Behavior of Engineered Cementitious Composites (ECCs) Subjected to Coupled Sustained Flexural Load and Salt Frost
Abstract
1. Introduction
2. Materials and Methods
2.1. Materials and Specimen Preparation
2.2. Four-Point Bending Test
2.3. Coupled Sustained Loading and De-Icing Salt Scaling Test
2.4. Chloride Penetration Depth Measurement
2.5. Free Chloride Content Measurement
3. Results
3.1. Flexural Capacity
3.2. Fluid Absorption
3.3. RDEM
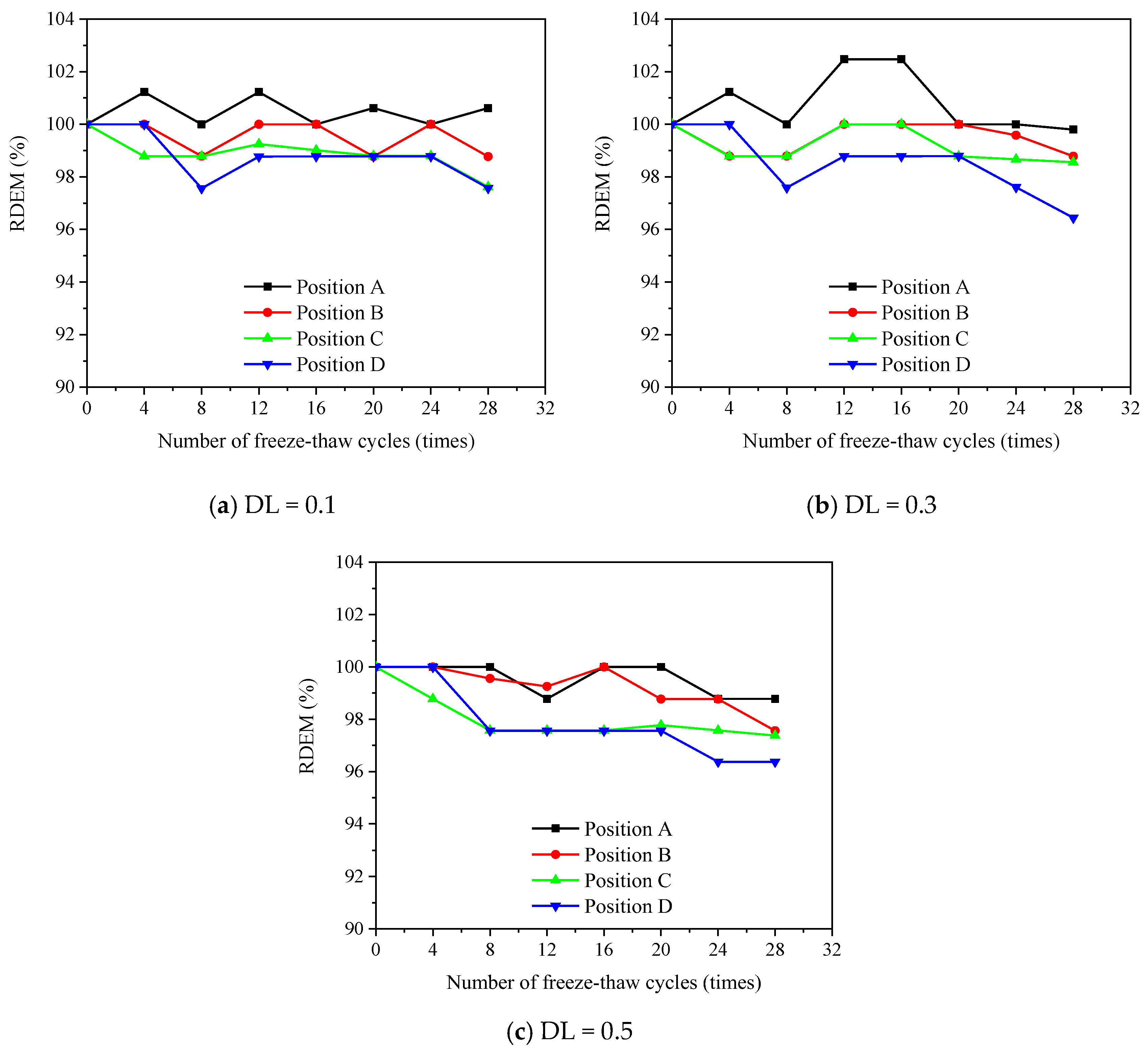
3.3.1. Longitudinal RDEM
3.3.2. Transversal RDEM
3.4. Chloride Penetration Depth
3.5. Free Chloride Content Profile
4. Conclusions
- Both the sustained load and salt concentration (no more than 5%) result in higher fluid absorption. The water absorption distributes in the range of 600–1800 g/m2. The increment rate decreases with the salt concentration.
- A 3% NaCl solution leads to the largest deterioration under salt frost with or without load. A linear relationship can be used to describe the relationship between locally sustained flexural stress and RDEM loss after FTCs. The load level is most significant on the RDEM loss in 3% NaCl solution (i.e., the pessimum concentration). The RDEM loss rate in the 3% NaCl solution is almost 50% greater than others.
- The chloride penetration depth increases with the locally sustained flexural stress. A significant increment of chloride penetration depth is observed when salt concentration increases from 1% to 3%. Almost 100% increment occurs in the pure bending zone, while no big difference is found between 3% and 5% salt concentrations.
- After FTCs, the free chloride content at a depth of 0–5 mm does not show remarkable difference for the 3% and 5% salt solutions. Regarding depth of 15–20 mm, when no load is applied, the free chloride content for 3% salt solution is smaller than that of 5% salt solution. Once the sustained load is applied, the free chloride content for 3% salt solution is higher than the 5% salt solution. The difference increases with the DL.
- When the ECC is subjected to the FTCs under 1% de-ice salt solution, no depassivation of the steel is expected even under a large deflection level. In terms of 3% and 5% salt solution, the thickness of cover should be no less than 20 mm when DL = 0.5 is applied.
Author Contributions
Funding
Institutional Review Board Statement
Informed Consent Statement
Data Availability Statement
Acknowledgments
Conflicts of Interest
References
- Bentur, A.; Mindess, S. Fibre Reinforced Cementitious Composites; CRC Press: Boca Raton, FL, USA, 2006. [Google Scholar]
- Van Zijl, G.P.A.G.; Wittmann, F.H. On Durability of SHCC. J. Adv. Concr. Technol. 2010, 8, 261–271. [Google Scholar] [CrossRef][Green Version]
- Li, H.D.; Xu, S.L.; Leung, C.K.Y. Tensile and flexural properties of ultra high toughness cemontious composite. J. Wuhan Univ. Technol. Mater. Sci. Ed. 2009, 24, 677–683. [Google Scholar] [CrossRef]
- Moradi, N.; Tavana, M.H.; Habibi, M.R.; Amiri, M.; Moradi, M.J.; Farhangi, V.J.M. Predicting the Compressive Strength of Concrete Containing Binary Supplementary Cementitious Material Using Machine Learning Approach. Materials 2022, 15, 5336. [Google Scholar] [CrossRef] [PubMed]
- Shanmugasundaram, N.; Praveenkumar, S.J.C. Influence of supplementary cementitious materials, curing conditions and mixing ratios on fresh and mechanical properties of engineered cementitious composites—A review. Constr. Build. Mater. 2021, 309, 125038. [Google Scholar] [CrossRef]
- Farhangi, V.; Karakouzian, M.J.A.S. Effect of fiber reinforced polymer tubes filled with recycled materials and concrete on structural capacity of pile foundations. Appl. Sci. 2020, 10, 1554. [Google Scholar] [CrossRef]
- Suthiwarapirak, P.; Matsumoto, T.; Kanda, T. Multiple cracking and fiber bridging characteristics of engineered cementitious composites under fatigue flexure. J. Mater. Civ. Eng. 2004, 16, 433–443. [Google Scholar] [CrossRef]
- Qian, S.Z.; Zhou, J.; Schlangen, E. Influence of curing condition and precracking time on the self-healing behavior of Engineered Cementitious Composites. Cem. Concr. Compos. 2010, 32, 686–693. [Google Scholar] [CrossRef]
- Yang, Y.; Yang, E.-H.; Li, V.C. Autogenous healing of engineered cementitious composites at early age. Cem. Concr. Res. 2011, 41, 176–183. [Google Scholar] [CrossRef]
- Zhao, Y.J.; Jiang, J.W.; Ni, F.J.; Zhou, L. Fatigue Cracking Resistance of Engineered Cementitious Composites (ECC) under Working Condition of Orthotropic Steel Bridge Decks Pavement. Appl. Sci. 2019, 9, 3577. [Google Scholar] [CrossRef]
- Guan, Y.H.; Wu, J.J.; Sun, R.J.; Zhang, H.Z.; Hu, Y.Q.; Wang, F. Transverse Flexural Behaviour of Steel-Engineering Cementitious Composites (ECC) Composite Deck under Negative and Positive Bending Forces. KSCE J. Civ. Eng. 2021, 25, 2962–2973. [Google Scholar] [CrossRef]
- Zhang, J.; Li, V.C. Monotonic and fatigue performance in bending of fiber-reinforced engineered cementitious composite in overlay system. Cem. Concr. Res. 2002, 32, 415–423. [Google Scholar] [CrossRef]
- Mustafa, S.; Singh, S.; Hordijk, D.; Schlangen, E.; Luković, M. Experimental and numerical investigation on the role of interface for crack-width control of hybrid SHCC concrete beams. Eng. Struct. 2022, 251, 113378. [Google Scholar] [CrossRef]
- Luković, M.; Hordijk, D.; Huang, Z.; Schlangen, E. Strain Hardening Cementitious Composite (SHCC) for crack width control in reinforced concrete beams. Heron 2019, 64, 181. [Google Scholar]
- Huang, B.T.; Li, Q.H.; Xu, S.L.; Zhang, L. Static and fatigue performance of reinforced concrete beam strengthened with strain-hardening fiber-reinforced cementitious composite. Eng. Struct. 2019, 199, 109576. [Google Scholar] [CrossRef]
- Sahmaran, M.; Li, M.; Li, V.C. Transport properties of engineered cementitious composites under chloride exposure. ACI Mater. J. 2007, 104, 604–611. [Google Scholar]
- Lepech, M.D.; Li, V.C. Water permeability of engineered cementitious composites. Cem. Concr. Compos. 2009, 31, 744–753. [Google Scholar] [CrossRef]
- Ng, K.; Sun, Y.; Dai, Q.L.; Yu, X. Investigation of internal frost damage in cementitious materials with micromechanics analysis, SEM imaging and ultrasonic wave scattering techniques. Constr. Build. Mater. 2014, 50, 478–485. [Google Scholar] [CrossRef]
- Sutter, L.; Peterson, K.; Julio-Betancourt, G.; Hooton, D.; Dam, T.V.; Smith, K. The Deleterious Chemical Effects of Concentrated Deicing Solutions on Portland Cement Concrete; South Dakota Department of Transportation, Office of Research: Pierre, SD, USA, 2008. [Google Scholar]
- Pigeon, M. Durability of Concrete in Cold Climates; CRC Press: Boca Raton, FL, USA, 2014. [Google Scholar]
- Valenza, J.J., II; Scherer, G.W. A review of salt scaling: I. Phenomenology. Cem. Concr. Res. 2007, 37, 1007–1021. [Google Scholar] [CrossRef]
- Amini, K. Toward Salt-Scaling Resistant Concrete; Iowa State University: Iowa City, IA, USA, 2018. [Google Scholar]
- Scherer, G.W. Crystallization in pores. Cem. Concr. Res. 1999, 29, 1347–1358. [Google Scholar] [CrossRef]
- Valenza, J.J.; Scherer, G.W. A Review of Salt Scaling: II. Mechanisms. Cem. Concr. Res. 2007, 37, 1022–1034, Erratum in Cem. Concr. Res. 2019, 116, 70. [Google Scholar] [CrossRef]
- Shi, X.M.; Fay, L.; Peterson, M.M.; Berry, M.; Mooney, M. A FESEM/EDX investigation into how continuous deicer exposure affects the chemistry of Portland cement concrete. Constr. Build. Mater. 2011, 25, 957–966. [Google Scholar] [CrossRef]
- Shi, X.; Akin, M.; Pan, T.; Fay, L.; Liu, Y.; Yang, Z.J. Deicer impacts on pavement materials: Introduction and recent developments. Open Civ. Eng. J. 2009, 3, 16–27. [Google Scholar] [CrossRef]
- Li, Y.X.; Fang, Y.D.; Seeley, N.; Jungwirth, S.; Jackson, E.; Shi, X.M. Corrosion by Chloride Deicers on Highway Maintenance Equipment Renewed Perspective and Laboratory Investigation. Transp. Res. Rec. 2013, 2361, 106–113. [Google Scholar] [CrossRef]
- Liu, Y.S.; Zhou, X.M.; Lv, C.B.; Yang, Y.Z.; Liu, T.A. Use of Silica Fume and GGBS to Improve Frost Resistance of ECC with High-Volume Fly Ash. Adv. Civ. Eng. 2018, 2018. [Google Scholar] [CrossRef]
- Nam, J.; Kim, G.; Lee, B.; Hasegawa, R.; Hama, Y. Frost resistance of polyvinyl alcohol fiber and polypropylene fiber reinforced cementitious composites under freeze thaw cycling. Compos. Part B Eng. 2016, 90, 241–250. [Google Scholar] [CrossRef]
- van Zijl, G.P.A.G.; Wittmann, F.H.; Oh, B.H.; Kabele, P.; Toledo Filho, R.D.; Fairbairn, E.M.R.; Slowik, V.; Ogawa, A.; Hoshiro, H.; Mechtcherine, V.; et al. Durability of strain-hardening cement-based composites (SHCC). Mater. Struct. 2012, 45, 1447–1463. [Google Scholar] [CrossRef]
- Şahmaran, M.; Li, V.C. De-icing salt scaling resistance of mechanically loaded engineered cementitious composites. Cem. Concr. Res. 2007, 37, 1035–1046. [Google Scholar] [CrossRef]
- Yin, L.; Yan, C.; Liu, S. Freeze–Thaw Durability of Strain-Hardening Cement-Based Composites under Combined Flexural Load and Chloride Environment. Materials 2018, 11, 1721. [Google Scholar] [CrossRef]
- Ge, Z.; Tawfek, A.M.; Zhang, H.Z.; Yang, Y.W.; Yuan, H.Q.; Sun, R.J.; Wang, Z. Influence of an extrusion approach on the fiber orientation and mechanical properties of engineering cementitious composite. Constr. Build. Mater. 2021, 306, 124876. [Google Scholar] [CrossRef]
- Sun, R.; Han, L.; Zhang, H.; Ge, Z.; Guan, Y.; Ling, Y.; Schlangen, E.; Šavija, B. Fatigue life and cracking characterization of engineered cementitious composites (ECC) under flexural cyclic load. Constr. Build. Mater. 2022, 335, 127465. [Google Scholar] [CrossRef]
- Zhang, W.; Pi, Y.; Kong, W.; Zhang, Y.; Wu, P.; Zeng, W.; Yang, F. Influence of damage degree on the degradation of concrete under freezing-thawing cycles. Constr. Build. Mater. 2020, 260, 119903. [Google Scholar] [CrossRef]
- Otsuki, N.; Nagataki, S.; Nakashita, K. Evaluation of AgNO 3 solution spray method for measurement of chloride penetration into hardened cementitious matrix materials. Mater. J. 1992, 89, 587–592. [Google Scholar]
- Słomka-Słupik, B.; Podwórny, J.; Staszuk, M. Corrosion of cement pastes made of CEM I and CEM III/A caused by a saturated water solution of ammonium chloride after 4 and 25 days of aggressive immersion. Constr. Build. Mater. 2018, 170, 279–289. [Google Scholar] [CrossRef]
- Šavija, B.; Luković, M.; Schlangen, E. Influence of Cracking on Moisture Uptake in Strain-Hardening Cementitious Composites. J. Nanomechanics Micromechanics 2017, 7. [Google Scholar] [CrossRef]
- Qiu, W.L.; Teng, F.; Pan, S.S. Damage constitutive model of concrete under repeated load after seawater freeze-thaw cycles. Constr. Build. Mater. 2020, 236, 117560. [Google Scholar] [CrossRef]
- Yang, Q. One of mechanisms on the deicer-frost scaling of concrete (II): Degree of saturation and ice-formation pressure during freezing-thawing cycles. J. Build. Mater 2012, 6, 741–746. [Google Scholar]
- Yu, J.; Gao, S.; Hou, D.; Wang, P.; Sun, G. Water Transport Mechanisms of Poly(acrylic acid), Poly(vinyl alcohol), and Poly(ethylene glycol) in C-S-H Nanochannels: A Molecular Dynamics Study. J. Phys. Chem. B 2020, 124, 6095–6104. [Google Scholar] [CrossRef]
- Al-Kutti, W.; Nasir, M.; Johari, M.A.M.; Islam, A.B.M.S.; Manda, A.A.; Blaisi, N.I. An overview and experimental study on hybrid binders containing date palm ash, fly ash, OPC and activator composites. Constr. Build. Mater. 2018, 159, 567–577. [Google Scholar] [CrossRef]
- Heravi, A.A.; Mosig, O.; Tawfik, A.; Curbach, M.; Mechtcherine, V. An experimental investigation of the behavior of strain-hardening cement-based composites (SHCC) under impact compression and shear loading. Materials 2020, 13, 4514. [Google Scholar] [CrossRef]
- Romero Rodríguez, C.; França de Mendonça Filho, F.; Chaves Figueiredo, S.; Schlangen, E.; Šavija, B. Fundamental investigation on the frost resistance of mortar with microencapsulated phase change materials. Cem. Concr. Compos. 2020, 113, 103705. [Google Scholar] [CrossRef]
- Gong, F.Y.; Takahashi, Y.; Segawa, I.; Maekawa, K. Mechanical properties of concrete with smeared cracking by alkali-silica reaction and freeze-thaw cycles. Cem. Concr. Compos. 2020, 111, 103623. [Google Scholar] [CrossRef]
- Zhang, P.; Dai, Y.Q.; Ding, X.Y.; Zhou, C.S.; Xue, X.; Zhao, T.J. Self-healing behaviour of multiple microcracks of strain hardening cementitious composites (SHCC). Constr. Build. Mater. 2018, 169, 705–715. [Google Scholar] [CrossRef]
- Çopuroğlu, O.; Schlangen, E. Modeling of frost salt scaling. Cem. Concr. Res. 2008, 38, 27–39. [Google Scholar] [CrossRef]
- He, Z.; Tang, S.W.; Zhao, G.S.; Chen, E. Comparison of three and one dimensional attacks of freeze-thaw and carbonation for concrete samples. Constr. Build. Mater. 2016, 127, 596–606. [Google Scholar] [CrossRef]
- Chuang, W.; Geng-sheng, J.; Bing-liang, L.; Lei, P.; Ying, F.; Ni, G.; Ke-zhi, L. Dispersion of carbon fibers and conductivity of carbon fiber-reinforced cement-based composites. Ceram. Int. 2017, 43, 15122–15132. [Google Scholar] [CrossRef]
- Wu, Z.; Shi, C.; Gao, P.; Wang, D.; Cao, Z. Effects of deicing salts on the scaling resistance of concrete. J. Mater. Civ. Eng. 2015, 27, 04014160. [Google Scholar] [CrossRef]
- Sun, R.; Hu, X.; Ling, Y.; Zuo, Z.; Zhuang, P.; Wang, F. Chloride diffusion behavior of engineered cementitious composite under dry-wet cycles. Constr. Build. Mater. 2020, 260, 119943. [Google Scholar] [CrossRef]
- Angst, U.; Elsener, B.; Larsen, C.K.; Vennesland, Ø. Critical chloride content in reinforced concrete—A review. Cem. Concr. Res. 2009, 39, 1122–1138. [Google Scholar] [CrossRef]
- Schießl, P.; Bamforth, P.; Baroghel-Bouny, V.; Corley, G.; Faber, M.; Forbes, J.; Gehlen, C.; Helene, P.; Helland, S.; Ishida, T.; et al. Model Code for Service Life Design; fib bulletin No. 34; International Federation for Structural Concrete: Lausanne, Switzerland, 2006. [Google Scholar]
- Ghanem, H.; Phelan, S.; Senadheera, S.; Pruski, K. Chloride ion transport in bridge deck concrete under different curing durations. J. Bridg. Eng. 2008, 13, 218–225. [Google Scholar] [CrossRef][Green Version]
- Ghanem, H.; Trad, A.; Dandachy, M.; ElKordi, A. Effect of Wet-Mat Curing Time on Chloride Permeability of Concrete Bridge Decks. In International Congress and Exhibition “Sustainable Civil Infrastructures: Innovative Infrastructure Geotechnology”; Springer: Berlin/Heidelberg, Germany, 2018; pp. 194–208. [Google Scholar]













| Oxides | CaO | SiO2 | Al2O3 | Fe2O3 | MgO | Na2O | K2O | MnO | TiO2 | SO3 | P2O5 |
|---|---|---|---|---|---|---|---|---|---|---|---|
| Cement | 63.21 | 18.48 | 6.74 | 3.45 | 3.24 | 0.17 | 0.53 | 0.27 | 0.35 | 3.16 | 0.16 |
| Fly ash | 3.34 | 49.66 | 35.97 | 5.77 | 0.63 | 0.62 | 0.93 | 0.99 | 0.04 | 1.12 | 0.28 |
| Cement | Fly Ash | Quartz Sand | Water | Superplasticizer | VMA | PVA Fiber | W/b |
|---|---|---|---|---|---|---|---|
| 593 | 712 | 474 | 339 | 4.74 | 0.55 | 26 | 0.26 |
Disclaimer/Publisher’s Note: The statements, opinions and data contained in all publications are solely those of the individual author(s) and contributor(s) and not of MDPI and/or the editor(s). MDPI and/or the editor(s) disclaim responsibility for any injury to people or property resulting from any ideas, methods, instructions or products referred to in the content. |
© 2022 by the authors. Licensee MDPI, Basel, Switzerland. This article is an open access article distributed under the terms and conditions of the Creative Commons Attribution (CC BY) license (https://creativecommons.org/licenses/by/4.0/).
Share and Cite
Li, Y.; Zhang, N.; Sun, R.; Guan, Y.; Liu, L.; Tian, C.; Ling, Y.; Zhang, H.; Šavija, B. Behavior of Engineered Cementitious Composites (ECCs) Subjected to Coupled Sustained Flexural Load and Salt Frost. Materials 2023, 16, 165. https://doi.org/10.3390/ma16010165
Li Y, Zhang N, Sun R, Guan Y, Liu L, Tian C, Ling Y, Zhang H, Šavija B. Behavior of Engineered Cementitious Composites (ECCs) Subjected to Coupled Sustained Flexural Load and Salt Frost. Materials. 2023; 16(1):165. https://doi.org/10.3390/ma16010165
Chicago/Turabian StyleLi, Yonghao, Ning Zhang, Renjuan Sun, Yanhua Guan, Lemin Liu, Changjin Tian, Yifeng Ling, Hongzhi Zhang, and Branko Šavija. 2023. "Behavior of Engineered Cementitious Composites (ECCs) Subjected to Coupled Sustained Flexural Load and Salt Frost" Materials 16, no. 1: 165. https://doi.org/10.3390/ma16010165
APA StyleLi, Y., Zhang, N., Sun, R., Guan, Y., Liu, L., Tian, C., Ling, Y., Zhang, H., & Šavija, B. (2023). Behavior of Engineered Cementitious Composites (ECCs) Subjected to Coupled Sustained Flexural Load and Salt Frost. Materials, 16(1), 165. https://doi.org/10.3390/ma16010165

