A Constitutive Model of Time-Dependent Deformation Behavior for Sandstone
Abstract
1. Introduction
2. Numerical Model
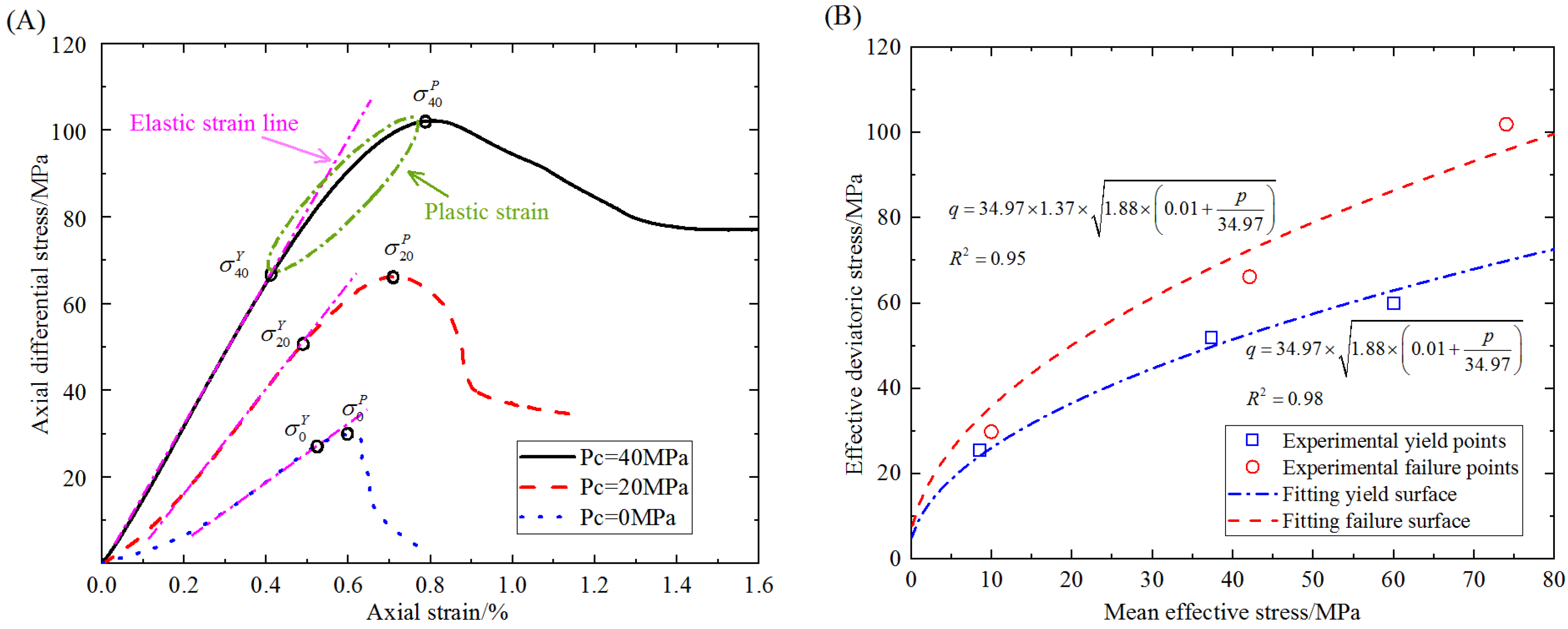
2.1. Instantaneous Elastic-Plastic Model
2.1.1. Heterogeneous Damage Model
2.1.2. Instantaneous Elastic-Plastic Model
2.1.3. Model Validation
- (1)
- Analytical solution model
- (2)
- Numerical result validation
2.2. Time-Dependent Viscoelastic Plastic Model
2.2.1. Nishihara Model
2.2.2. Improved Nishihara Model
2.2.3. Analytical Solution Verification
- (1)
- Analytical solution of Nishihara model based on D–P criterion
- (2)
- Verification results
3. Comparisons with Laboratory Tests
3.1. Consistent Strain Rate Tests
3.2. Multi-Step Creep Tests
3.3. Discussion
4. Conclusions
- (1)
- The instantaneous elastic-plastic damage model can display the process of volumetric strain for sandstone from compression to dilation. Many small fractures are formed within a very short period of time in the specimen before the main fracture emerges. The damage model captures the phenomenon that small damage of the specimen can lead to the generation of micro-cracks, the accumulation of which causes the specimen to fracture. The final failure mode provided by the numerical simulation is consistent with that extracted from laboratory test results.
- (2)
- The viscoelastic plastic damage model can reproduce the viscoelastic plastic deformation behavior. However, unlike the result of the conventional constant-strain-rate test, cracks of the rock appear through all of the stress loading stages in the multi-step creep tests. The final macroscopic fracture is the result of gradual accumulation of the cracks, a conclusion that is similar to that of the UCS tests.
Funding
Institutional Review Board Statement
Informed Consent Statement
Data Availability Statement
Acknowledgments
Conflicts of Interest
References
- Dusseault, M.B.; Fordham, C.J. Time-dependent behavior of rocks. In Rock Testing and Site Characterization; Elsevier Ltd.: Amsterdam, The Netherlands, 1993; pp. 119–149. [Google Scholar] [CrossRef]
- Baud, P.; Meredith, P.G. Damage accumulation during triaxial creep of darley dale sandstone from pore volumometry and acoustic emission. Int. J. Rock Mech. Min. Sci. 1997, 34, 24.e1–24.e10. [Google Scholar] [CrossRef]
- Heap, M.J.; Baud, P.; Meredith, P.G.; Vinciguerra, S.; Bell, A.F.; Main, I.G. Brittle creep in basalt and its application to time-dependent volcano deformation. Earth Planet. Sci. Lett. 2011, 307, 71–82. [Google Scholar] [CrossRef]
- David, A.; Agnès, H. Brittle creep, damage and time to failure in rocks. J. Geophys. Res. Solid Earth 2006, 111, B11201. [Google Scholar] [CrossRef]
- Liu, G.; Cai, M. Modeling time-dependent deformation behavior of brittle rock using grain-based stress corrosion method. Comput. Geotech. 2020, 118, 103323. [Google Scholar] [CrossRef]
- Kang, J.H.; Zhou, F.B.; Liu, C.; Liu, Y.K. A fractional non-linear creep model for coal considering damage effect and experimental validation. Int. J. Non-Linear Mech. 2015, 76, 20–28. [Google Scholar] [CrossRef]
- Mainardi, F.; Spada, G. Creep, relaxation and viscosity properties for basic fractional models in rheology. Eur. Phys. J. Spec. Top. 2011, 193, 133–160. [Google Scholar] [CrossRef]
- Yuan, H.P.; Zhu, L.G.; Zhai, Y.J.; Chen, S.M. Numerical Test Study on the Mechanical Behavior of Rock Creep Fracture. Appl. Mech. Mater. 2012, 204–208, 526–533. [Google Scholar] [CrossRef]
- Zhang, C.Y.; Cao, P.; Pu, C.Z.; Liu, J.; Wen, P.H. Integrated identification method of rheological model of sandstone in Sanmenxia bauxite. Trans. Nonferrous Met. Soc. China 2014, 24, 1859–1865. [Google Scholar] [CrossRef]
- Yang, W.D.; Zhang, Q.Y.; Li, S.C.; Wang, S.G. Time-Dependent Behavior of Diabase and a Nonlinear Creep Model. Rock Mech. Rock Eng. 2014, 47, 1211–1224. [Google Scholar] [CrossRef]
- Zhao, Y.L.; Zhang, L.Y.; Wang, W.J.; Wan, W.; Li, S.Q.; Ma, W.H.; Wang, Y.X. Creep behavior of intact and cracked limestone under multi-level loading and unloading cycles. Rock Mech. Rock Eng. 2017, 50, 1409–1424. [Google Scholar] [CrossRef]
- Shao, J.F.; Jia, Y.; Kondo, D.; Chiarelli, A.S. A coupled elastoplastic damage model for semi-brittle materials and extension to unsaturated conditions. Mech. Mater. 2006, 38, 218–232. [Google Scholar] [CrossRef]
- Zhou, H.; Jia, Y.; Shao, J.F. A unified elastic-plastic and viscoplastic damage model for quasi-brittle rocks. Int. J. Rock Mech. Min. Sci. 2008, 45, 1237–1251. [Google Scholar] [CrossRef]
- Zhao, Y.L.; Zhang, L.Y.; Wang, W.J.; Wan, W.; Ma, W.H. Separation of Elastoviscoplastic Strains of Rock and a Nonlinear Creep Model. Int. J. Geomech. 2018, 18, 04017129. [Google Scholar] [CrossRef]
- Jiang, Q.H.; Qi, Y.J.; Wang, Z.J.; Zhou, C.B. An extended Nishihara model for the description of three stages of sandstone creep. Geophys. J. Int. 2013, 193, 841–854. [Google Scholar] [CrossRef]
- Zhang, Y.; Zhang, X.D.; Shao, J.F.; Jia, Y.; Wang, Y.L. Elastoplastic modelling the creep behaviour of cataclastic rock under multi-stage deviatoric stress. Eur. J. Environ. Civ. Eng. 2018, 22, 650–665. [Google Scholar] [CrossRef]
- Yang, W.; Gamage, R.P.; Huang, C.; Luo, G.; Guo, J.; Wang, S. Loading history effect on creep deformation of rock. Energies 2018, 11, 1462. [Google Scholar] [CrossRef]
- Hu, B.; Yang, S.Q.; Xu, P. A nonlinear rheological damage model of hard rock. J. Cent. South Univ. 2018, 25, 1665–1677. [Google Scholar] [CrossRef]
- Wang, X.K.; Song, L.B.; Xia, C.C.; Han, G.S.; Zhu, Z.M. Nonlinear Elasto-Visco-Plastic Creep Behavior and New Creep Damage Model of Dolomitic Limestone Subjected to Cyclic Incremental Loading and Unloading. Sustainability 2021, 13, 12376. [Google Scholar] [CrossRef]
- Zhang, B.W.; Hu, H.; Yu, W.; Liang, S.S.; Li, J.J.; Lu, L.F. Timeliness of creep deformation in the whole visco-elasto-plastic process of surrounding rocks of the tunnel. Geotech. Geol. Eng. 2019, 37, 1007–1014. [Google Scholar] [CrossRef]
- Zou, J.F.; Xia, M.; Xu, Y. Nonlinear visco-elasto-plastic model for surrounding rock incorporating the effect of intermediate principal stress. Geotech. Geol. Eng. 2017, 35, 403–423. [Google Scholar] [CrossRef]
- Minkley, W.; Mühlbauer, J. Constitutive models to describe the mechanical behavior of salt rocks and the imbedded weakness planes. In The Mechanical Behavior of Salt–Understanding of THMC Processes in Salt; CRC Press: Boca Raton, FL, USA, 2017; pp. 119–127. [Google Scholar]
- Behbahani, H.; Ziari, H.; Kamboozia, N. Evaluation of the visco-elasto-plastic behavior of glasphalt mixtures through generalized and classic burger’s models modification. Constr. Build. Mater. 2016, 118, 36–42. [Google Scholar] [CrossRef]
- Yu, J.; Liu, G.Y.; Cai, Y.Y.; Zhou, J.F.; Liu, S.Y.; Tu, B.X. Time-dependent deformation mechanism for swelling soft-rock tunnels in coal mines and its mathematical deduction. Int. J. Geomech. 2020, 20, 04019186. [Google Scholar] [CrossRef]
- Wang, M.Z.; Cai, M. A simplified model for time-dependent deformation of rock joints. Rock Mech. Rock Eng. 2021, 54, 1779–1797. [Google Scholar] [CrossRef]
- Xu, T.; Zhou, G.L.; Heap, M.J.; Yang, S.Q.; Konietzky, H.; Baud, P. The modeling of time-dependent deformation and fracturing of brittle rocks under varying confining and pore pressures. Rock Mech. Rock Eng. 2018, 51, 3241–3263. [Google Scholar] [CrossRef]
- Yuan, Y.; Xu, T.; Heap, M.J.; Meredith, P.G.; Zhou, G.L. A three-dimensional mesoscale model for progressive time-dependent deformation and fracturing of brittle rock with application to slope stability. Comput. Geotech. 2021, 135, 104160. [Google Scholar] [CrossRef]
- Fu, T.F.; Xu, T.; Wasantha, P.; Yang, T.H.; Nara, Y.; Heng, Z. Time-dependent deformation and fracture evolution around underground excavations. Geomat. Nat. Hazards Risk 2020, 11, 2615–2633. [Google Scholar] [CrossRef]
- Wang, M.Z.; Cai, M. A grain-based time-to-failure creep model for brittle rocks. Comput. Geotech. 2020, 119, 103344. [Google Scholar] [CrossRef]
- Sun, Y.T.; Li, G.C.; Zhang, J.F.; Yao, B.C.; Qian, D.Y.; Huang, J.D. Numerical investigation on time-dependent deformation in roadway. Adv. Civ. Eng. 2021, 2021, 4280139. [Google Scholar] [CrossRef]
- Paraskevopoulou, C.; Diederichs, M. Analysis of time-dependent deformation in tunnels using the Convergence-Confinement Method. Tunnel. Undergr. Space Technol. 2018, 71, 62–80. [Google Scholar] [CrossRef]
- Li, D.Y.; Du, S.H.; Zhang, C.S.; Mao, D.W.; Ruan, B. Time-dependent deformation behavior of completely weathered granite subjected to wetting immersion. Rock Mech. Rock Eng. 2021, 54, 6373–6391. [Google Scholar] [CrossRef]
- Tang, C.A.; Chen, Z.H.; Xu, X.H.; Li, C. A Theoretical Model for Kaiser Effect in Rock. PApGe 1997, 150, 203–215. [Google Scholar] [CrossRef]
- Yang, T.H.; Jia, P.; Shi, W.H.; Wang, P.T.; Liu, H.L.; Yu, Q.L. Seepage–stress coupled analysis on anisotropic characteristics of the fractured rock mass around roadway. Tunnel. Underground Space Technol. 2014, 43, 11–19. [Google Scholar] [CrossRef]
- Tang, C.A.; Liu, H.; Lee, P.K.K.; Tsui, Y.; Tham, L.G. Numerical studies of the influence of microstructure on rock failure in uniaxial compression—Part I: Effect of heterogeneity. Int. J. Rock Mech. Min. Sci. 2000, 37, 555–569. [Google Scholar] [CrossRef]
- Xu, T.; Fu, T.F.; Heap, M.J.; Meredith, P.G.; Mitchell, T.M.; Baud, P. Mesoscopic Damage and Fracturing of Heterogeneous Brittle Rocks Based on Three-dimensional Polycrystalline Discrete Element Method. Rock Mech. Rock Eng. 2020, 53, 5389–5409. [Google Scholar] [CrossRef]
- Xu, T.; Tang, C.A.; Zhao, J.; Li, L.C.; Heap, M.J. Modelling the time-dependent rheological behaviour of heterogeneous brittle rocks. Geophys. J. Int. 2012, 189, 1781–1796. [Google Scholar] [CrossRef]
- Xu, T.; Zhou, G.L.; Heap, M.J.; Zhu, W.C.; Chen, C.F.; Baud, P. The Influence of Temperature on Time-Dependent Deformation and Failure in Granite: A Mesoscale Modeling Approach. Rock Mech. Rock Eng. 2017, 50, 2345–2364. [Google Scholar] [CrossRef]
- Griffiths, L.; Heap, M.J.; Xu, T.; Chen, C.F.; Baud, P. The influence of pore geometry and orientation on the strength and stiffness of porous rock. J. Struct. Geol. 2017, 96, 149–160. [Google Scholar] [CrossRef]
- Ghazvinian, E.; Diederichs, M.S.; Quey, R. 3D random Voronoi grain-based models for simulation of brittle rock damage and fabric-guided micro-fracturing. J. Rock Mech. Geotech. Eng. 2014, 6, 506–521. [Google Scholar] [CrossRef]
- Wang, X.; Cai, M. Modeling of brittle rock failure considering inter- and intra-grain contact failures. Comput. Geotech. 2018, 101, 224–244. [Google Scholar] [CrossRef]
- Chen, C.F.; Xu, T.; Zhou, G.L.; Qin, T. Experimental investigation of influence of alternating cyclic loadings on creep behaviors of sandstone. Mech. Time-Depend. Mater. 2021, 25, 1–19. [Google Scholar] [CrossRef]
- Fu, T.F.; Xu, T.; Meredith, G.P.; Mitchell, M.T.; Heap, J.M.; Narae, Y. A meso-mechanical approach to time-dependent deformation and fracturing of partially saturated sandstone. Int. J. Rock Mech. Min. Sci. 2021, 145, 104840. [Google Scholar] [CrossRef]
- Zhou, G.L.; Xu, T.; Konietzky, H.; Zhu, W.; Zhen, H.; Yu, X.Y.; Zhao, Y. An improved grain-based numerical manifold method to simulate deformation, damage and fracturing of rocks at the grain size level. Eng. Anal. Bound. Elem. 2022, 134, 107–116. [Google Scholar] [CrossRef]
- Weibull, W. A Statistical Distribution Function of Wide Applicability. J. Appl. Mech. 1951, 18, 293–297. [Google Scholar] [CrossRef]
- Zhou, H.; Bian, H.B.; Jia, Y.; Shao, J.F. Elastoplastic damage modeling the mechanical behavior of rock-like materials considering confining pressure dependency. Mech. Res. Commun. 2013, 53, 1–8. [Google Scholar] [CrossRef]
- Jia, Y.; Song, X.C.; Duveau, G.; Su, K.; Shao, J.F. Elastoplastic damage modelling of argillite in partially saturated condition and application. Phys. Chem. Earth 2007, 32, 656–666. [Google Scholar] [CrossRef]
- Pietruszczak, S.; Jiang, J.; Mirza, F.A. An elastoplastic constitutive model for concrete. Int. J. Solids Struct. 1988, 24, 705–722. [Google Scholar] [CrossRef]
- Jia, Y.; Bian, H.B.; Su, K.; Kondo, D.; Shao, J.F. Elastoplastic damage modeling of desaturation and resaturation in argillites. Int. J. Numer. Anal. Meth. Geomech. 2010, 34, 187–220. [Google Scholar] [CrossRef]
- Masoumi, H.; Douglas, K.J.; Russell, A.R. A Bounding Surface Plasticity Model for Intact Rock Exhibiting Size-Dependent Behaviour. Rock Mech. Rock Eng. 2016, 49, 47–62. [Google Scholar] [CrossRef]
- Pourhosseini, O.; Shabanimashcool, M. Development of an elasto-plastic constitutive model for intact rocks. Int. J. Rock Mech. Min. Sci. 2014, 66, 1–12. [Google Scholar] [CrossRef]
- Qi, Y.J.; Jiang, Q.H.; Wang, Z.J.; Zhou, C.B. 3D creep constitutive equation of modified Nishihara model and its parameters identification. Yanshilixue Yu Gongcheng Xuebao/Chin. J. Rock Mech. Eng. 2012, 31, 347–355. [Google Scholar]
- Hou, G.Y.; Niu, X.S. Perfect elastoplastic solution of axisymmetric circular openings in rock mass based on Levy-Mises constitutive relation and D-P yield criterion. Yantu Lixue/Rock Soil Mech. 2009, 30, 1555–1562. [Google Scholar]
- Hou, G.Y.; Li, J.J.; Qiu, B.; Zhang, H.D.; Liu, H.W. Solving equation of rheological deformation in axisymmetric round well under dead load. Yantu Lixue/Rock Soil Mech. 2011, 32, 341–346. [Google Scholar]

















| Mechanical Parameters | Value |
|---|---|
| Specimen size | 50 mm × 100 mm |
| Element size | 0.5 mm |
| Uniaxial compressive strength (UCS), σ/MPa | 110 |
| Young’s modulus, E/GPa | 10.0 |
| Poisson’s ratio, μ | 0.3 |
| Homogeneity index, m | 9.0 |
| Increment per step, dy/mm | 10−5 |
| Parameter related to internal friction, A | 1.88 |
| Plastic hardening function in the strength criterion, | 1.37 |
| Plastic hardening function in the field criterion, | 1.0 |
| Cohesive coefficient, Cs | 0.01 |
| Coefficient controlling plastic hardening rate, B | 4 × 10−5 |
| Physical and Mechanical Parameters | Value |
|---|---|
| Hole radius R0/m | 0.05 |
| In situ stress P0/MPa | 30 |
| UCS of surrounding rock σ0/MPa | 20 |
| Internal friction angle φ/° | 25 |
| Cohesion C/MPa | 6.0 |
| Elastic modulus E0/MPa | 6.0 |
| Elastic modulus E1/MPa | 11.76 |
| Viscosity coefficient η0/GPa∙d | 3.57 |
| Viscosity coefficient η1/GPa∙d | 32.0 |
Disclaimer/Publisher’s Note: The statements, opinions and data contained in all publications are solely those of the individual author(s) and contributor(s) and not of MDPI and/or the editor(s). MDPI and/or the editor(s) disclaim responsibility for any injury to people or property resulting from any ideas, methods, instructions or products referred to in the content. |
© 2022 by the author. Licensee MDPI, Basel, Switzerland. This article is an open access article distributed under the terms and conditions of the Creative Commons Attribution (CC BY) license (https://creativecommons.org/licenses/by/4.0/).
Share and Cite
Chen, C. A Constitutive Model of Time-Dependent Deformation Behavior for Sandstone. Materials 2023, 16, 135. https://doi.org/10.3390/ma16010135
Chen C. A Constitutive Model of Time-Dependent Deformation Behavior for Sandstone. Materials. 2023; 16(1):135. https://doi.org/10.3390/ma16010135
Chicago/Turabian StyleChen, Chongfeng. 2023. "A Constitutive Model of Time-Dependent Deformation Behavior for Sandstone" Materials 16, no. 1: 135. https://doi.org/10.3390/ma16010135
APA StyleChen, C. (2023). A Constitutive Model of Time-Dependent Deformation Behavior for Sandstone. Materials, 16(1), 135. https://doi.org/10.3390/ma16010135

