Measuring the Cooling Behavior of Melt Pools in L-PBF by Pyrometry
Abstract
1. Introduction
1.1. Motivation
1.2. State of the Art
1.3. Objective
2. Materials and Methods
- D10 = 6.63 µm;
- D50 = 29.18 µm;
- D90 = 49.75 µm.
3. Results & Discussion
3.1. Realizing Quantitative Measurements by Pyrometry
3.1.1. Validation Setup
3.1.2. Determining the Emissivity by Linear Regression
3.1.3. Determining the Emissivity by Comparison to a Theoretical Black Emitter
3.1.4. Validation of Two-Color Pyrometry
3.2. Approach to Measure Cooling Duration
3.2.1. Experimental Setup
3.2.2. Characteristics of Obtained Signals
- 1.
- Field of measurement not in line with melt track
- 2.
- Field of measurement is bigger than melt track
- 3.
- Optical components warm up and distort signal
- 4.
- By-products block the radiation from the melt pool
- Exposing a powder layer of 30 µm with bulk material below and no air cooling of the optical units. The black curve in Figure 11a.
- Exposing bulk material directly without air cooling of the optical units. The red curve in Figure 11a.
- Exposing bulk material directly and applying additional air cooling to the scanner unit and process chamber glass (set at 1.5 bars). Green (P1) and blue (P2) curves in Figure 11a.
3.2.3. Signal Processing for Systematic Investigations
3.3. Measurements
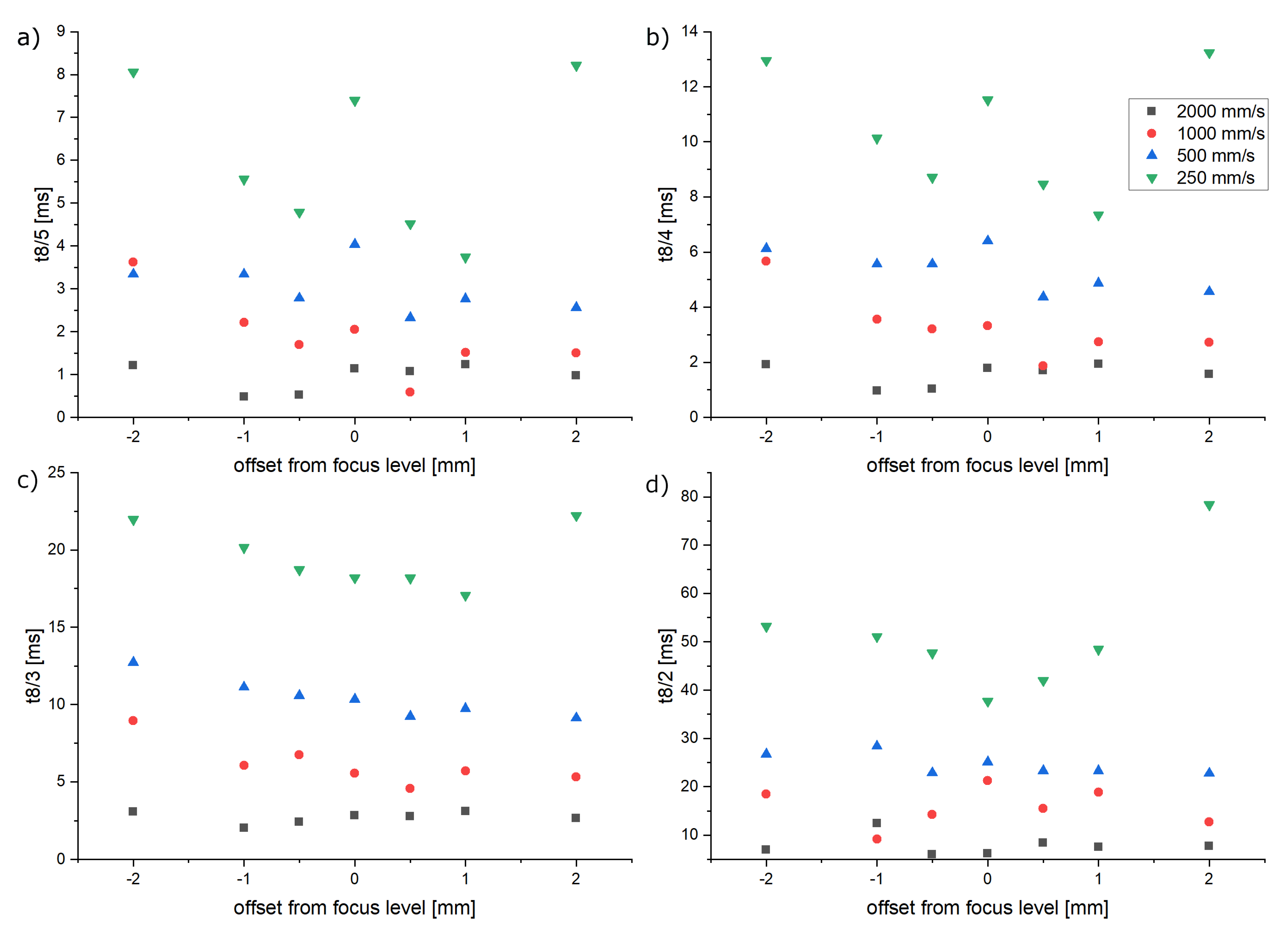
3.3.1. Cooling Durations
3.3.2. Microstructural Analysis
- No heat treatment applied (no HT):The laser tracks are placed within the final process layer. No following process layers are exposed.
- Heat treatment applied (HT):The laser tracks are placed within the sample geometry. The following process layers are exposed by standard parameters. The exposure of each further layer results in an in-situ heat treatment of the single laser track.
4. Conclusions
- Quantitative measurements by pyrometry within L-PBF have been realized:Two different approaches have been introduced in order to correlate the pyrometer signal to a temperature-dependent emissivity within the L-PBF system. The material’s emissivity has been measured up to 938 °C (see Figure 5 and Figure 7). These data can serve as a calibration table for future measurements by one-color pyrometry. Furthermore, the use of two-color pyrometry has been introduced, showing a maximum deviation of ±2%.
- Introducing a novel approach in order to measure cooling durations of single laser tracks:Within the single laser tracks experiments, by-products have been identified as the main source of error in measuring the cooling behavior. In fact, measurement within the actual melt pool is not possible. A newly developed and validated fitting method has been introduced, enabling statements about the cooling rates based on incomplete measurement data due to by-products.
- Systematic investigation of cooling durationBased on the approach above, systematic investigations regarding the cooling duration have been carried out. The results show the correlation between cooling duration and process parameters such as laser power, scanning speed, laser focus size and laser focus offset. The gained quantitative information can be used for simulation validation as well as the understanding of microstructural evolution and can therefore support the future development of FGMs.
- Observed phenomena in microstructureEBSD measurements on single laser tracks reveal wide areas of noise. It is concluded that these areas represent either severe deformation or potential amorphization due to extremely high cooling rates. The fraction of noise within the laser tracks correlates with the cooling duration and therefore supports the hypothesis above.
Author Contributions
Funding
Data Availability Statement
Conflicts of Interest
References
- Wohlers, T.T.; Campbell, I.; Diegel, O.; Huff, R.; Kowen, J. Wohlers Report 2022: 3D Printing and Additive Manufacturing Global State of the Industry; Wohlers Associates: Fort Collins, CO, USA, 2022; ISBN 978-0-9913332-9-5. [Google Scholar]
- McCann, R.; Obeidi, M.A.; Hughes, C.; McCarthy, É.; Egan, D.S.; Vijayaraghavan, R.K.; Joshi, A.M.; Acinas Garzon, V.; Dowling, D.P.; McNally, P.J.; et al. In-situ sensing, process monitoring and machine control in Laser Powder Bed Fusion: A review. Addit. Manuf. 2021, 45, 102058. [Google Scholar] [CrossRef]
- Popovich, V.A.; Borisov, E.V.; Popovich, A.A.; Sufiiarov, V.; Masaylo, D.V.; Alzina, L. Functionally graded Inconel 718 processed by additive manufacturing: Crystallographic texture, anisotropy of microstructure and mechanical properties. Mater. Des. 2017, 114, 441–449. [Google Scholar] [CrossRef]
- Pfaff, A.; Jäcklein, M.; Hoschke, K.; Wickert, M. Designed Materials by Additive Manufacturing—Impact of Exposure Strategies and Parameters on Material Characteristics of AlSi10Mg Processed by Laser Beam Melting. Metals 2018, 8, 491. [Google Scholar] [CrossRef]
- Kürnsteiner, P.; Wilms, M.B.; Weisheit, A.; Gault, B.; Jägle, E.A.; Raabe, D. High-strength Damascus steel by additive manufacturing. Nature 2020, 582, 515–519. [Google Scholar] [CrossRef]
- Everton, S.K.; Hirsch, M.; Stravroulakis, P.; Leach, R.K.; Clare, A.T. Review of in-situ process monitoring and in-situ metrology for metal additive manufacturing. Mater. Des. 2016, 95, 431–445. [Google Scholar] [CrossRef]
- Hou, Z.-J.; Wang, Q.; Zhao, C.-G.; Zheng, J.; Tian, J.-M.; Ge, X.-H.; Liu, Y.-G. Online Monitoring Technology of Metal Powder Bed Fusion Processes: A Review. Materials 2022, 15, 7598. [Google Scholar] [CrossRef]
- Yang, T.; Mazumder, S.; Jin, Y.; Squires, B.; Sofield, M.; Pantawane, M.V.; Dahotre, N.B.; Neogi, A. A Review of Diagnostics Methodologies for Metal Additive Manufacturing Processes and Products. Materials 2021, 14, 4929. [Google Scholar] [CrossRef]
- Mohr, G.; Nowakowski, S.; Altenburg, S.J.; Maierhofer, C.; Hilgenberg, K. Experimental Determination of the Emissivity of Powder Layers and Bulk Material in Laser Powder Bed Fusion Using Infrared Thermography and Thermocouples. Metals 2020, 10, 1546. [Google Scholar] [CrossRef]
- Pavlov, M.; Doubenskaia, M.; Smurov, I. Pyrometric analysis of thermal processes in SLM technology. Phys. Procedia 2010, 5, 523–531. [Google Scholar] [CrossRef]
- Gutknecht, K.; Cloots, M.; Sommerhuber, R.; Wegener, K. Mutual comparison of acoustic, pyrometric and thermographic laser powder bed fusion monitoring. Mater. Des. 2021, 210, 110036. [Google Scholar] [CrossRef]
- Xiao, X.; Liu, X.; Cheng, M.; Song, L. Towards monitoring laser welding process via a coaxial pyrometer. J. Mater. Process. Technol. 2020, 277, 116409. [Google Scholar] [CrossRef]
- Hooper, P.A. Melt pool temperature and cooling rates in laser powder bed fusion. Addit. Manuf. 2018, 22, 548–559. [Google Scholar] [CrossRef]
- Scipioni Bertoli, U.; Guss, G.; Wu, S.; Matthews, M.J.; Schoenung, J.M. In-situ characterization of laser-powder interaction and cooling rates through high-speed imaging of powder bed fusion additive manufacturing. Mater. Des. 2017, 135, 385–396. [Google Scholar] [CrossRef]
- Altenburg, S.J.; Scheuschner, N.; Straße, A.; Gumenyuk, A.; Maierhofer, C. Towards the Determination of Real Process Temperatures in the LMD Process by Multispectral Thermography; SPIE: Washington, DC, USA, 2021. [Google Scholar]
- Farshidianfar, M.H.; Khajepour, A.; Gerlich, A.P. Effect of real-time cooling rate on microstructure in Laser Additive Manufacturing. J. Mater. Process. Technol. 2016, 231, 468–478. [Google Scholar] [CrossRef]
- Takata, N.; Liu, M.; Li, H.; Suzuki, A.; Kobashi, M. Fast scanning calorimetry study of Al alloy powder for understanding microstructural development in laser powder bed fusion. Mater. Des. 2022, 219, 110830. [Google Scholar] [CrossRef]
- Artzt, K.; Siggel, M.; Kleinert, J.; Riccius, J.; Requena, G.; Haubrich, J. Pyrometric-Based Melt Pool Monitoring Study of CuCr1Zr Processed Using L-PBF. Materials 2020, 13, 4626. [Google Scholar] [CrossRef]
- Lin, Z.; Lai, Y.; Pan, T.; Zhang, W.; Zheng, J.; Ge, X.; Liu, Y. A New Method for Automatic Detection of Defects in Selective Laser Melting Based on Machine Vision. Materials 2021, 14, 4175. [Google Scholar] [CrossRef]
- Grasso, M. In Situ Monitoring of Powder Bed Fusion Homogeneity in Electron Beam Melting. Materials 2021, 14, 7015. [Google Scholar] [CrossRef]
- Thombansen, U.; Gatej, A.; Pereira, M. Process observation in fiber laser–based selective laser melting. Opt. Eng 2015, 54, 11008. [Google Scholar] [CrossRef]
- Yamazaki, K.; Yamamoto, E.; Suzuki, K.; Koshiishi, F.; Tashiro, S.; Tanaka, M.; Nakata, K. Measurement of surface temperature of weld pools by infrared two colour pyrometry. Sci. Technol. Weld. Join. 2010, 15, 40–47. [Google Scholar] [CrossRef]
- Book, A. Principle, Advantages, Limitations and Applications of Two-Colour Pyrometers in Thermal Processes: Technical Report Two-colour Pyrometer. 2018. Available online: https://pdf.directindustry.com/pdf/keller-its-infrared-temperature-solutions/tr-two-colour-pyrometer-201507-en/14914-705255.html (accessed on 24 March 2023).
- Karayagiz, K.; Elwany, A.; Tapia, G.; Franco, B.; Johnson, L.; Ma, J.; Karaman, I.; Arróyave, R. Numerical and experimental analysis of heat distribution in the laser powder bed fusion of Ti-6Al-4V. IISE Trans. 2019, 51, 136–152. [Google Scholar] [CrossRef]
- Krakhmalev, P.; Yadroitsava, I.; Fredriksson, G.; Yadroitsev, I. In situ heat treatment in selective laser melted martensitic AISI 420 stainless steels. Mater. Des. 2015, 87, 380–385. [Google Scholar] [CrossRef]
- Li, Z.; Li, H.; Yin, J.; Li, Y.; Nie, Z.; Li, X.; You, D.; Guan, K.; Duan, W.; Cao, L.; et al. A Review of Spatter in Laser Powder Bed Fusion Additive Manufacturing: In Situ Detection, Generation, Effects, and Countermeasures. Micromachines 2022, 13, 1366. [Google Scholar] [CrossRef] [PubMed]
- Luo, N.; Scheitler, C.; Ciftci, N.; Galgon, F.; Fu, Z.; Uhlenwinkel, V.; Schmidt, M.; Körner, C. Preparation of Fe-Co-B-Si-Nb bulk metallic glasses by laser powder bed fusion: Microstructure and properties. Mater. Charact. 2020, 162, 110206. [Google Scholar] [CrossRef]



















| Element | C | Cr | Mn | Ni | Mo | Si | Cu | Al |
|---|---|---|---|---|---|---|---|---|
| wt. pct | 0.29 | 0.91 | 0.73 | 0.33 | 0.27 | 0.26 | 0.05 | 0.04 |
| Kleiber KGA 740-LO | METIS H322 | Kleiber KGA 740-LO | Kleiber KGA 740-LO | |
|---|---|---|---|---|
| Notation | P1 | P2 | P3 | P4 |
| Type | one-color | two-color | one-color | one-color |
| Frame rate | 100 kHz | 25 kHz | 100 kHz | 100 kHz |
| Linearization | yes | yes | no | no |
| Tmin [°C] | 200 | 400 | 500 | 500 |
| Tmax [°C] | 1000 | 1200 | 2500 | 2500 |
| Wavelength [µm] | 1.58–2.00 | 1.65–1.80 1.45–1.65 | 1.45–1.70 | 2.00–2.20 |
Disclaimer/Publisher’s Note: The statements, opinions and data contained in all publications are solely those of the individual author(s) and contributor(s) and not of MDPI and/or the editor(s). MDPI and/or the editor(s) disclaim responsibility for any injury to people or property resulting from any ideas, methods, instructions or products referred to in the content. |
© 2023 by the authors. Licensee MDPI, Basel, Switzerland. This article is an open access article distributed under the terms and conditions of the Creative Commons Attribution (CC BY) license (https://creativecommons.org/licenses/by/4.0/).
Share and Cite
Pfaff, A.; Schäffer, S.; Jäcklein, M.; Balle, F. Measuring the Cooling Behavior of Melt Pools in L-PBF by Pyrometry. Materials 2023, 16, 3647. https://doi.org/10.3390/ma16103647
Pfaff A, Schäffer S, Jäcklein M, Balle F. Measuring the Cooling Behavior of Melt Pools in L-PBF by Pyrometry. Materials. 2023; 16(10):3647. https://doi.org/10.3390/ma16103647
Chicago/Turabian StylePfaff, Aron, Sebastian Schäffer, Martin Jäcklein, and Frank Balle. 2023. "Measuring the Cooling Behavior of Melt Pools in L-PBF by Pyrometry" Materials 16, no. 10: 3647. https://doi.org/10.3390/ma16103647
APA StylePfaff, A., Schäffer, S., Jäcklein, M., & Balle, F. (2023). Measuring the Cooling Behavior of Melt Pools in L-PBF by Pyrometry. Materials, 16(10), 3647. https://doi.org/10.3390/ma16103647
