Abstract
The noncentrosymmetric NbReSi superconductor with K is characterized by the relatively large upper critical magnetic field. Its multigap features were observed experimentally. Recent studies suggested the realization of P2m or Ima2 symmetry. We discuss the dynamical properties of both symmetries (e.g., phonon spectra). In this paper, using the ab initio techniques, we clarify this ambiguity, and conclude that the Ima2 symmetry is unstable, and P2m should be realized. The P2m symmetry is also stable in the presence of external hydrostatic pressure. We show that NbReSi with the P2m symmetry should host phonon surface states for (100) and (110) surfaces. Additionally, we discuss the main electronic properties of the system with the stable symmetry.
1. Introduction
Noncentrosymmetric superconductors are characterized by antisymmetric spin–orbit coupling (SOC) [1,2,3], which gives rise to the topological superconducting pairing as a result of a mixture of spin-singlet and spin-triplet components [3,4,5]. This behavior was first discovered in the heavy fermion compound CePtSi [6]. Recently, a large group of noncentrosymmetric superconductors have been discovered, e.g., Li(PtPd)B [7,8], BaPtSi [9], LaNiC [10], SrPtAs [11], RPtSi (R = La, Ce, Pr, Nd, Sm, Gd) [12,13], CrAs (A = K, Rb, Cs) [14,15,16], KMoAs [17], (Ta,Nb)RhB [18], ThTSi (T = Co, Ir, Ni, Pt) [19,20,21], or CeRhAs [22,23].
Recently, many ternary noncentrosymmetric superconductors were discovered and studied. Typically, the Si class of materials (where M and are transition metals or rare earth metals) crystallise in several distinct structural symmetries, such as tetragonal PbClF-type (P4/nmm symmetry) [24], orthorhombic TiNiSi-type (Pnma symmetry) [25], hexagonal ZrNiAl-type (P2m symmetry) [26], or orthorhombic TiFeSi-type (Ima2 symmetry) [26]. Among the mentioned symmetries, two are noncentrosymmetric (P2m and Ima2) and can give rise to unconventional triplet superconductivity. These types of features were discussed in the case of TaTSi (T = Re, Ru) [27,28] or TRuSi (T = Ti, Nb, Hf, Ta) [29], both with Ima2 symmetry.
In our paper, we focus on the recently studied noncentrosymmetric NbReSi superconductor [30], which exhibits superconducting properties below K [30,31,32]. A relatively large upper critical magnetic filed was reported experimentally (around T [31], T [30], or T [32]). The absence of spontaneous magnetic fields below T from muon-spin relaxation (SR) was observed [30]. The superfuild density and the spin-lattice relaxation rate suggest nodeless superconductivity [30]. The signatures of multigap superconductivity, evidenced by the field-dependent SR rate and the electronic specific heat coefficient [30] can be related to the multiband Fermi level [31].
However, the characterization of the studied samples suggest the realization of the P2m symmetry (cf. Refs. [30,31]) or Ima2 (cf. Ref. [32])—structures presented in Figure 1. We clarify this ambiguity using the ab initio techniques. From the study of dynamical properties, we claim that the P2m symmetry is stable in this system. We also discuss the dynamical and electronic properties of the system with stable symmetry.
Figure 1.
Schematic representation of NbReSi conventional cell with P2m and Ima2 symmetries (as labeled). In both structures, the Re and Nb atoms form distorted kagome-like sublattices.
2. Calculation Details
First-principle (DFT) calculations are performed using the projector augmented-wave (PAW) potentials [33] implemented in the Vienna Ab initio Simulation Package (Vasp) code [34,35,36]. Calculations are made within the generalized gradient approximation (GGA) in the Perdew, Burke, and Ernzerhof (PBE) parameterization [37]. The calculations, including SOC, were performed with the energy cut-off set to 600 eV.
Initially, the crystal structure and atom positions were optimised. In the case of the P2m symmetry, the primitive cell containing three formula units was optimized, with the k-point grid in the Monkhorst–Pack scheme [38]. Similarly, for the Ima2 symmetry, we used a conventional unit cell with k-point grid. As the convergence condition of an optimization loop, we take the energy difference of eV and eV for ionic and electronic degrees of freedom, respectively. Optimized structure parameters are collected in Section 3.1
The interatomic force constants (IFC) are calculated within the Parlinski-Li-Kawazoe method [39] implemented in Phonopy package [40]. Force constants were obtained from first-principles calculations of the Hellmann–Feynman forces by VASP and used to build a dynamical matrix of the crystal. Phonon frequencies were obtained by diagonalization of the dynamical matrix. Calculations were performed using the supercell technique. In the case of the P2m symmetry, the supercell based on primitive cells was used. For the Ima2 symmetry, we used a supercell based on conventional cells. In both cases, the reduced k-grid was used. Furthermore, dynamical properties were evaluated withing Alamode software [41], using the multidisplacement method. Finally, to study the surface states of phonons, the surface Green’s function for a semi-infinite system [42] was calculated using WannierTools [43].
3. Results and Discussion
3.1. Crystal Structure
After optimizing the crystal structures, we found:
- for the P2m symmetry (space group No. 189): Å, and Å, while experimental values are Å, and Å [31]; Nb atoms are in Wyckoff positions : (, 0, ), Re atoms in Wyckoff positions : (, 0, 0), while Si atoms in the two non-equivalent Wyckoff positions : (, , 0) and : (0, 0, ).
- for the Ima2 symmetry (space group No. 46): Å, Å, Å, while the reported values are Å, Å, and Å [32]; Nb atoms are in three non-equivalent Wyckoff positions : (, , ), : (, , ) and : (, , ), Re atoms in the two non-equivalent Wyckoff positions (0, 0, ) and : (, , ), while Si atoms in two non-equivalent positions : (, , ) and : (, , ).
In the case of the P2m symmetry, the primitive unit cell is equivalent to the conventional cell and contains three formula units. Contrary to this, for the Ima2 symmetry, the primitive cell contains six formula units, while the conventional one is twice as big. The obtained crystal parameters are used in the next part of the paper as reference ones.
3.2. Dynamical Properties
The phonon dispersions for both symmetries are presented in Figure 2. Regardless of the symmetry, the phonon branches are collected into several groups separated by gaps. In the case of P2m symmetry, acoustic modes exhibit a linear behavior around the point. For the Ima2 symmetry, one of the acoustic modes along the – path (continuing along the G-X path) poses the soft mode. However, this soft mode is also visible around the S-point. From the dynamical point of view, NbReSi is unstable with the Ima2 symmetry.
Figure 2.
The phonon dispersion along high symmetry directions (left panels) and the Brillouin zone (right panels) for P2m (a) and Ima2 (b).
In both symmetries, Re and Nb atoms form distorted kagome-like sublattices (see Figure 1), and should exist a relation between these two structures. In fact, there is a group-subgroup relationship between the discussed symmetries [44], which is, P2m→Amm2→Ima2. This allows Ima2 to emerge from P2m as a consequence of atom displacements. Nevertheless, P2m is stable and does not exhibit any soft modes that can lead to Amm2 or Ima2 symmetries.
The above mentioned properties are also reflected in the phonon density of states (PDOS), presented in Figure 3. A more precise analysis uncovers the contribution of separate atoms in vibration modes. The lower-frequency modes are realized by Re and Nb atoms (relatively heavy atoms). As can be expected, high-frequency modes are realized by lighter atoms, i.e., Si. The PDOS are qualitatively comparable for both symmetries. As we can see, the soft mode in the Ima2 structure is realized by vibrations of Nb atoms.
Figure 3.
The phonon density of states (PDOS) for P2m (a) and Ima2 (b).
The irreducible representations of the phonon modes at the point are given as [45]:
- for the P2m symmetry:where modes are infra-red active, while modes are Raman active.
- for the Ima2 symmetry:where modes are infra-red active, while modes are Raman active.
For lower symmetry (i.e., Ima2), in practice all modes are Raman active. Here we should note that in both symmetries primitive cells contain different numbers of atoms. As a consequence, the Raman spectra can be used as a tool to confirm the symmetry realized by NbReSi.
3.2.1. Phonon Surface States
Realization of hexagonal symmetry by NbReSi can give rise to phonon surface states [46]. The calculated surface Green functions are presented in Figure 4. The phonon dispersion (Figure 2) is very complex and concentrated in the low frequency range (below THz). However, for surfaces (100) and (110), the phonon edge states are clearly visible at several places. For example, at the point, where the phonon surface states are realized by separated modes with relatively large intensity (marked by blue arrows in Figure 4). Interestingly, for some terminations, this mode is not realized, see Figure 4c)
Figure 4.
Projection of the 3D bulk Brillouin zone on the 2D surface Brillouin zones for (100) and (110) surfaces (a). Panels (b–e) present surface Green functions for different surfaces (as labeled) and corresponding terminations (right schemats). Blue arrows show phonon surface states at point.
The relatively small frequencies of the mentioned phonon surface modes suggest their strong connection with Nb or Re atoms on the surface. For the surface (100), where the bulk M and points are projected on the surface point, we observed a Dirac-like structure (Figure 4b). A more precise analysis of the surface band structure uncovers avoided crossing of two edge states. Contrary to this, for the (110) surface, where bulk K and M points are projected on the surface point, while bulk K and points are projected on surface point, we observed only one separated surface state (Figure 4c,d).
3.2.2. Role of Hydrostatic Pressure
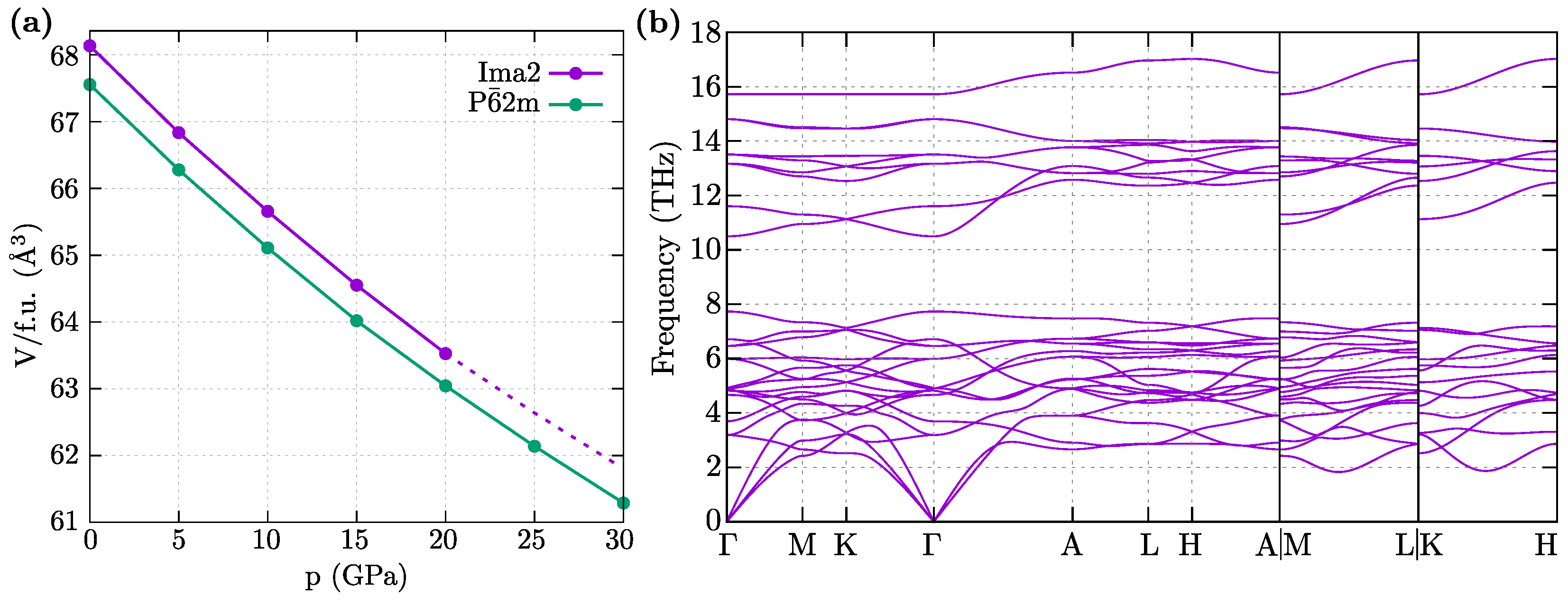
Now, we briefly discuss the impact of external hydrostatic pressure on NbReSi. Under external pressure, the volume of the system decreases monotonically (Figure 5a). In the absence of pressure, the energy for both symmetries is comparable. However, comparison of their volumes (per formula unit, see Figure 5a) clearly show that the unit cell of P2m is always more dense. This feature has an important impact under external pressure and indicates a smaller enthalpy (i.e., the sum of the ground states energy and terms) of the system with P2m than Ima2. Furthermore, above some pressure (around 20 GPa), the system with the Ima2 symmetry was impossible to optimize, and the structure goes to the P2m symmetry. This suggests instability of the NbReSi system with the Ima2 symmetry even under pressure.
Figure 5.
Influence of external hydrostatic pressure on NbReSi. (a) Pressure dependence of the unit cell volume (per formula unit) for system with P2m and Ima2 symmetries (as labeled). (b) Phonon dispersion curves for system with P2m under pressure 30 GPa.
Figure 5b shows the dispersion cerves for the P2m symmetry under pressure 30 GPa, which are comparable with the one obtained in the ambient pressure (i.e., Figure 2a). The range of realized phonon frequencies increase under pressure, as a result of the decreased volume of the system. Nevertheless, the system is stable and does not exhibit phonon softening.
3.3. Electronic Properties
Now, we briefly describe the electronic properties of the NbReSi system with stable the P2m symmetry. The obtained electronic band structure (Figure 6) is in agreement with the initial one presented in Ref. [31].
Figure 6.
The electronic band structure along high symmetry directions for the P2m symmetry in the absence and presence of spin–orbit coupling (orange and blue lines, respectively).
The SOC band splitting near the Fermi level is estimated to be 180 meV. This is a relatively high value of the SOC in comparison to the other noncentrosymmetric superconductors [3], suggesting the realization of topological superconductivity in NbReSi. A significant role of the antisymmetric SOC is well visible along the c direction (e.g., the M–L or K–H paths in Figure 6). A large SOC is observed in the plane (e.g., along the –M–K– path), in contrast to a relatively suppressed value of the SOC for (e.g., along the A–L–H–A)
The Fermi surface is presented in Figure 7. In the absence of SOC, the Fermi surface is composed of three pockets. Introduction of the SOC leads to band decoupling, whereas the Fermi surface preserves the shape unchanged qualitatively. Surprisingly, the Fermi surface exhibits quasi-one-dimensional features (i.e., the Fermi surface pocket are given by relatively flat pieces for , see Figure 7b).
Figure 7.
The Fermi surface for the P2m symmetry (in the absence of spin–orbit coupling). Panel (a) presents the total Fermi surface, while panels (b–d) show separated pockets.
The features of the electronic band structure, as well as the Fermi surface topology, make NbReSi very similar to the CrAs (A = K, Rb, Cs) [47,48,49,50] and KMoAs [50,51] compounds. NbReSi does not exhibit any magnetic order features (the ground state is nonmagnetic), while mentioned CrAs poses magnetic order [52]. Regardless of this, the electronic band structure at is characterized by a relatively large gap, which was observed in both cases. For NbReSi, the states around the Fermi level are mostly composed of Re- and Nb- orbitals [31], while for CrAs, Cr- orbitals have the greatest contribution [47]. The Fermi surface of NbReSi is very similar to CrAs [47,48,49,50] or KMoAs [50,51] (both cases with P2m symmetry).
Here, we should mention that despite having the same symmetry, the two structures possess different intrinsic features: e.g., CrAs contains quasi-one-dimensional chain of Cr atoms along the c direction, while NbReSi has layers of distorted kagome-like sublattice of Nb and Re atoms in the plane (see Figure 1). This causes detailed differences in the electronic band structure. Quasi-one-dimensional chains in CrAs are related to the nearly flat bands within the plane and a strong dependence of the electron dispersion. In NbReSi, too, we observe strong -dependence of the electron dispersion. Additionally, the absence of characteristic band structure features for the kagome-like structure is observed (i.e., absence of the flat bands). This can be related to the relatively large distances between atoms in the distorted kagome-like planes ( Å and Å for Nb–Nb and Re–Re pairs, respectively; cf. Figure 1).
The smaller distance between the atoms is related to the bonding between Re and Si (distance around Å), and can have a relatively strong impact on the electronic properties. Indeed, the charge density distribution analyses (not presented) provide a signature of a strong bonding within these pairs. Such a structure with a strong bonding between the atoms along c can be responsible for the quasi-one-dimensional character of NbReSi visible on the Fermi surface.
4. Summary and Conclusions
We discussed the basic properties of the recently experimentally studied noncentrosymmetric superconductor, NbReSi. The experiments suggest the realization of the P2m symmetry (cf. Refs. [30,31]) or Ima2 (cf. Ref. [32]) symmetry. Using the ab initio technique, we demonstrate that NbReSi is stable with the P2m symmetry, while the Ima2 phase exhibits (imaginary) phonon soft modes. This can be verified in a relatively simple way by the Raman scattering measurements. The NbReSi with the P2m symmetry is stable also under hydrostatic pressure. We also found that the phonon surface states can be realized by NbReSi with the P2m symmetry, for (100) and (110) surfaces.
NbReSi with stable the P2m symmetry exhibits the electronic band structure and the Fermi surface very similar to quasi-one-dimensional CrAs [53]. Surprisingly, the Fermi surface of NbReSi uncovers quasi-one-dimensional features, which can be associated with the realization of the quasi-one-dimensional chains of Re–Si, with a strong bonding between the atoms. Additionally, the relatively large value of spin–orbit coupling, as well as similarities to CrAs promote this compound as a good candidate for the realization of unconventional superconductivity.
Author Contributions
A.P. initialized this project; S.B. and A.P. realized theoretical calculations; A.P. prepared the first version of the manuscript. All authors have read and agreed to the published version of the manuscript.
Funding
This work was supported by National Science Centre (NCN, Poland) under Projects No. 2021/43/B/ST3/02166 (A.P.).
Institutional Review Board Statement
Not applicable.
Informed Consent Statement
Not applicable.
Data Availability Statement
Not applicable.
Acknowledgments
Some figures in this work were rendered using Vesta [54] and XCrySDen [55]. A.P. appreciates funding in the framework of scholarships of the Minister of Science and Higher Education (Poland) for outstanding young scientists (2019 edition, No. 818/STYP/14/2019).
Conflicts of Interest
The authors declare no conflict of interest.
References
- Yip, S. Noncentrosymmetric Superconductors. Annu. Rev. Condens. Matter Phys. 2014, 5, 15–33. [Google Scholar] [CrossRef]
- Zhang, X.; Liu, J.; Liu, F. Topological Superconductivity Based on Antisymmetric Spin–Orbit Coupling. Nano Lett. 2022, 22, 9000–9005. [Google Scholar] [CrossRef] [PubMed]
- Smidman, M.; Salamon, M.B.; Yuan, H.Q.; Agterberg, D.F. Superconductivity and spin–orbit coupling in non-centrosymmetric materials: A review. Rep. Prog. Phys. 2017, 80, 036501. [Google Scholar] [CrossRef] [PubMed]
- Gor’kov, L.P.; Rashba, E.I. Superconducting 2D System with Lifted Spin Degeneracy: Mixed Singlet-Triplet State. Phys. Rev. Lett. 2001, 87, 037004. [Google Scholar] [CrossRef] [PubMed]
- Ptok, A.; Rodríguez, K.; Kapcia, K.J. Superconducting monolayer deposited on substrate: Effects of the spin-orbit coupling induced by proximity effects. Phys. Rev. Mater. 2018, 2, 024801. [Google Scholar] [CrossRef]
- Bauer, E.; Hilscher, G.; Michor, H.; Paul, C.; Scheidt, E.W.; Gribanov, A.; Seropegin, Y.; Noël, H.; Sigrist, M.; Rogl, P. Heavy Fermion Superconductivity and Magnetic Order in Noncentrosymmetric CePt3Si. Phys. Rev. Lett. 2004, 92, 027003. [Google Scholar] [CrossRef] [PubMed]
- Togano, K.; Badica, P.; Nakamori, Y.; Orimo, S.; Takeya, H.; Hirata, K. Superconductivity in the Metal Rich Li-Pd-B Ternary Boride. Phys. Rev. Lett. 2004, 93, 247004. [Google Scholar] [CrossRef]
- Yuan, H.Q.; Agterberg, D.F.; Hayashi, N.; Badica, P.; Vandervelde, D.; Togano, K.; Sigrist, M.; Salamon, M.B. S-Wave Spin-Triplet Order in Superconductors without Inversion Symmetry: Li2Pd3B and Li2Pt3B. Phys. Rev. Lett. 2006, 97, 017006. [Google Scholar] [CrossRef]
- Bauer, E.; Khan, R.T.; Michor, H.; Royanian, E.; Grytsiv, A.; Melnychenko-Koblyuk, N.; Rogl, P.; Reith, D.; Podloucky, R.; Scheidt, E.W.; et al. BaPtSi3: A noncentrosymmetric BCS-like superconductor. Phys. Rev. B 2009, 80, 064504. [Google Scholar] [CrossRef]
- Bonalde, I.; Ribeiro, R.L.; Syu, K.J.; Sung, H.H.; Lee, W.H. Nodal gap structure in the noncentrosymmetric superconductor LaNiC2 from magnetic-penetration-depth measurements. New J. Phys. 2011, 13, 123022. [Google Scholar] [CrossRef]
- Nishikubo, Y.; Kudo, K.; Nohara, M. Superconductivity in the Honeycomb-Lattice Pnictide SrPtAs. J. Phys. Soc. Jpn. 2011, 80, 055002. [Google Scholar] [CrossRef]
- Klepp, K.; Parthé, E. RPtSi phases (R = La, Ce, Pr, Nd, Sm and Gd) with an ordered ThSi2 derivative structure. Acta Crystallogr. B 1982, 38, 1105–1108. [Google Scholar] [CrossRef]
- Kneidinger, F.; Michor, H.; Sidorenko, A.; Bauer, E.; Zeiringer, I.; Rogl, P.; Blaas-Schenner, C.; Reith, D.; Podloucky, R. Synthesis, characterization, electronic structure, and phonon properties of the noncentrosymmetric superconductor LaPtSi. Phys. Rev. B 2013, 88, 104508. [Google Scholar] [CrossRef]
- Bao, J.K.; Liu, J.Y.; Ma, C.W.; Meng, Z.H.; Tang, Z.T.; Sun, Y.L.; Zhai, H.F.; Jiang, H.; Bai, H.; Feng, C.M.; et al. Superconductivity in Quasi-One-Dimensional K2Cr3As3 with Significant Electron Correlations. Phys. Rev. X 2015, 5, 011013. [Google Scholar] [CrossRef]
- Tang, Z.T.; Bao, J.K.; Liu, Y.; Sun, Y.L.; Ablimit, A.; Zhai, H.F.; Jiang, H.; Feng, C.M.; Xu, Z.A.; Cao, G.H. Unconventional superconductivity in quasi-one-dimensional Rb2Cr3As3. Phys. Rev. B 2015, 91, 020506. [Google Scholar] [CrossRef]
- Tang, Z.T.; Bao, J.K.; Wang, Z.; Bai, H.; Jiang, H.; Liu, Y.; Zhai, H.F.; Feng, C.M.; Xu, Z.A.; Cao, G.H. Superconductivity in quasi-one-dimensional Cs2Cr3As3 with large interchain distance. Sci. China Mater. 2015, 58, 16–20. [Google Scholar] [CrossRef]
- Mu, Q.G.; Ruan, B.B.; Zhao, K.; Pan, B.J.; Liu, T.; Shan, L.; Chen, G.F.; Ren, Z.A. Superconductivity at 10.4 K in a novel quasi-one-dimensional ternary molybdenum pnictide K2Mo3As3. Sci. Bull. 2018, 63, 952–956. [Google Scholar] [CrossRef]
- Carnicom, E.M.; Xie, W.; Klimczuk, T.; Lin, J.; Górnicka, K.; Sobczak, Z.; Ong, N.P.; Cava, R.J. TaRh2B2 and NbRh2B2: Superconductors with a chiral noncentrosymmetric crystal structure. Sci. Adv. 2018, 4, eaar7969. [Google Scholar] [CrossRef] [PubMed]
- Domieracki, K.; Kaczorowski, D. Superconductivity in a non-centrosymmetric compound ThCoSi. J. Alloys Compd. 2016, 688, 206–210. [Google Scholar] [CrossRef]
- Domieracki, K.; Kaczorowski, D. Superconductivity in non-centrosymmetric ThNiSi. J. Alloys Compd. 2018, 731, 64–69. [Google Scholar] [CrossRef]
- Ptok, A.; Domieracki, K.; Kapcia, K.J.; Łażewski, J.; Jochym, P.T.; Sternik, M.; Piekarz, P.; Kaczorowski, D. Electronic and lattice properties of noncentrosymmetric superconductors ThTSi (T= Co, Ir, Ni, and Pt). Phys. Rev. B 2019, 100, 165130. [Google Scholar] [CrossRef]
- Khim, S.; Landaeta, J.F.; Banda, J.; Bannor, N.; Brando, M.; Brydon, P.M.R.; Hafner, D.; Küchler, R.; Cardoso-Gil, R.; Stockert, U.; et al. Field-induced transition within the superconducting state of CeRh2As2. Science 2021, 373, 1012–1016. [Google Scholar] [CrossRef]
- Ptok, A.; Kapcia, K.J.; Jochym, P.T.; Łażewski, J.; Oleś, A.M.; Piekarz, P. Electronic and dynamical properties of CeRh2As2: Role of Rh2As2 layers and expected orbital order. Phys. Rev. B 2021, 104, L041109. [Google Scholar] [CrossRef]
- Welter, R.; Venturini, G.; Malaman, B.; Ressouche, E. Crystallographic data and magnetic properties of new RTX compounds (R=La-Sm, Gd; T=Ru, Os; X=Si, Ge). Magnetic structure of NdRuSi. J. Alloys Compd. 1993, 202, 165–172. [Google Scholar] [CrossRef]
- Morozkin, A.; Seropegin, Y.; Sviridov, I.; Riabinkin, I. Crystallographic data of new ternary Co2Si-type RTSi (R = Y, Tb-Tm, T = Mn, Ru) compounds. J. Alloys Compd. 1999, 282, L4–L5. [Google Scholar] [CrossRef]
- Subba Rao, G.V.; Wagner, K.; Balakrishnan, G.; Janaki, J.; Paulus, W.; Schöllhorn, R.; Subramanian, V.S.; Poppe, U. Structure and superconductivity studies on ternary equiatomic silicides, MM’Si. Bull. Mater. Sci. 1985, 7, 215–228. [Google Scholar] [CrossRef]
- Sajilesh, K.P.; Singh, R.P. Superconducting properties of the non-centrosymmetric superconductors TaXSi (X = Re, Ru). Supercond. Sci. Technol. 2021, 34, 055003. [Google Scholar] [CrossRef]
- Sharma, S.; Sajilesh, K.P.; Richards, A.D.S.; Gautreau, J.; Pula, M.; Beare, J.; Kojima, K.M.; Yoon, S.; Cai, Y.; Kushwaha, R.K.; et al. Role of spin orbital coupling in unconventional superconductivity. arXiv 2022, arXiv:2209.09852. [Google Scholar] [CrossRef]
- Shang, T.; Zhao, J.; Hu, L.H.; Ma, J.; Gawryluk, D.J.; Zhu, X.; Zhang, H.; Zhen, Z.; Yu, B.; Xu, Y.; et al. Unconventional superconductivity in topological Kramers nodal-line semimetals. Sci. Adv. 2022, 8, eabq6589. [Google Scholar] [CrossRef]
- Shang, T.; Tay, D.; Su, H.; Yuan, H.Q.; Shiroka, T. Evidence of fully gapped superconductivity in NbReSi: A combined μSR and NMR study. Phys. Rev. B 2022, 105, 144506. [Google Scholar] [CrossRef]
- Su, H.; Shang, T.; Du, F.; Chen, C.F.; Ye, H.Q.; Lu, X.; Cao, C.; Smidman, M.; Yuan, H.Q. NbReSi: A noncentrosymetric superconductor with large upper critical field. Phys. Rev. Mater. 2021, 5, 114802. [Google Scholar] [CrossRef]
- Sajilesh, K.P.; Motla, K.; Meena, P.K.; Kataria, A.; Patra, C.; Somesh, K.; Hillier, A.D.; Singh, R.P. Superconductivity in noncentrosymmetric NbReSi investigated by muon spin rotation and relaxation. Phys. Rev. B 2022, 105, 094523. [Google Scholar] [CrossRef]
- Blöchl, P.E. Projector augmented-wave method. Phys. Rev. B 1994, 50, 17953. [Google Scholar] [CrossRef]
- Kresse, G.; Hafner, J. Ab initio molecular-dynamics simulation of the liquid-metal–amorphous-semiconductor transition in germanium. Phys. Rev. B 1994, 49, 14251. [Google Scholar] [CrossRef] [PubMed]
- Kresse, G.; Furthmüller, J. Efficient iterative schemes for ab initio total-energy calculations using a plane-wave basis set. Phys. Rev. B 1996, 54, 11169. [Google Scholar] [CrossRef]
- Kresse, G.; Joubert, D. From ultrasoft pseudopotentials to the projector augmented-wave method. Phys. Rev. B 1999, 59, 1758. [Google Scholar] [CrossRef]
- Perdew, J.P.; Burke, K.; Ernzerhof, M. Generalized Gradient Approximation Made Simple. Phys. Rev. Lett. 1996, 77, 3865. [Google Scholar] [CrossRef]
- Monkhorst, H.J.; Pack, J.D. Special points for Brillouin-zone integrations. Phys. Rev. B 1976, 13, 5188. [Google Scholar] [CrossRef]
- Parlinski, K.; Li, Z.Q.; Kawazoe, Y. First-Principles Determination of the Soft Mode in Cubic ZrO2. Phys. Rev. Lett. 1997, 78, 4063. [Google Scholar] [CrossRef]
- Togo, A.; Tanaka, I. First principles phonon calculations in materials science. Scr. Mater. 2015, 108, 1–5. [Google Scholar] [CrossRef]
- Tadano, T.; Gohda, Y.; Tsuneyuki, S. Anharmonic force constants extracted from first-principles molecular dynamics: Applications to heat transfer simulations. J. Phys. Condens. Matter 2014, 26, 225402. [Google Scholar] [CrossRef]
- Sancho, M.P.L.; Sancho, J.M.L.; Sancho, J.M.L.; Rubio, J. Highly convergent schemes for the calculation of bulk and surface Green functions. J. Phys. F Met. Phys. 1985, 15, 851. [Google Scholar] [CrossRef]
- Wu, Q.S.; Zhang, S.N.; Song, H.F.; Troyer, M.; Soluyanov, A.A. WannierTools: An open-source software package for novel topological materials. Comput. Phys. Commun. 2018, 224, 405–416. [Google Scholar] [CrossRef]
- Ivantchev, S.; Kroumova, E.; Madariaga, G.; Pérez-Mato, J.M.; Aroyo, M.I. SUBGROUPGRAPH: A computer program for analysis of group–subgroup relations between space groups. J. Appl. Cryst. 2000, 33, 1190–1191. [Google Scholar] [CrossRef]
- Kroumova, E.; Aroyo, M.I.; Perez-Mato, J.M.; Kirov, A.; Capillas, C.; Ivantchev, S.; Wondratschek, H. Bilbao Crystallographic Server: Useful Databases and Tools for Phase-Transition Studies. Phase Transitions 2003, 76, 155–170. [Google Scholar] [CrossRef]
- Li, J.; Wang, L.; Liu, J.; Li, R.; Zhang, Z.; Chen, X.Q. Topological phonons in graphene. Phys. Rev. B 2020, 101, 081403. [Google Scholar] [CrossRef]
- Jiang, H.; Cao, G.; Cao, C. Electronic structure of quasi-one-dimensional superconductor K2Cr3As3 from first-principles calculations. Sci. Rep. 2015, 5, 16054. [Google Scholar] [CrossRef]
- Cuono, G.; Autieri, C.; Forte, F.; Mercaldo, M.T.; Romano, A.; Avella, A.; Noce, C. A minimal tight-binding model for the quasi-one-dimensional superconductor K2Cr3As3. New J. Phys. 2019, 21, 063027. [Google Scholar] [CrossRef]
- Xu, C.; Wu, N.; Zhi, G.X.; Lei, B.H.; Duan, X.; Ning, F.; Cao, C.; Chen, Q. Coexistence of nontrivial topological properties and strong ferromagnetic fluctuations in quasi-one-dimensional A2Cr3As3. npj Comput. Mater. 2020, 6, 30. [Google Scholar] [CrossRef]
- Taddei, K.M.; Lei, B.H.; Susner, M.A.; Zhai, H.F.; Bullard, T.J.; Sanjeewa, L.D.; Zheng, Q.; Sefat, A.S.; Chi, S.; dela Cruz, C.; et al. Gapless spin-excitations in the superconducting state of a quasi-one-dimensional spin-triplet superconductor. arXiv 2022, arXiv:2206.11757. [Google Scholar] [CrossRef]
- Yang, Y.; Feng, S.Q.; Lu, H.Y.; Wang, W.S.; Chen, Z.P. Electronic Structures of Newly Discovered Quasi-One-Dimensional Superconductors A2Mo3As3 (A = K, Rb, Cs). J. Supercond. Nov. Magn. 2019, 32, 2421–2426. [Google Scholar] [CrossRef]
- Wu, X.X.; Le, C.C.; Yuan, J.; Fan, H.; Hu, J.P. Magnetism in Quasi-One-Dimensional A2Cr3As3 (A = K, Rb) Superconductors. Chin. Phys. Lett. 2015, 32, 057401. [Google Scholar] [CrossRef]
- Wu, X.; Yang, F.; Le, C.; Fan, H.; Hu, J. Triplet pz-wave pairing in quasi-one-dimensional A2Cr3As3 superconductors (A = K, Rb, Cs). Phys. Rev. B 2015, 92, 104511. [Google Scholar] [CrossRef]
- Momma, K.; Izumi, F. vesta3 for three-dimensional visualization of crystal, volumetric and morphology data. J. Appl. Crystallogr. 2011, 44, 1272–1276. [Google Scholar] [CrossRef]
- Kokalj, A. XCrySDen—A new program for displaying crystalline structures and electron densities. J. Mol. Graphics Modelling 1999, 17, 176–179. [Google Scholar] [CrossRef] [PubMed]
Disclaimer/Publisher’s Note: The statements, opinions and data contained in all publications are solely those of the individual author(s) and contributor(s) and not of MDPI and/or the editor(s). MDPI and/or the editor(s) disclaim responsibility for any injury to people or property resulting from any ideas, methods, instructions or products referred to in the content. |
© 2022 by the authors. Licensee MDPI, Basel, Switzerland. This article is an open access article distributed under the terms and conditions of the Creative Commons Attribution (CC BY) license (https://creativecommons.org/licenses/by/4.0/).






