Terahertz Spectroscopy Characterization and Prediction of the Aging Degree of Polyethylene Pipes Based on PLS
Abstract
1. Introduction
2. Materials and Methods
2.1. Preparation of Aging Samples
2.2. Terahertz Detection System
3. Results and Discussion
3.1. Extraction of Optical Parameters of PE Pipes
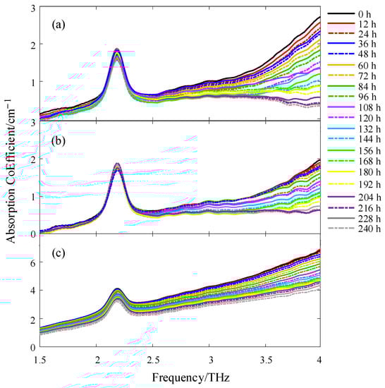
3.2. Spectral Characteristics Analysis of PE pipes
3.3. Spectral Feature Extraction
3.4. Dataset Description
3.5. Aging Model Establishment and Evaluation
- (1)
- should extract the variation information of the respective data table variables as much as possible;
- (2)
- The correlation between and Y is as high as possible.
3.6. Aging Prediction Results and Analysis
4. Conclusions
Author Contributions
Funding
Institutional Review Board Statement
Informed Consent Statement
Data Availability Statement
Conflicts of Interest
References
- Liu, X.; Zhang, H.; Xia, M.; Wu, K.; Chen, Y.; Zheng, Q.; Li, J. Mechanical response of buried polyethylene pipelines under excavation load during pavement construction. Eng. Fail. Anal. 2018, 90, 355–370. [Google Scholar] [CrossRef]
- Lai, H.S.; Tun, N.N.; Kil, S.H.; Yoon, K.B. Effect of defects on the burst failure of butt fusion welded polyethylene pipes. J. Mech. Sci. Technol. 2016, 30, 1973–1981. [Google Scholar] [CrossRef]
- Zha, S.; Lan, H.; Huang, H. Review on lifetime predictions of polyethylene pipes: Limitations and trends. Int. J. Press. Vessel. Pip. 2022, 198, 104663. [Google Scholar] [CrossRef]
- Chen, C.; Hou, H.; Su, M.; Wang, S.; Jiao, C.; Zhao, Z. Feasibility of Nonlinear Ultrasonic Method to Characterize the Aging Degree of Polyethylene Pipes. J. Mater. Eng. Perform. 2022, 1–9. [Google Scholar] [CrossRef]
- Chen, G.; Yang, Y.; Zhou, C.; Zhou, Z.; Yan, D. Thermal-oxidative aging performance and life prediction of polyethylene pipe under cyclic and constant internal pressure. J. Appl. Polym. Sci. 2019, 136, 47766. [Google Scholar] [CrossRef]
- Hoàng, E.M.; Lowe, D. Lifetime prediction of a blue PE100 water pipe. Polym. Degrad. Stab. 2008, 93, 1496–1503. [Google Scholar] [CrossRef]
- Zhang, D.D.; Ren, J.J.; Gu, J.; Li, L.J.; Zhang, J.Y.; Xiong, W.H.; Zhong, Y.F.; Zhou, T.Y. Nondestructive testing of bonding defects in multilayered ceramic matrix composites using THz time domain spectroscopy and imaging. Compos. Struct. 2020, 251, 112624. [Google Scholar] [CrossRef]
- Chang, T.; Zhang, X.; Cui, H. Terahertz Dielectric Spectroscopic Analysis of Polypropylene Aging Caused by Exposure to Ultraviolet Radiation. Polymers 2019, 11, 2001. [Google Scholar] [CrossRef]
- Wang, T.; Wang, S.; Zhai, C.; Wang, L.; Xie, Y.; Li, Q.; Zheng, X. Study of starch aging characteristics based on Terahertz technology. Food Sci. Nutr. 2021, 9, 4431–4439. [Google Scholar] [CrossRef]
- Cheng, L.; Liu, Y.; Cheng, Z.; Chen, R.; Zhang, S.; Liao, R.; Yuan, Y. A novel aging characterization method for silicone rubber based on terahertz absorption spectroscopy. Polym. Test. 2022, 115, 107723. [Google Scholar] [CrossRef]
- Yan, Z.; Shi, W.; Hou, L.; Xu, M.; Yang, L.; Dong, C.; Li, S. Investigation of aging effects in cross-linked polyethylene insulated cable using terahertz waves. Mater. Res. Express 2017, 4, 015304. [Google Scholar] [CrossRef]
- Chen, Q.; Wang, Q.; Gu, X.; Yu, Y.; Ling, Z. Inspection of Aging and Defects of Polyethylene Pipe Joints Based on THz-TDS. Laser Optoelectron. Prog. 2019, 56, 217–222. [Google Scholar]
- Im, K.H.; Kim, S.K.; Jung, J.A.; Cho, Y.T.; Woo, Y.D.; Chiou, C.P. NDE Detection Techniques and Characterization of Aluminum Wires Embedded in Honeycomb Sandwich Composite Panels Using Terahertz Waves. Materials 2019, 12, 1264. [Google Scholar] [CrossRef]
- Konda, S.R.; Lin, Y.; Rajan, R.A.; Yu, W.; Li, W. Measurement of Optical Properties of CH3NH3PbX3 (X = Br, I) Single Crystals Using Terahertz Time-Domain Spectroscopy. Materials 2023, 16, 610. [Google Scholar] [CrossRef] [PubMed]
- GB/T 16422.2-2022; Methods of Light Source Exposure Test in Plastic Laboratory Part 2: Xenon Arc Lamp. China Quality Inspection Press: Beijing, China, 2022.
- Dorney, T.D.; Baraniuk, R.G.; Mittleman, D.M. Material parameter estimation with terahertz time-domain spectroscopy. JOSA A 2001, 18, 1562–1571. [Google Scholar] [CrossRef] [PubMed]
- Duvillaret, L.; Garet, F.; Coutaz, J.L. A reliable method for extraction of material parameters in terahertz time-domain spectroscopy. IEEE Joural Sel. Top. Quantum Electron. 1996, 2, 739–746. [Google Scholar] [CrossRef]
- Ai, W.J.; Liu, S.L.; Liao, H.P.; Du, J.P.; Cai, Y.L.; Liao, C.L.; Shi, H.W.; Lin, Y.D.; Junaid, M.; Yue, X.J.; et al. Application of hyperspectral imaging technology in the rapid identification of microplastics in farmland soil. Sci. Total Environ. 2022, 807, 151030. [Google Scholar] [CrossRef]
- Wang, M.; Zhong, K.; Liu, C.; Xu, D.; Shi, W.; Yao, J. Optical coefficients extraction from terahertz time-domain transmission spectra based on multibeam interference principle. Opt. Eng. 2017, 56, 044101. [Google Scholar] [CrossRef]
- Andries, J.P.; Vander Heyden, Y.; Buydens, L.M. Improved variable reduction in partial least squares modelling by Global-Minimum Error Uninformative-Variable Elimination. Anal. Chim. Acta 2017, 982, 37–47. [Google Scholar] [CrossRef]
- Zhao, D.X.; Feng, S.; Cao, Y.L.; Yu, F.H.; Guan, Q.; Li, J.P.; Zhang, G.S.; Xu, T.Y. Study on the classification method of rice leaf blast levels based on fusion features and adaptive-weight immune particle swarm optimization extreme learning machine algorithm. Front. Plant Sci. 2022, 13, 879668. [Google Scholar] [CrossRef]
- Shi, S.J.; Zhao, D.; Pan, K.Q.; Ma, Y.Y.; Zhang, G.Y.; Li, L.; Cao, C.G.; Jiang, Y. Combination of near-infrared spectroscopy and key wavelength-based screening algorithm for rapid determination of rice protein content. J. Food Compos. Anal. 2023, 118, 105216. [Google Scholar] [CrossRef]
- Galletti, P.A.; Carvalho, M.E.; Hirai, W.Y.; Brancaglioni, V.A.; Arthur, V.; Barboza da Silva, C. Integrating optical imaging tools for rapid and non-invasive characterization of seed quality: Tomato (Solanum lycopersicum L.) and carrot (Daucus carota L.) as study cases. Front. Plant Sci. 2020, 11, 577851. [Google Scholar] [CrossRef] [PubMed]
- Hong, Z.Y.; Yan, C.L.; Min, H.; Xing, Y.J.; Li, C.; Liu, S. Research on Coal Species Identification Baseed on Near-Infrared Spectroscopy and Discriminant Analysis. Spectrosc. Spectr. Anal. 2022, 42, 2800–2806. [Google Scholar]
- Yang, W.; Xiong, Y.; Xu, Z.; Li, L.; Du, Y. Piecewise preprocessing of near-infrared spectra for improving prediction ability of a PLS model. Infrared Phys. Technol. 2022, 126, 104359. [Google Scholar] [CrossRef]
- Mehmood, T.; Iqbal, M.; Hassan, R. Prediction of antibacterial activity in ionic liquids through FTIR spectroscopy with selection of wavenumber by PLS. Chemom. Intell. Lab. Syst. 2020, 206, 104124. [Google Scholar] [CrossRef]
- Nakagawa, S.; Johnson, P.C.; Schielzeth, H. The coefficient of determination R 2 and intra-class correlation coefficient from generalized linear mixed-effects models revisited and expanded. J. R. Soc. Interface 2017, 14, 20170213. [Google Scholar] [CrossRef]
- Chai, T.; Draxler, R.R. Root mean square error (RMSE) or mean absolute error (MAE)?–Arguments against avoiding RMSE in the literature. Geosci. Model Dev. 2014, 7, 1247–1250. [Google Scholar] [CrossRef]







| PE Pipe Types | UVE | SPA | CARS | RF |
|---|---|---|---|---|
| White PE80 | 52 | 18 | 14 | 19 |
| White PE100 | 43 | 20 | 12 | 12 |
| Black PE100 | 34 | 14 | 9 | 18 |
| Sieving Algorithm | White PE80 Spectral Range/THz | White PE100 Spectral Range/THz | Black PE1100 Spectral Range/THz | ||||
|---|---|---|---|---|---|---|---|
| 2.5~2.75 | 2.75~3 | 2.75~3 | 3~3.25 | 2.5~2.75 | 2.75~3 | 3~3.25 | |
| UVE | 0.63 | 0.65 | 0.62 | ||||
| SPA | 0.72 | 0.75 | 0.71 | ||||
| CARS | 0.71 | 0.67 | 0.67 | ||||
| RF | 0.58 | 0.50 | 0.55 | ||||
| Feature Input | Rc | RMSEc | Rcv | RMSEcv |
|---|---|---|---|---|
| White PE80 Full Spectrum | 0.964 | 0.0732 | 0.957 | 0.0821 |
| White PE100 Full Spectrum | 0.976 | 0.0765 | 0.959 | 0.0835 |
| Black PE100 Full Spectrum | 0.972 | 0.0674 | 0.962 | 0.0996 |
| Spectral slope characteristics of white PE80 | 0.98 | 0.0615 | 0.968 | 0.0753 |
| Spectral slope characteristics of white PE100 | 0.982 | 0.0693 | 0.966 | 0.0711 |
| Spectral slope characteristics of black PE100 | 0.989 | 0.0498 | 0.975 | 0.0596 |
| Feature Input | 50 h Error/h | 100 h Error/h | 150 h Error/h | 200 h Error/h |
|---|---|---|---|---|
| White PE80 | 6.62 | 4.08 | 10.66 | 9.78 |
| White PE100 | 8.43 | 9.94 | 5.9 | 10.8 |
| Black PE100 | 6.95 | 3.9 | 8.5 | 13.5 |
Disclaimer/Publisher’s Note: The statements, opinions and data contained in all publications are solely those of the individual author(s) and contributor(s) and not of MDPI and/or the editor(s). MDPI and/or the editor(s) disclaim responsibility for any injury to people or property resulting from any ideas, methods, instructions or products referred to in the content. |
© 2023 by the authors. Licensee MDPI, Basel, Switzerland. This article is an open access article distributed under the terms and conditions of the Creative Commons Attribution (CC BY) license (https://creativecommons.org/licenses/by/4.0/).
Share and Cite
Ren, J.; Xu, J.; Zhang, D.; Zhang, J.; Li, L. Terahertz Spectroscopy Characterization and Prediction of the Aging Degree of Polyethylene Pipes Based on PLS. Materials 2023, 16, 3652. https://doi.org/10.3390/ma16103652
Ren J, Xu J, Zhang D, Zhang J, Li L. Terahertz Spectroscopy Characterization and Prediction of the Aging Degree of Polyethylene Pipes Based on PLS. Materials. 2023; 16(10):3652. https://doi.org/10.3390/ma16103652
Chicago/Turabian StyleRen, Jiaojiao, Jisheng Xu, Dandan Zhang, Jiyang Zhang, and Lijuan Li. 2023. "Terahertz Spectroscopy Characterization and Prediction of the Aging Degree of Polyethylene Pipes Based on PLS" Materials 16, no. 10: 3652. https://doi.org/10.3390/ma16103652
APA StyleRen, J., Xu, J., Zhang, D., Zhang, J., & Li, L. (2023). Terahertz Spectroscopy Characterization and Prediction of the Aging Degree of Polyethylene Pipes Based on PLS. Materials, 16(10), 3652. https://doi.org/10.3390/ma16103652
