.S. Stress–strain model for concrete confined by FRP composites. Compos. Part B Eng. 2007, 38, 614–628. [Google Scholar] [CrossRef]
- Deng, F.; Chi, Y.; Xu, L.; Huang, L.; Hu, X. Constitutive behavior of hybrid fiber reinforced concrete subject to uniaxial cyclic tension: Experimental study and analytical modeling. Constr. Build. Mater. 2021, 295, 123650. [Google Scholar] [CrossRef]
- Khalel, H.H.Z.; Khan, M.; Starr, A. Dynamic response-based crack resistance analysis of fibre reinforced concrete specimens under different temperatures and crack depths. J. Build. Eng. 2023, 66, 105865. [Google Scholar] [CrossRef]
- Lee, J.; Fenves, G.L. Plastic-Damage Model for Cyclic Loading of Concrete Structures. J. Eng. Mech. 1998, 124, 892–900. [Google Scholar] [CrossRef]
- Hibbit, H.D.; Karlsson, B.I.; Sorensen, P. ABAQUS Theory and User’s Manual; Abaqus: Providence, RI, USA, 2010. [Google Scholar]
- Revanna, N.; Moy, C.K.S.; Krevaikas, T. Verifying a Finite Element Analysis Methodology with Reinforced Concrete Beam Experiments. J. Appl. Math. Phys. 2020, 8, 2549–2556. [Google Scholar] [CrossRef]
- Samadi, S.; Jin, S.; Gruber, D.; Harmuth, H. A comparison of two damage models for inverse identification of mode I fracture parameters: Case study of a refractory ceramic. Int. J. Mech. Sci. 2021, 197, 106345. [Google Scholar] [CrossRef]
- López-Almansa, F.; Alfarah, B.; Oller, S. Numerical simulation of rc frame testing with damaged plasticity model. Comparison with simplified models. In Proceedings of the Second European Conference on Earthquake Engineering and Seismology, Istanbul, Turkey, 25–29 August 2014. [Google Scholar] [CrossRef]
- Jiang, L.; Orabi, M.A.; Jiang, J.; Usmani, A. Modelling concrete slabs subjected to fires using nonlinear layered shell elements and concrete damage-plasticity material. Eng. Struct. 2021, 234, 111977. [Google Scholar] [CrossRef]
- Bhartiya, R.; Sahoo, D.R.; Verma, A. Modified damaged plasticity and variable confinement modelling of rectangular CFT columns. J. Constr. Steel Res. 2020, 176, 106426. [Google Scholar] [CrossRef]
- Kant, T.; Manjunatha, B. An unsymmetric FRC laminate C° finite element model with 12 degrees of freedom per node. Eng. Comput. 1988, 5, 300–308. [Google Scholar] [CrossRef]
- Bleive, L.L.; Lusis, V. Experimental study and numerical modelling for flexural capacity of frc structural elements. Environ. Technol. Resour. Proc. Int. Sci. Pr. Conf. 2021, 3, 30–35. [Google Scholar] [CrossRef]
- Foglar, M.; Kovar, M. Conclusions from experimental testing of blast resistance of FRC and RC bridge decks. Int. J. Impact Eng. 2013, 59, 18–28. [Google Scholar] [CrossRef]
- Blanco, A.; Cavalaro, S.H.P.; De La Fuente, A.; Grunewald, S.; Blom, C.B.M.; Walraven, J.C. Application of FRC constitutive models to modelling of slabs. Mater. Struct. 2014, 48, 2943–2959. [Google Scholar] [CrossRef]
- Blanco, A.; Pujadas, P.; de la Fuente, A.; Cavalaro, S.; Aguado, A. Application of constitutive models in European codes to RC–FRC. Constr. Build. Mater. 2012, 40, 246–259. [Google Scholar] [CrossRef]
- Łaźniewska-Piekarczyk, B. The methodology for assessing the impact of new generation superplasticizers on air content in self-compacting concrete. Constr. Build. Mater. 2014, 53, 488–502. [Google Scholar] [CrossRef]
- Teychenné, D.C.; Franklin, R.E.; Erntroy, H.C.; Marsh, B.K. Design of Normal Concrete Mixes; HM Stationery Office: London, UK, 1975. [Google Scholar]
- Standard, B. Testing Hardened Concrete, Compressive Strength Test Specimens; British Standards Institute: London, UK, 2009; pp. 12390–12393. [Google Scholar]
- Khademi, F.; Behfarnia, K. Evaluation of Concrete Compressive Strength Using Artificial Neural Network and Multiple Linear Regression Models; Iran University of Science & Technology: Tehran, Iran, 2016. [Google Scholar]
- Draper, N.R.; Smith, H. Applied Regression Analysis; John Wiley & Sons: Hoboken, NJ, USA, 1998. [Google Scholar]
- Montgomery, D.C.; Runger, G.C. Applied Statistics and Probability for Engineers, 3rd ed.; John Wiley & Sons: Hoboken, NJ, USA, 2010; pp. 207–219. [Google Scholar]
- Sadrmomtazi, A.; Sobhani, J.; Mirgozar, M. Modeling compressive strength of EPS lightweight concrete using regression, neural network and ANFIS. Constr. Build. Mater. 2013, 42, 205–216. [Google Scholar] [CrossRef]
- Pallant, J. SPSS Survival Manual: A Step by Step Guide to Data Analysis Using IBM SPSS; Routledge: London, UK, 2020. [Google Scholar]
- Montgomery, D.C.; Peck, E.A.; Vining, G.G. Introduction to Linear Regression Analysis; John Wiley & Sons: Hoboken, NJ, USA, 2021. [Google Scholar]
- Efron, B. How Biased is the Apparent Error Rate of a Prediction Rule? J. Am. Stat. Assoc. 1986, 81, 461–470. [Google Scholar] [CrossRef]
- Sakallioğlu, S.; Kaçiranlar, S.; Akdeniz, F. Mean squared error comparisons of some biased regression estimators. Commun. Stat. Theory Methods 2001, 30, 347–361. [Google Scholar] [CrossRef]
- Dassault Systèmes. ABAQUS Documentation; Dassault Systèmes: Providence, RI, USA, 2014. [Google Scholar]
- Zhang, H.; Wan, K.; Wu, B.; Hu, Z. Flexural behavior of reinforced geopolymer concrete beams with recycled coarse aggregates. Adv. Struct. Eng. 2021, 24, 3281–3298. [Google Scholar] [CrossRef]
- Uma, K.; Anuradha, R.; Venkatasubramani, R. Experimental investigation and analytical modeling of reinforced Geopolymer concrete beam. Int. J. Civ. Struct. Eng. 2012, 2, 817–827. [Google Scholar] [CrossRef]
- Lubliner, J.; Oliver, J.; Oller, S.; Oñate, E. A plastic-damage model for concrete. Int. J. Solids Struct. 1989, 25, 299–326. [Google Scholar] [CrossRef]
- Chi, Y.; Xu, L.; Yu, H.-S. Constitutive modeling of steel-polypropylene hybrid fiber reinforced concrete using a non-associated plasticity and its numerical implementation. Compos. Struct. 2014, 111, 497–509. [Google Scholar] [CrossRef]
- ABAQUS, 6.14; Dassault Systèmes Simulia Corp: Providence, RI, USA, 2014.
- EN 1992-1-1; Eurocode 2: Design of Concrete Structures: Part 1-1: General Rules and Rules for Buildings. British Standards Institution: London, UK, 2004.
- Shin, K.-J.; Lim, J.-H.; Oh, Y.-S.; Moon, J.-H. An experimental study on the flexural behaviour of RC beams strengthened with high-strength bars. Mag. Concr. Res. 2007, 59, 469–481. [Google Scholar] [CrossRef]
- Jasim, W.A.; Abu Tahnat, Y.B.; Halahla, A. Behavior of reinforced concrete deep beam with web openings strengthened with (CFRP) sheet. Structures 2020, 26, 785–800. [Google Scholar] [CrossRef]
- Nguyen, T.; Ghazlan, A.; Kashani, A.; Bordas, S.; Ngo, T. 3D meso-scale modelling of foamed concrete based on X-ray Computed Tomography. Constr. Build. Mater. 2018, 188, 583–598. [Google Scholar] [CrossRef]
- Earij, A.; Alfano, G.; Cashell, K.; Zhou, X. Nonlinear three–dimensional finite–element modelling of reinforced–concrete beams: Computational challenges and experimental validation. Eng. Fail. Anal. 2017, 82, 92–115. [Google Scholar] [CrossRef]
- A Complete Set of Complementary Interoperable Software Products Focused on Expert Usage for Material and/or Structural Engineering. 2022. Available online: https://www.e-xstream.com/products/digimat/tools (accessed on 7 April 2023).
- Akhmetov, D.A.; Pukharenko, Y.V.; Vatin, N.I.; Akhazhanov, S.B.; Akhmetov, A.R.; Jetpisbayeva, A.Z.; Utepov, Y.B. The Effect of Low-Modulus Plastic Fiber on the Physical and Technical Characteristics of Modified Heavy Concretes Based on Polycarboxylates and Microsilica. Materials 2022, 15, 2648. [Google Scholar] [CrossRef]
- Kubat, T.; Al-Mahaidi, R.; Shayan, A. CFRP confinement of circular concrete columns affected by alkali-aggregate reaction. Constr. Build. Mater. 2016, 116, 98–109. [Google Scholar] [CrossRef]
- Kubat, T.; Al-Mahaidi, R.; Shayan, A. Strain development in CFRP-wrapped circular concrete columns affected by alkali-aggregate reaction. Constr. Build. Mater. 2016, 113, 603–612. [Google Scholar] [CrossRef]
- Paul, S.C.; van Zijl, G.P.; Šavija, B. Effect of Fibers on Durability of Concrete: A Practical Review. Materials 2020, 13, 4562. [Google Scholar] [CrossRef] [PubMed]
- Caggiano, A.; Folino, P.; Lima, C.; Martinelli, E.; Pepe, M. On the mechanical response of Hybrid Fiber Reinforced Concrete with Recycled and Industrial Steel Fibers. Constr. Build. Mater. 2017, 147, 286–295. [Google Scholar] [CrossRef]
- Bulut, H.A.; Şahin, R. A study on mechanical properties of polymer concrete containing electronic plastic waste. Compos. Struct. 2017, 178, 50–62. [Google Scholar] [CrossRef]
- Gao, D.; Zhang, L. Flexural performance and evaluation method of steel fiber reinforced recycled coarse aggregate concrete. Constr. Build. Mater. 2018, 159, 126–136. [Google Scholar] [CrossRef]
- Hu, H.; Papastergiou, P.; Angelakopoulos, H.; Guadagnini, M.; Pilakoutas, K. Mechanical properties of SFRC using blended Recycled Tyre Steel Cords (RTSC) and Recycled Tyre Steel Fibres (RTSF). Constr. Build. Mater. 2018, 187, 553–564. [Google Scholar] [CrossRef]
- Youssf, O.; Hassanli, R.; Mills, J.E. Mechanical performance of FRP-confined and unconfined crumb rubber concrete containing high rubber content. J. Build. Eng. 2017, 11, 115–126. [Google Scholar] [CrossRef]
- Bui, N.K.; Satomi, T.; Takahashi, H. Recycling woven plastic sack waste and PET bottle waste as fiber in recycled aggregate concrete: An experimental study. Waste Manag. 2018, 78, 79–93. [Google Scholar] [CrossRef]
- Sukontasukkul, P.; Pongsopha, P.; Chindaprasirt, P.; Songpiriyakij, S. Flexural performance and toughness of hybrid steel and polypropylene fibre reinforced geopolymer. Constr. Build. Mater. 2018, 161, 37–44. [Google Scholar] [CrossRef]
- Li, L.; Chen, Z.; Ouyang, Y.; Zhu, J.; Chu, S.; Kwan, A. Synergistic effects of steel fibres and expansive agent on steel bar-concrete bond. Cem. Concr. Compos. 2019, 104, 103380. [Google Scholar] [CrossRef]
- Spasojevic, A.; Redaelli, D.; Ruiz, M.F.; Muttoni, A. Influence of tensile properties of UHPFRC on size effect in bending. In Proceedings of the Ultra High Performance Concrete (UHPC), Second International Symposium on Ultra High Performance Concrete, Kassel, Germany, 5–7 March 2008; pp. 303–310. [Google Scholar]
- Chen, J.F.; Tao, Y. Finite Element Modelling of FRP-to-Concrete Bond Behaviour Using the Concrete Damage Plasticity Theory Combined with a Plastic Degradation Model. In Advances in FRP Composites in Civil Engineering, Proceedings of the 5th International Conference on FRP Composites in Civil Engineering (CICE 2010), Beijing, China, 27–29 September 2010; Springer: Berlin/Heidelberg, Germany, 2011; pp. 45–50. [Google Scholar] [CrossRef]
- Lepech, M.; Li, V. Preliminary Findings on Size Effect in Ecc Structural Members in Flexure. In Brittle Matrix Composites 7; Woodhead Publishing: Cambridge, UK, 2004; pp. 57–66. [Google Scholar] [CrossRef]
- Hassan, M.; Wille, K. Direct tensile behavior of steel fiber reinforced ultra-high performance concrete at high strain rates using modified split Hopkinson tension bar. Compos. Part B Eng. 2022, 246, 110259. [Google Scholar] [CrossRef]
- Zhang, H.; Huang, Y.J.; Yang, Z.J.; Xu, S.L.; Chen, X.W. A discrete-continuum coupled finite element modelling approach for fibre reinforced concrete. Cem. Concr. Res. 2018, 106, 130–143. [Google Scholar] [CrossRef]
- Amiri, A.M.; Olfati, A.; Najjar, S.; Beiranvand, P.; Fard, M.H.N. The effect of fly ash on flexural capacity concrete beams. Adv. Sci. Technol. Res. J. 2016, 10, 89–95. [Google Scholar] [CrossRef]
- Nguyen, K.T.; Ahn, N.; Le, T.A.; Lee, K. Theoretical and experimental study on mechanical properties and flexural strength of fly ash-geopolymer concrete. Constr. Build. Mater. 2016, 106, 65–77. [Google Scholar] [CrossRef]
- Tao, Z.; Wang, Z.-B.; Yu, Q. Finite element modelling of concrete-filled steel stub columns under axial compression. J. Constr. Steel Res. 2013, 89, 121–131. [Google Scholar] [CrossRef]
- Zhao, Y.-G.; Yan, X.-F.; Lin, S. Compressive strength of axially loaded circular hollow centrifugal concrete-filled steel tubular short columns. Eng. Struct. 2019, 201, 109828. [Google Scholar] [CrossRef]
- ISO 834-13:2019; Fire Resistance Tests-Elements of Building Construction. International Organization for Standardization: Geneva, Switzerland, 1999.
- ASTM D4762-16; Standard Guide for Testing Polymer Matrix Composite Materials. ASTM: Philadelphia, PA, USA, 2014.
- Fasihihour, N.; Abad, J.M.N.; Karimipour, A.; Mohebbi, M.R. Experimental and numerical model for mechanical properties of concrete containing fly ash: Systematic review. Measurement 2022, 188, 110547. [Google Scholar] [CrossRef]













| Type of Fibre | Shape | Diameter (mm) | Length of Fibre (mm) | Tensile Strength of Fibre (N/mm2) | Supplier |
|---|---|---|---|---|---|
| SFRC-1 | Indented | 1 | (20, 30, 40) | 1150 | Sika |
| SFRC-2 | dumbbell | 1.45 | (20, 30, 40) | 690 | Sika |
| PFRC-1 | Macro/Monofilament | 0.95 | (20, 30, 40) | 465 | Sika |
| PFRC-2 | Crimped | 0.92 | (20, 30, 40) | 552 | Sika |
| Quantity | Cement (kg) | Water (kg) | Fine Aggregate (kg) | Coarse Aggregate (kg) |
|---|---|---|---|---|
| Per m3 | 427 | 213 | 679 | 1061 |
| Trial mix 0.017 m3 | 7.26 | 3.62 | 11.54 | 18.037 |
| Super-plasticizer (0.5% of cement) | 0.0363 kg for trial mix | |||
| Dilation Angle | Eccentricity | fb0/fc0 | K | Viscosity Parameter |
|---|---|---|---|---|
| 36° | 0.1 | 1.16 | 0.67 | 0 |
| Young’s Modulus MPa | 34984 | Poisson’s Ratio | 0.2 |
|---|---|---|---|
| Compression Behaviour | Concrete Compression Damage | ||
| Stress (MPa) | Inelastic Strain | Damage Parameter | Inelastic Strain |
| 16 | 0.000622996 | 0 | 0.000622996 |
| 20.01 | 0.000754057 | 0 | 0.000754057 |
| 24.00 | 0.014082286 | 0 | 0.014082286 |
| 28.01 | 0.015187781 | 0 | 0.015187781 |
| 32.02 | 0.015835257 | 0 | 0.015835257 |
| 36.00 | 0.017157429 | 0 | 0.017157429 |
| 38.93 | 0.020001589 | 0 | 0.020001589 |
| 38.72 | 0.021137714 | 0.005506698 | 0.021137714 |
| 35.89 | 0.022408446 | 0.078080053 | 0.022408446 |
| 26.70 | 0.024503275 | 0.314350292 | 0.024503275 |
| 15.60 | 0.028024185 | 0.599235637 | 0.028024185 |
| 7.79 | 0.033283509 | 0.799991781 | 0.033283509 |
| Tensile Behaviour | Concrete Tension Damage | ||
|---|---|---|---|
| Stress (MPa) | Cracking Strain | Damage Parameter | Cracking Strain |
| 4.3678205 | 0.00014 | 0 | 0.00014 |
| 2.9118803 | 0.00042 | 0.333333333 | 0.00042 |
| 1.6379327 | 0.0008225 | 0.625 | 0.0008225 |
| 0.7279701 | 0.00147 | 0.833333333 | 0.00147 |
| Plastic Fibres | |
|---|---|
| Young’s Modulus MPa | 800 |
| Poisson’s Ratio | 0.33 |
| Stress MPa | Strain |
| 5.26 | 0.000064 |
| 20.00 | 0.000254 |
| 60.01 | 0.00073 |
| 100.13 | 0.001218 |
| 160.14 | 0.001948 |
| 200.10 | 0.002434 |
| 240.05 | 0.00292 |
| 274 | 0.003332 |
| Steel Fibres | |
|---|---|
| Young’s Modulus MPa | 200,000 |
| Poisson’s Ratio | 0.3 |
| Stress MPa | Strain |
| 98 | 0 |
| 195 | 0.0214844 |
| 309 | 0.022461 |
| 407 | 0.0234376 |
| 505 | 0.0385742 |
| 602 | 0.0551758 |
| 716 | 0.0703126 |
| 798 | 0.083496 |
| Mixes of FRC | Elastic Modulus of Fibre Types (MPa) | Tensile Strength of Different Type Shape (MPa) | Fibres Length (mm) | Percentage of Fibre (%) | Flexural Strength Experimental | Flexural Strength Numerical | (MSE) Experimental and Numerical | (MAPE) Experimental and Numerical (%) |
|---|---|---|---|---|---|---|---|---|
| (MPa) | (MPa) | |||||||
| SFRC-1 | 200,000 | 800 | 20 | 0.5 | 5.36 | 6.00 | 0.80 | 10.67 |
| SFRC-1 | 200,000 | 800 | 20 | 1 | 5.50 | 6.10 | 0.77 | 9.84 |
| SFRC-1 | 200,000 | 800 | 20 | 1.5 | 5.70 | 6.25 | 0.74 | 8.80 |
| SFRC-1 | 200,000 | 800 | 20 | 2 | 5.30 | 6.00 | 0.84 | 11.67 |
| SFRC-1 | 200,000 | 800 | 30 | 0.5 | 5.00 | 5.90 | 0.95 | 15.25 |
| SFRC-1 | 200,000 | 800 | 30 | 1 | 6.10 | 6.30 | 0.45 | 3.17 |
| SFRC-1 | 200,000 | 800 | 30 | 1.5 | 6.30 | 6.40 | 0.32 | 1.56 |
| SFRC-1 | 200,000 | 800 | 30 | 2 | 5.50 | 6.05 | 0.74 | 9.09 |
| SFRC-1 | 200,000 | 800 | 40 | 0.5 | 6.04 | 6.40 | 0.60 | 5.63 |
| SFRC-1 | 200,000 | 800 | 40 | 1 | 5.31 | 6.10 | 0.89 | 12.95 |
| SFRC-1 | 200,000 | 800 | 40 | 1.5 | 5.50 | 6.40 | 0.95 | 14.06 |
| SFRC-1 | 200,000 | 800 | 40 | 2 | 5.73 | 6.36 | 0.79 | 9.91 |
| PFRC-1 | 7000 | 465 | 20 | 0.5 | 5.30 | 6.36 | 1.03 | 16.67 |
| PFRC-1 | 7000 | 465 | 20 | 1 | 5.80 | 6.50 | 0.84 | 10.77 |
| PFRC-1 | 7000 | 465 | 20 | 1.5 | 5.78 | 6.40 | 0.79 | 9.69 |
| PFRC-1 | 7000 | 465 | 20 | 2 | 5.30 | 6.06 | 0.87 | 12.54 |
| PFRC-1 | 7000 | 465 | 30 | 0.5 | 5.70 | 6.47 | 0.88 | 11.90 |
| PFRC-1 | 7000 | 465 | 30 | 1 | 5.43 | 6.20 | 0.88 | 12.42 |
| PFRC-1 | 7000 | 465 | 30 | 1.5 | 5.57 | 6.29 | 0.85 | 11.45 |
| PFRC-1 | 7000 | 465 | 30 | 2 | 6.00 | 6.45 | 0.67 | 6.98 |
| PFRC-1 | 7000 | 465 | 40 | 0.5 | 5.20 | 6.10 | 0.95 | 14.75 |
| PFRC-1 | 7000 | 465 | 40 | 1 | 5.10 | 6.05 | 0.97 | 15.70 |
| PFRC-1 | 7000 | 465 | 40 | 1.5 | 5.50 | 6.00 | 0.71 | 8.33 |
| PFRC-1 | 7000 | 465 | 40 | 2 | 5.30 | 5.95 | 0.81 | 10.92 |
| PFRC-2 | 7000 | 552 | 20 | 0.5 | 5.21 | 6.05 | 0.92 | 13.88 |
| PFRC-2 | 7000 | 552 | 20 | 1 | 5.70 | 6.45 | 0.87 | 11.63 |
| PFRC-2 | 7000 | 552 | 20 | 1.5 | 6.20 | 6.41 | 0.46 | 3.28 |
| PFRC-2 | 7000 | 552 | 20 | 2 | 5.05 | 5.90 | 0.92 | 14.41 |
| PFRC-2 | 7000 | 552 | 30 | 0.5 | 5.92 | 6.47 | 0.74 | 8.50 |
| PFRC-2 | 7000 | 552 | 30 | 1 | 5.40 | 6.15 | 0.87 | 12.20 |
| PFRC-2 | 7000 | 552 | 30 | 1.5 | 5.50 | 6.20 | 0.84 | 11.29 |
| PFRC-2 | 7000 | 552 | 30 | 2 | 5.73 | 6.50 | 0.88 | 11.85 |
| PFRC-2 | 7000 | 552 | 40 | 0.5 | 5.56 | 6.34 | 0.88 | 12.30 |
| PFRC-2 | 7000 | 552 | 40 | 1 | 5.50 | 6.25 | 0.87 | 12.00 |
| PFRC-2 | 7000 | 552 | 40 | 1.5 | 5.75 | 6.30 | 0.74 | 8.73 |
| PFRC-2 | 7000 | 552 | 40 | 2 | 5.60 | 6.38 | 0.88 | 12.23 |
| SFRC-2 | 200,000 | 1150 | 20 | 0.5 | 5.42 | 6.10 | 0.82 | 11.15 |
| SFRC-2 | 200,000 | 1150 | 20 | 1 | 5.50 | 6.28 | 0.88 | 12.42 |
| SFRC-2 | 200,000 | 1150 | 20 | 1.5 | 5.40 | 6.12 | 0.85 | 11.76 |
| SFRC-2 | 200,000 | 1150 | 20 | 2 | 5.20 | 6.00 | 0.89 | 13.33 |
| SFRC-2 | 200,000 | 1150 | 30 | 0.5 | 5.10 | 5.95 | 0.92 | 14.29 |
| SFRC-2 | 200,000 | 1150 | 30 | 1 | 6.10 | 6.29 | 0.44 | 3.02 |
| SFRC-2 | 200,000 | 1150 | 30 | 1.5 | 6.30 | 6.40 | 0.32 | 1.56 |
| SFRC-2 | 200,000 | 1150 | 30 | 2 | 5.90 | 6.10 | 0.45 | 3.28 |
| SFRC-2 | 200,000 | 1150 | 40 | 0.5 | 6.04 | 6.27 | 0.48 | 3.67 |
| SFRC-2 | 200,000 | 1150 | 40 | 1 | 5.21 | 6.10 | 0.94 | 14.59 |
| SFRC-2 | 200,000 | 1150 | 40 | 1.5 | 5.50 | 6.15 | 0.81 | 10.57 |
| SFRC-2 | 200,000 | 1150 | 40 | 2 | 5.73 | 6.25 | 0.72 | 8.32 |
| Average | 0.8 | 10.31 |
Disclaimer/Publisher’s Note: The statements, opinions and data contained in all publications are solely those of the individual author(s) and contributor(s) and not of MDPI and/or the editor(s). MDPI and/or the editor(s) disclaim responsibility for any injury to people or property resulting from any ideas, methods, instructions or products referred to in the content. |
© 2023 by the authors. Licensee MDPI, Basel, Switzerland. This article is an open access article distributed under the terms and conditions of the Creative Commons Attribution (CC BY) license (https://creativecommons.org/licenses/by/4.0/).
Share and Cite
Khalel, H.H.Z.; Khan, M. Modelling Fibre-Reinforced Concrete for Predicting Optimal Mechanical Properties. Materials 2023, 16, 3700. https://doi.org/10.3390/ma16103700
Khalel HHZ, Khan M. Modelling Fibre-Reinforced Concrete for Predicting Optimal Mechanical Properties. Materials. 2023; 16(10):3700. https://doi.org/10.3390/ma16103700
Chicago/Turabian StyleKhalel, Hamad Hasan Zedan, and Muhammad Khan. 2023. "Modelling Fibre-Reinforced Concrete for Predicting Optimal Mechanical Properties" Materials 16, no. 10: 3700. https://doi.org/10.3390/ma16103700
APA StyleKhalel, H. H. Z., & Khan, M. (2023). Modelling Fibre-Reinforced Concrete for Predicting Optimal Mechanical Properties. Materials, 16(10), 3700. https://doi.org/10.3390/ma16103700

