Effect of Rotary Swaging on the Structure, Mechanical Characteristics and Aging Behavior of Cu-0.5%Cr-0.08%Zr Alloy
Abstract
1. Introduction
2. Materials and Methods
3. Results
4. Discussion
5. Conclusions
- 1.
- RS leads to the formation of a grain–subgrain microstructure with both elongated and equiaxed grains and subgrains. In the case of an initially quenched alloy, the subgrain size is ~300–400 nm, and the width of the elongated grains is ~500–600 nm. For the initially extruded alloy, these parameters were ~200 nm and 300–400 nm, respectively. Aging leads to a slight increase in the size of the structural elements for both initial treatments;
- 2.
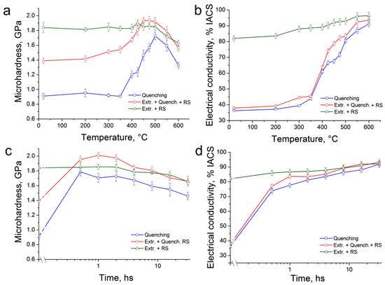
- The aging at 500 °C for 2 h leads to an increase in the microhardness and electrical conductivity of the alloy quenched and swaged after quenching due to the decomposition of SSSS and precipitation of Cr particles with the Nishiyama–Wasserman orientation relationship;
- 3.
- Microstructure refinement caused by RS leads to an increase in the UTS of the alloy up to 443 ± 5 MPa and 597 ± 9 MPa with a drop in ductility up to 16.2 ± 0.6% and 10.9 ± 0.9% for the pre-quenched and pre-extruded alloy, respectively. The high strength of the pre-extruded alloy is caused by significant dispersion strengthening (about 130 MPa). In this case, the subsequent aging of the deformed quenched alloy leads to additional strengthening up to 557 ± 18 MPa due to the precipitation of fine Cr particles and a slight drop in UTS to 537 ± 10 MPa in the preliminarily extruded alloy due to the development of recovery;
- 4.
- RS increases the fatigue limit of a pre-quenched alloy up to 265 MPa, and that of a pre-extruded alloy up to 345 MPa;
- 5.
- The best combination of properties was obtained by combining extrusion and RS, which made it possible to increase the strength of the Cu-0.5%Cr-0.08%Zr alloy up to 597 ± 9 MPa with ductility of 10.9 ± 0.9% and electrical conductivity of 82.0 ± 1.7% IACS.
Author Contributions
Funding
Institutional Review Board Statement
Informed Consent Statement
Data Availability Statement
Acknowledgments
Conflicts of Interest
References
- Liu, Q.; Zhang, X.; Ge, Y.; Wang, J.; Cui, J.Z. Effect of processing and heat treatment on behavior of Cu-Cr-Zr alloys to railway contact wire. Metall. Mater. Trans. A 2006, 37, 3233–3238. [Google Scholar] [CrossRef]
- Huang, F.X.; Ma, J.S.; Ning, H.L.; Geng, Z.T. Analysis of phases in a Cu-Cr-Zr alloy. Scripta Mater. 2003, 48, 97–102. [Google Scholar] [CrossRef]
- Meng, A.; Nie, J.; Wei, K.; Kang, H.; Liu, Z.; Zhao, Y. Optimization of strength, ductility and electrical conductivity of a Cu-Cr-Zr alloy by cold rolling and aging treatment. Vacuum 2019, 167, 329–335. [Google Scholar] [CrossRef]
- Liu, Y.; Zhou, P.; Liu, S.; Du, Y. Experimental investigation and thermodynamic description of the Cu-Cr-Zr system. Calphad 2017, 59, 1–11. [Google Scholar] [CrossRef]
- Li, H.; Xie, S.; Wu, P.; Mi, X. Study on improvement of conductivity of Cu-Cr-Zr alloys. Rare Met. 2007, 26, 124–130. [Google Scholar] [CrossRef]
- Shen, D.P.; Zhou, H.; Tong, W.P. Grain refinement and enhanced precipitation of Cu–Cr–Zr induced by hot rolling with intermediate annealing treatment. J. Mater. Res. Technol. 2019, 8, 5041–5045. [Google Scholar] [CrossRef]
- Jha, K.; Neogy, S.; Kumar, S.; Singh, R.N.; Dey, G.K. Correlation between microstructure and mechanical properties in the age-hardenable Cu-Cr-Zr alloy. J. Nucl. Mater. 2021, 546, 152775. [Google Scholar] [CrossRef]
- Joo, H.S.; Kim, Y.N.; Hwang, S.K.; Im, Y.T. The effect of wire drawing and aging on mechanical and electrical properties of Cu-Cr-Zr alloy. Procedia Eng. 2017, 207, 1129–1134. [Google Scholar] [CrossRef]
- Shangina, D.V.; Bochvar, N.R.; Morozova, A.I.; Belyakov, A.N.; Kaibyshev, R.O.; Dobatkin, S.V. Effect of chromium and zirconium content on structure, strength and electrical conductivity of Cu-Cr-Zr alloys after high pressure torsion. Mater. Lett. 2017, 199, 46–49. [Google Scholar] [CrossRef]
- Wang, Y.D.; Liu, M.; Yu, B.H.; Wu, L.H.; Xue, P.; Ni, D.R.; Ma, Z.Y. Enhanced combination of mechanical properties and electrical conductivity of a hard state Cu-Cr-Zr alloy via one-step friction stir processing. J. Mater. Process. Technol. 2021, 288, 116880. [Google Scholar] [CrossRef]
- Purcek, G.; Yanar, H.; Demirtas, M.; Shangina, D.V.; Bochvar, N.R.; Dobatkin, S.V. Microstructural, mechanical and tribological properties of ultrafine-grained Cu–Cr–Zr alloy processed by high pressure torsion. J. Alloys Compd. 2020, 816, 152675. [Google Scholar] [CrossRef]
- Purcek, G.; Yanar, H.; Shangina, D.V.; Demirtas, M.; Bochvar, N.R.; Dobatkin, S.V. Influence of high pressure torsion-induced grain refinement and subsequent aging on tribological properties of Cu-Cr-Zr alloy. J. Alloys Compd. 2018, 742, 325–333. [Google Scholar] [CrossRef]
- Borodin, E.N.; Morozova, A.; Bratov, V.; Belyakov, A.; Jivkov, A.P. Experimental and numerical analyses of microstructure evolution of Cu-Cr-Zr alloys during severe plastic deformation. Mater. Charact. 2019, 156, 109849. [Google Scholar] [CrossRef]
- Purcek, G.; Yanar, H.; Saray, O.; Karaman, I.; Maier, H.J. Effect of precipitation on mechanical and wear properties of ultrafine-grained Cu–Cr–Zr alloy. Wear 2014, 311, 149–158. [Google Scholar] [CrossRef]
- Abib, K.; Azzeddine, H.; Tirsatine, K.; Baudin, T.; Helbert, A.-L.; Brisset, F.; Alili, B.; Bradai, D. Thermal stability of Cu-Cr-Zr alloy processed by equal-channel angular pressing. Mater. Charact. 2016, 118, 527–534. [Google Scholar] [CrossRef]
- Abib, K.; Hadjlarbi, F.; Rabahi, L.; Alili, B.; Bradai, D. DSC analysis of commercial Cu–Cr–Zr alloy processed by equal channel angular pressing. Trans. Nonferrous Met. Soc. China 2015, 25, 838–843. [Google Scholar] [CrossRef]
- Herrmann, M.; Schenck, C.; Leopold, H.; Kuhfuss, B. Material Improvement of Mild Steel S355J2C by Hot Rotary Swaging. Procedia Manuf. 2020, 47, 282–287. [Google Scholar] [CrossRef]
- Tokar, A.A.; Lunev, V.A.; Dolzhenko, A.S.; Rybalchenko, O.V.; Morozov, M.M.; Yusupov, V.S.; Rybalchenko, G.V.; Odessky, P.D.; Dobatkin, S.V. Effect of rotary swaging on structure and properties of low-carbon steel. In Proceedings of the IOP Conference Series: Materials Science and Engineering, Moscow, Russia, 30 October–1 November 2019; Volume 848, p. 012092. [Google Scholar] [CrossRef]
- Bochvar, N.R.; Rybalchenko, O.V.; Leonova, N.P.; Tabachkova, N.Y.; Rybalchenko, G.V.; Rokhlin, L.L. Effect of cold plastic deformation and subsequent aging on the strength properties of Al-Mg2Si alloys with combined (Sc + Zr) and (Sc + Hf) additions. J. Alloys Compd. 2020, 821, 153426. [Google Scholar] [CrossRef]
- Lin, C.-W.; Chen, K.-J.; Hung, F.-Y.; Lui, T.-S.; Chen, H.-P. Impact of solid-solution treatment on microstructural characteristics and formability of rotary-swaged 2024 alloy tubes. J. Mater. Res. Technol. 2019, 8, 3137–3148. [Google Scholar] [CrossRef]
- Estrin, Y.; Martynenko, N.; Lukyanova, E.; Serebryany, V.; Gorshenkov, M.; Morozov, M.; Yusupov, V.; Dobatkin, S. Effect of Rotary Swaging on Microstructure, Texture, and Mechanical Properties of a Mg-Al-Zn Alloy. Adv. Eng. Mater. 2020, 22, 1900506. [Google Scholar] [CrossRef]
- Martynenko, N.; Anisimova, N.; Kiselevskiy, M.; Tabachkova, N.; Temralieva, D.; Prosvirnin, D.; Terentiev, V.; Koltygin, A.; Belov, V.; Morosov, M.; et al. Structure, mechanical characteristics, biodegradation, and in vitro cytotoxicity of magnesium alloy ZX11 processed by rotary swaging. J. Magnes. Alloy. 2020, 8, 1038–1046. [Google Scholar] [CrossRef]
- Chuvil’deev, V.N.; Kopylov, V.I.; Nokhrin, A.V.; Tryaev, P.V.; Tabachkova, N.Y.; Chegurov, M.K.; Kozlova, N.A.; Mikhaylov, A.S.; Ershova, A.V.; Grayznov, M.Y.; et al. Effect of severe plastic deformation realized by rotary swaging on the mechanical properties and corrosion resistance of near-α-titanium alloy Ti-2.5Al-2.6Zr. J. Alloys Compd. 2019, 785, 1233–1244. [Google Scholar] [CrossRef]
- Meng, A.; Chen, X.; Nie, J.; Gu, L.; Mao, Q.; Zhao, Y. Microstructure evolution and mechanical properties of commercial pure titanium subjected to rotary swaging. J. Alloys Compd. 2021, 859, 158222. [Google Scholar] [CrossRef]
- Huang, A.H.; Wang, Y.F.; Wang, M.S.; Song, L.Y.; Li, Y.S.; Gao, L.; Huang, C.X.; Zhu, Y.T. Optimizing the strength, ductility and electrical conductivity of a Cu-Cr-Zr alloy by rotary swaging and aging treatment. Mater. Sci. Eng. A 2019, 746, 211–216. [Google Scholar] [CrossRef]
- Shan’gina, D.V.; Ivanov, N.I.; Bochvar, N.R.; Dobatkin, S.V. Resistance of the contact welding electrodes made of a Cu–0.7%Cr–0.9%Hf alloy with an ultrafine-grained structure. Russ. Metall. (Met.) 2018, 2018, 815–819. [Google Scholar] [CrossRef]
- Shangina, D.V.; Gubicza, J.; Dodony, E.; Bochvar, N.R.; Straumal, P.B.; Tabachkova, N.Y.; Dobatkin, S.V. Improvement of strength and conductivity in Cu-alloys with the application of high pressure torsion and subsequent heat-treatments. J. Mater. Sci. 2014, 49, 6674–6681. [Google Scholar] [CrossRef]
- Bodyakova, A.; Mishnev, R.; Belyakov, A.; Kaibyshev, R. Effect of chromium content on precipitation in Cu–Cr–Zr alloys. J. Mater. Sci. 2022, 57, 13043–13059. [Google Scholar] [CrossRef]
- Chbihi, A.; Sauvage, X.; Blavette, D. Atomic scale investigation of Cr precipitation in copper. Acta Mater. 2012, 60, 4575–4585. [Google Scholar] [CrossRef]
- Liu, J.; Hou, M.; Yang, H.; Xie, H.; Yang, C.; Zhang, J.; Feng, Q.; Wang, L.; Meng, L.; Wang, H. In-situ TEM study of the dynamic interactions between dislocations and precipitates in a Cu-Cr-Zr alloy. J. Alloys Compd. 2018, 765, 560–568. [Google Scholar] [CrossRef]
- Schneibel, J.H.; Heilmaier, M. Hall-Petch breakdown at elevated temperatures. Mater. Trans. 2014, 55, 44–51. [Google Scholar] [CrossRef]
- Harrell, T.J.; Topping, T.D.; Wen, H.; Hu, T.; Schoenung, J.M.; Lavernia, E.J. Mechanisms in an ultrafine grained Al-Mg-Sc alloy produced by powder metallurgy. Metal. Mater. Trans. A 2014, 45, 6329–6343. [Google Scholar] [CrossRef]
- Humphreys, F.J.; Hatherly, M. Recrystallization and Related Annealing Phenomena, 2nd ed.; Elsevier Ltd.: Oxford, UK, 2004. [Google Scholar] [CrossRef]
- Cheng, J.Y.; Shen, B.; Yu, F.X. Precipitation in a Cu–Cr–Zr–Mg alloy during aging. Mater. Charact. 2013, 81, 68–75. [Google Scholar] [CrossRef]
- Du, Y.; Zhou, Y.; Song, K.; Huang, T.; Hui, D.; Liu, H.; Cheng, C.; Yang, J.; Niu, L.; Guo, H. Zr-containing precipitate evolution and its effect on the mechanical properties of Cu–Cr–Zr alloys. J. Mater. Res. Technol. 2021, 14, 1451–1458. [Google Scholar] [CrossRef]
- Ostachowski, P.; Bochniak, W.; Łagoda, M.; Ziółkiewicz, S. Strength properties and structure of CuCrZr alloy subjected to low-temperature KOBO extrusion and heat treatment. Int. J. Adv. Manuf. 2019, 105, 5023–5044. [Google Scholar] [CrossRef]
- Vinogradov, A.; Patlan, V.; Suzuki, Y.; Kitagawa, K.; Kopylov, V.I. Structure and properties of ultra-fine grain Cu–Cr–Zr alloy produced by equal-channel angular pressing. Acta Mater. 2002, 50, 1639–1651. [Google Scholar] [CrossRef]
- Jayakumar, P.K.; Balasubramanian, K.; Tagore, G.R. Recrystallisation and bonding behaviour of ultra fine grained copper and Cu–Cr–Zr alloy using ECAP. Mater. Sci. Eng. A 2012, 538, 7–13. [Google Scholar] [CrossRef]
- Hu, J.; Tian, Y.; Yu, H.; Ling, G.; Li, S.; Jiang, M.; Li, H.; Qin, G. Optimizing strength and electrical conductivity of Cu-Cr-Zr alloy by two-stage aging treatment. Mater. Lett. 2022, 315, 131937. [Google Scholar] [CrossRef]
- Wang, Y.D.; Wu, L.H.; Xue, P.; Zhang, H.; Ni, D.R.; Ma, Z.Y. Improved strength with good conductivity in Cu–Cr–Zr alloys: Determinant effect of under-aging treatment before rolling and aging. Mater. Sci. Eng. A 2022, 848, 143395. [Google Scholar] [CrossRef]
- Bodyakova, A.; Tkachev, M.; Raab, G.I.; Kaibyshev, R.; Belyakov, A.N. Regularities of microstructure evolution in a Cu-Cr-Zr alloy during severe plastic deformation. Materials 2022, 15, 5745. [Google Scholar] [CrossRef]
- Muralidharan, S.; Mohammed Iqbal, U. Experimental studies and optimization of process variables in multi-angular twist extrusion (MATE) of Cu-Cr-Zr alloy. Mater. Today Proc. 2022, 68, 1835–1844. [Google Scholar] [CrossRef]
- Guo, T.; Gao, Y.; Tai, X.; Wang, J.; Feng, R.; Qian, D.; Ding, Y.; Jia, Z. Micro/nanostructure high strength and high conductivity CuCrZr alloy prepared through equal channel angular pressing and aging treatment. Mater. Today Commun. 2022, 33, 104381. [Google Scholar] [CrossRef]







| Treatment | YS, MPa | UTS, MPa | El, % | %IACS | |
|---|---|---|---|---|---|
| Quenching | Before aging | 72 ± 4 | 227 ± 9 | 61.0 ± 1.5 | 36.2 ± 0.7 |
| After aging | 348 ± 2 | 442 ± 19 | 24.3 ± 3.2 | 81.2 ± 1.6 | |
| Extrusion + Quenching + RS | Before aging | 426 ± 5 | 433 ± 5 | 16.2 ± 0.6 | 37.9 ± 0.7 |
| After aging | 516 ± 20 | 557 ± 18 | 17.1 ± 2.6 | 83.4 ± 1.8 | |
| Extrusion + RS | Before aging | 592 ± 6 | 597 ± 9 | 10.9 ± 0.9 | 82.0 ± 1.7 |
| After aging | 504 ± 12 | 537 ± 10 | 13.9 ± 1.1 | 87.0 ± 1.8 | |
| Condition | R, nm | f | λ, nm | σpart, MPa | Ρ × 1014, m−2 | σdisl, MPa | σpart + σdisl, MPa | |
|---|---|---|---|---|---|---|---|---|
| Extrusion + Quenching + RS | Before aging | - | - | - | - | 4.9 | 176 | 176 |
| After aging | 1.75 | 0.00066 | 98.6 | 129 | 4.5 | 168 | 297 | |
| Extrusion + RS | Before aging | 1.9 | 0.00071 | 103.1 | 128 | 5.5 | 185 | 313 |
| After aging | 2.4 | 0.00094 | 113.2 | 128 | 3.6 | 150 | 278 | |
| Alloy | Condition | YS, MPa | UTS, MPa | El, % | % IACS | Reference |
|---|---|---|---|---|---|---|
| Cu-0.5%Cr-0.08%Zr | Q + A (500 °C, 2 h) | 348 ± 2 | 442 ± 19 | 24.3 ± 3.2 | 81.2 ± 1.6 | Present study |
| E + Q + RS + A (500 °C, 2 h) | 516 ± 20 | 557 ± 18 | 17.1 ± 2.6 | 83.4 ± 1.8 | ||
| Extrusion + RS | 592 ± 6 | 597 ± 9 | 10.9 ± 0.9 | 82.0 ± 1.7 | ||
| Cu-0.3%Cr-0.1%Zr-0.05Mg | PA (450 °C, 1 h) + RS + A (375 °C, 1 h) | 590 ± 13 | 612 ± 11 | 4.6 ± 0.4 | 84.7 ± 1.4 | [35] |
| Cu-0.4wt%Cr-0.3 wt%Zr | A (450°C, 3 h) + CR (80%) | 545 ± 6 | 568 ± 5 | 1.5 ± 0.3 | 75.3 ± 0.2 | [3] |
| Cu-(0.6–0.8)%Cr (0.07–0.09)%Zr | ST + A + wire drawing (ε = 0.89) | - | 585.7 | 9.3 | 78.7 | [8] |
| Cu-0.7wt%Cr-0.07 wt%Zr | Q + HPT (N = 15) + A (450 °C, 1 h) | 785 | 805 | 13 | ~60 | [11] |
| Cu-1Cr-0.1Zr | KOBO extrusion | 455 | 522 | 18.7 | - | [36] |
| Cu–0.44Cr–0.2Zr | Q + ECAP (Bc, N = 8) + A (425 °C, 1 h) | 650 ± 20 | 700 ± 40 | - | - | [37] |
| Cu–0.44Cr–0.2Zr | Q + ECAP (Bc, N = 4) | 554 | ~600 | - | - | [38] |
| Cu-0.7Cr-0.19Zr | PA (150 °C, 5 h) + A (425 °C, 5 h) | 275 ± 4 | 409 ± 3 | 15.1 ± 0.5 | 70.8 ± 0.2 | [39] |
| Cu-1.04%Cr-0.08%Zr | PA (480 °C, 2 h) + R + A (420 °C, 1 h) | 547 ± 1 | 562 ± 2 | 22.5 ± 1.0 | 84.1 ± 0.1 | [40] |
| Cu-0.096%Cr-0.07%Zr | ECAE-Conform (N = 8) | ~550 | ~600 | ~10 | - | [41] |
| Cu-0.6%Cr-0.48%Zr | MATE | 440.2 | 645.1 | 9.3 | - | [42] |
| Cu-0.8Cr-0.6Zr | ECAP (N = 4) + A (450 °C, 4 h) | - | 577.2 | - | 78.5 | [43] |
Disclaimer/Publisher’s Note: The statements, opinions and data contained in all publications are solely those of the individual author(s) and contributor(s) and not of MDPI and/or the editor(s). MDPI and/or the editor(s) disclaim responsibility for any injury to people or property resulting from any ideas, methods, instructions or products referred to in the content. |
© 2022 by the authors. Licensee MDPI, Basel, Switzerland. This article is an open access article distributed under the terms and conditions of the Creative Commons Attribution (CC BY) license (https://creativecommons.org/licenses/by/4.0/).
Share and Cite
Martynenko, N.; Rybalchenko, O.; Bodyakova, A.; Prosvirnin, D.; Rybalchenko, G.; Morozov, M.; Yusupov, V.; Dobatkin, S. Effect of Rotary Swaging on the Structure, Mechanical Characteristics and Aging Behavior of Cu-0.5%Cr-0.08%Zr Alloy. Materials 2023, 16, 105. https://doi.org/10.3390/ma16010105
Martynenko N, Rybalchenko O, Bodyakova A, Prosvirnin D, Rybalchenko G, Morozov M, Yusupov V, Dobatkin S. Effect of Rotary Swaging on the Structure, Mechanical Characteristics and Aging Behavior of Cu-0.5%Cr-0.08%Zr Alloy. Materials. 2023; 16(1):105. https://doi.org/10.3390/ma16010105
Chicago/Turabian StyleMartynenko, Natalia, Olga Rybalchenko, Anna Bodyakova, Dmitriy Prosvirnin, Georgy Rybalchenko, Mikhail Morozov, Vladimir Yusupov, and Sergey Dobatkin. 2023. "Effect of Rotary Swaging on the Structure, Mechanical Characteristics and Aging Behavior of Cu-0.5%Cr-0.08%Zr Alloy" Materials 16, no. 1: 105. https://doi.org/10.3390/ma16010105
APA StyleMartynenko, N., Rybalchenko, O., Bodyakova, A., Prosvirnin, D., Rybalchenko, G., Morozov, M., Yusupov, V., & Dobatkin, S. (2023). Effect of Rotary Swaging on the Structure, Mechanical Characteristics and Aging Behavior of Cu-0.5%Cr-0.08%Zr Alloy. Materials, 16(1), 105. https://doi.org/10.3390/ma16010105

